Robust H∞ Control of Fractional-Order Switched Systems with Order 0 < α < 1 and Uncertainty
Abstract
:1. Introduction
- (1)
- The fractional-order switching law is proven for FOSSs. From the stable region of order in Figure 1, if the fractional-order systems have positive characteristic roots, they may be stable. The characteristic roots in the right stable region were not considered in [45,46,47]. The fractional-order switching law proposed in this paper overcomes this shortcoming. Hence, it is less conservative;
- (2)
- control for FOSSs is proposed under the fractional-order switching law. Then, the controller for closed-loop FOSSs is designed. Furthermore, the conditions based on LMIs are proposed to solve the problem of robust control for FOSSs with uncertainty.
2. Preliminaries and Problem Descriptions
2.1. Preliminaries
2.2. Problem Descriptions
3. Formal Description of the Switching Law
4. Control
5. Robust Control
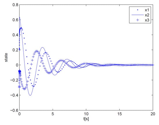
6. Examples
6.1. Example 1
6.2. Example 2
6.3. Example 3
6.4. Example 4
7. Conclusions
Author Contributions
Funding
Institutional Review Board Statement
Informed Consent Statement
Data Availability Statement
Conflicts of Interest
References
- Liberzon, D. Switching in Systems and Control; Birkäuser: Basel, Switzerland, 2003. [Google Scholar]
- Daafouz, J.; Riedinger, P.; Lung, C. Stability analysis and control synthesis for switched systems: A switched Lyapunov function approach. IEEE Trans. Autom. Contr. 2002, 47, 1883–1887. [Google Scholar] [CrossRef]
- Sun, Z.; Ge, S.S.; Lee, T.H. Controllability and reachability criteria for switched linear systems. Automatica 2002, 38, 775–786. [Google Scholar] [CrossRef] [Green Version]
- Lin, H.; Antsaklis, P.J. Stability and stabilizability of switched linear systems: A short survey of recent results. IEEE Trans. Autom. Contr. 2009, 54, 24–29. [Google Scholar] [CrossRef]
- Bai, J.; Su, H.; Gao, J.; Sun, T.; Wu, Z. Modeling and stabilization of a wireless network control system with packet loss and time dela. J. Frankl. Inst. 2012, 349, 2420–2430. [Google Scholar] [CrossRef]
- Donkers, M.; Heemels, W.; Bernardini, D.; Bemporad, A.; Shneer, V. Stability analysis of stochastic networked control systems. Automatica 2012, 48, 917–925. [Google Scholar] [CrossRef]
- Niu, B.; Zhao, P.; Liu, J.D.; Ma, H.J.; Liu, Y.J. Global adaptive control of switched uncertain nonlinear systems: An improved MDADT method. Automatica 2020, 115, 1–10. [Google Scholar] [CrossRef]
- Niu, B.; Wang, D.; Alotaibi, N.D.; Alsaadi, F.E. Adaptive neural state-feedback tracking control of stochastic nonlinear switched systems: An average dwell-time method. IEEE Trans. Neural Netw. Learn. Syst. 2019, 30, 1076–1087. [Google Scholar] [CrossRef]
- Zhai, G.S.; Hu, B.; Yasuda, K.; Michel, A.N. Stability analysis of switched systems with stable and unstable subsystems: An average dwell time approach. Int. J. Syst. Sci. 2001, 32, 1055–1061. [Google Scholar] [CrossRef]
- Wang, Y.E.; Sun, X.M.; Mazenc, F. Stability of switched nonlinear systems with delay and disturbance. Automaitca 2016, 69, 78–86. [Google Scholar] [CrossRef] [Green Version]
- Zhai, G.; Lin, H.; Antsaklis, P.J. Quadratic stabilizability of switched linear systems with polytopic uncertainties. Int. J. Control 2003, 76, 747–753. [Google Scholar] [CrossRef]
- Wu, C.Y.; Zhao, X.D.; Xu, N.; Han, X.M. Stabilization of hybrid systems under state constraints. Nonlinear Anal. Hybrid Syst. 2021, 40, 101015. [Google Scholar] [CrossRef]
- Li, C.S.; Guo, H.; Fu, J.; Pang, H.B. H∞ control for switched non-linear systems with structural uncertainty by using robust passivity. Nonlinear Anal. Hybrid Syst. 2021, 40, 101017. [Google Scholar] [CrossRef]
- Akar, M.; Paul, A.; Michael, G.; Mitra, U. Conditions on the stability of a class of second-order switched systems. IEEE Trans. Autom. Contr. 2006, 51, 338–340. [Google Scholar] [CrossRef]
- Zhang, J.X.; Yang, G.H. Low-complexity tracking control of strict-feedback systems with unknown control directions. IEEE Trans. Autom. Contr. 2019, 64, 5175–5182. [Google Scholar] [CrossRef]
- Zhao, X.D.; Zhang, L.X.; Niu, B.; Liu, L. Adaptive tracking control for a class of uncertain switched nonlinear systems. Automatica 2015, 52, 185–191. [Google Scholar] [CrossRef]
- Zong, G.D.; Ren, H.L.; Ho, L.L. Finite-time stability of interconnected impulsive switched systems. IET Control Theory Appl. 2016, 10, 648–654. [Google Scholar] [CrossRef]
- Mobayen, S.; Tchier, F. Composite nonlinear feedback integral sliding mode tracker design for uncertain switched systems with input saturation. Commun. Nonlinear Sci. Numer. Simul. 2018, 65, 173–184. [Google Scholar] [CrossRef]
- Podlubny, I. Fractional Differential Equations; Academic Press: New York, NY, USA, 1999. [Google Scholar]
- Valerio, D.; Costa, J. Time-domain implementation of fractional-order controllers. IEE Proc. Control Theory Appl. 2005, 152, 539–552. [Google Scholar] [CrossRef]
- Sabatier, J.; Mathieu, M.; Farges, C. LMI stability conditions for fractional-order systems. Comput. Math. Appl. 2010, 59, 1594–1609. [Google Scholar] [CrossRef]
- Lu, J.G.; Chen, Y.Q. Robust stability and stabilization of fractionalorder interval systems with the fractional-order α: The 0<α<1 case. IEEE Trans. Autom. Cont. 2010, 55, 152–158. [Google Scholar]
- Ahn, H.S.; Chen, Y.Q. Necessary and sufficient stability condition of fractional-order interval linear systems. Automatica 2008, 44, 2985–2988. [Google Scholar] [CrossRef]
- Zhang, X.F.; Lin, C.; Chen, Y.Q. A Unified Framework of Stability Theorems for LTI Fractional Order Systems With 0<α<2. IEEE Trans. Circuits II 2020, 67, 3237–3241. [Google Scholar]
- Bas, E.; Ozarslan, R. Real world applications of fractional models by Atangana–Baleanu fractional derivative. Chaos Solit. Fract. 2018, 116, 121–125. [Google Scholar] [CrossRef]
- Chen, L.P.; Wu, R.C.; He, Y.G.; Yin, L.S. Robust stability and stabilization of fractional-order linear systems with polytopic uncertainties. Appl. Math. Comput. 2015, 257, 274–284. [Google Scholar] [CrossRef]
- Wei, Y.H.; Chen, Y.Q.; Liang, S.; Wang, Y. A novel algorithm on adaptive backstepping control of fractional-order systems. Neurocomputing 2015, 165, 395–402. [Google Scholar] [CrossRef]
- Farges, C.; Fadiga, L.; Sabatier, J. H∞ analysis and control of commensurate fractional-order systems. Mechatronics 2013, 23, 772–780. [Google Scholar] [CrossRef]
- Liang, S.; Wei, Y.H.; Pan, J.W.; Gao, Q.; Wang, Y. Bounded real lemmas for fractional-order systems. Int. J. Autom. Comput. 2015, 15, 192–198. [Google Scholar] [CrossRef] [Green Version]
- Shen, J.; Lam, J. State feedback H∞ control of commensurate fractional-order systems. Int. J. Syst. Sci. 2014, 45, 363–372. [Google Scholar] [CrossRef]
- Li, H.; Yang, G.H. Dynamic output feedback H∞ control for fractional-order linear uncertain systems with actuator faults. J. Frankl. Inst. 2019, 356, 4442–4466. [Google Scholar] [CrossRef]
- Li, B.X.; Liu, Y.W.; Zhao, X. Robust H∞ control for fractional-order systems with order α(0<α<1). Frac. Fract. 2022, 6, 86. [Google Scholar]
- Saeed, B.; Sedigh, A.K. Sufficient condition for stabilization of linear time invariant fractional-order switched systems and variable structure control stabilizers. ISA Trans. 2012, 51, 65–73. [Google Scholar]
- HosseinNia, S.H.; Tejado, I.; Vinagre, B.M. Stability of fractional-order switching systems. Comput. Math. Appl. 2013, 66, 585–596. [Google Scholar]
- Feng, T.; Guo, L.H.; Wu, B.W.; Chen, Y.Q. Stability analysis of switched fractional-order continuous-time systems. Nonlinear Dynam. 2020, 102, 2467–2478. [Google Scholar] [CrossRef]
- Zhao, X.D.; Yin, Y.F.; Zheng, X.L. State-dependent switching control of switched positive fractional-order systems. ISA Trans. 2016, 62, 103–108. [Google Scholar] [CrossRef]
- Zhang, J.F.; Zhao, X.D.; Chen, Y. Finite-time stability and stabilization of fractional-order positive switched systems. Circuits Syst. Signal Process 2016, 35, 2450–2470. [Google Scholar] [CrossRef]
- Yang, Y.; Chen, G.P. Finite-time stability of fractional-order impulsive switched systems. Int. J. Robust Nonlinear Control 2015, 25, 2207–2222. [Google Scholar] [CrossRef]
- Wu, C.; Liu, X.Z. Lyapunov and external stability of Caputo fractional-order switching systems. Nonlinear Anal. Hybrid Syst. 2019, 34, 131–146. [Google Scholar] [CrossRef]
- Yang, H.; Jiang, B. Stability of fractional-order switched non-linear systems. IET Control Theory Appl. 2016, 20, 965–970. [Google Scholar] [CrossRef]
- Zhang, X.F.; Wang, Z. Stability and robust stabilization of uncertain switched fractional-order systems. ISA Trans. 2020, 103, 1–9. [Google Scholar] [CrossRef] [PubMed]
- Wang, Z.; Xue, D.Y.; Pan, F. Observer-based robust control for singular switched fractional-order systems subject to actuator saturation. Appl. Math. Comput. 2021, 411, 126538. [Google Scholar] [CrossRef]
- Liu, L.P.; Di, Y.F.; Shang, Y.L.; Fu, Z.M.; Fan, B. Guaranteed cost and finite-time non-fragile control of fractional-order positive switched systems with asynchronous switching and impulsive moments. Circ. Syst. Sign. Proc. 2021, 40, 3143–3160. [Google Scholar] [CrossRef]
- Zhang, J.X.; Yang, G.H. Robust adaptive fault-tolerant control for a class of unknown nonlinear systems. IEEE Trans. Ind. Elect. 2017, 64, 585–594. [Google Scholar] [CrossRef]
- Zhang, C.; Yang, H.; Jiang, B. Fault Estimation and Accommodation of Fractional-Order Nonlinear, Switched, and Interconnected Systems. IEEE Trans. Cybern. 2022, 52, 1443–1453. [Google Scholar] [CrossRef]
- Bi, W.; Wang, T.; Yu, X. Fuzzy Adaptive Decentralized Control for Nonstrict-Feedback Large-Scale Switched Fractional-Order Nonlinear Systems. IEEE Trans. Cybern. 2021. Early Access. [Google Scholar] [CrossRef] [PubMed]
- Peng, X.; Wang, Y.L.; Zuo, Z.Q. Co-design of state-dependent switching law and control scheme for variable-order fractional nonlinear switched systems. Appl. Math. Comput. 2022, 415, 126725. [Google Scholar] [CrossRef]
- MacDuffee, C.C. The Theory of Matrices; Chelsea: New York, NY, USA, 1946. [Google Scholar]
- Xie, L. Output feedback H∞ control of systems with parameter uncertainty. Int. J. Cont. 1996, 63, 741–750. [Google Scholar] [CrossRef]





Publisher’s Note: MDPI stays neutral with regard to jurisdictional claims in published maps and institutional affiliations. |
© 2022 by the authors. Licensee MDPI, Basel, Switzerland. This article is an open access article distributed under the terms and conditions of the Creative Commons Attribution (CC BY) license (https://creativecommons.org/licenses/by/4.0/).
Share and Cite
Li, B.; Zhao, X.; Liu, Y.; Zhao, X. Robust H∞ Control of Fractional-Order Switched Systems with Order 0 < α < 1 and Uncertainty. Fractal Fract. 2022, 6, 164. https://doi.org/10.3390/fractalfract6030164
Li B, Zhao X, Liu Y, Zhao X. Robust H∞ Control of Fractional-Order Switched Systems with Order 0 < α < 1 and Uncertainty. Fractal and Fractional. 2022; 6(3):164. https://doi.org/10.3390/fractalfract6030164
Chicago/Turabian StyleLi, Bingxin, Xiangfei Zhao, Yaowei Liu, and Xin Zhao. 2022. "Robust H∞ Control of Fractional-Order Switched Systems with Order 0 < α < 1 and Uncertainty" Fractal and Fractional 6, no. 3: 164. https://doi.org/10.3390/fractalfract6030164
APA StyleLi, B., Zhao, X., Liu, Y., & Zhao, X. (2022). Robust H∞ Control of Fractional-Order Switched Systems with Order 0 < α < 1 and Uncertainty. Fractal and Fractional, 6(3), 164. https://doi.org/10.3390/fractalfract6030164

