Generalized Mittag-Leffler Kernel Form Solutions of Free Convection Heat and Mass Transfer Flow of Maxwell Fluid with Newtonian Heating: Prabhakar Fractional Derivative Approach
Abstract
:1. Introduction
2. Mathematical Model
3. Preliminaries
4. Solution of the Problem
4.1. Exact Solution of Temperature
4.2. Exact Solution of Diffusion Equation
4.3. Exact Solution of Fluid Velocity
4.3.1. Classical Maxwell Fluid
4.3.2. Fractionalized Viscous Fluid
4.3.3. Ordinary Viscous Fluid
5. Results and Discussion
6. Conclusions
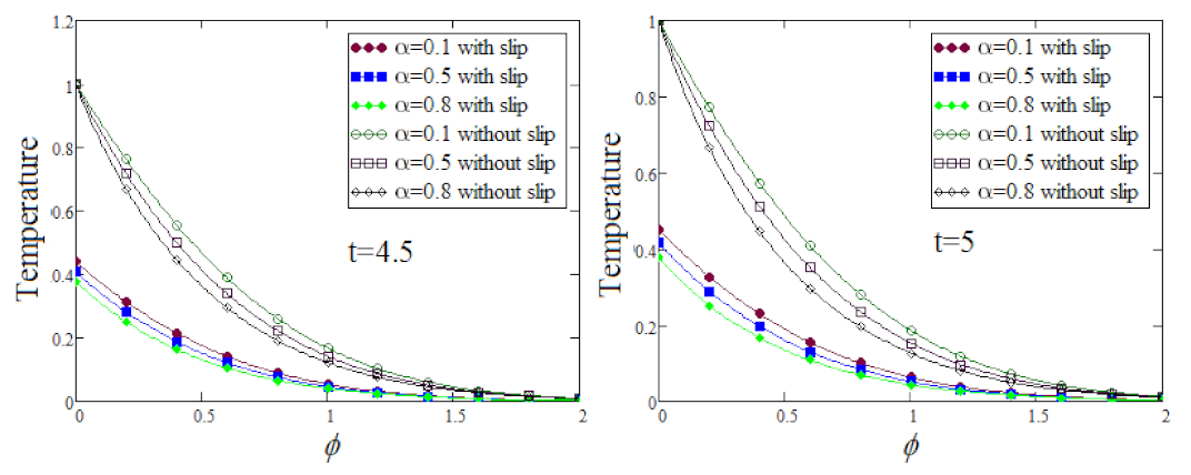
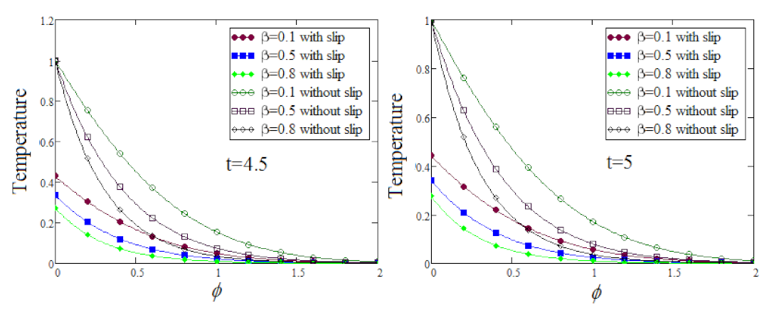
- It is observed that the temperature profile in cases of slip and no slip conditions decreases when the values of fractional parameters , , and are elevated.
- It is seen that temperature and concentration graphs decline corresponding to large values of and , respectively.
- It is detected that, when rising the values of fractional parameters , , and , the concentration profile decreases.
- It is seen that the velocity field in the case of slip and no slip conditions decreases corresponding to elevated the values of fractional parameters.
- The accumulative values of the parameters and decrease in the velocity field.
- The greater values of the Grashof numbers and stimulate the velocity contour.
- It is visualized that ordinary Maxwell fluid and ordinary viscous fluid have relatively higher velocity as compared to fractional Maxwell fluid and fractional viscous fluid.
- It is noted that, for classical and fractional models, the velocity field perceived identical behavior for the cases of both slip and zero slip conditions.
- The movement of the fluid in case of zero slip condition is relatively higher as compared to slip conditions.
Author Contributions
Funding
Institutional Review Board Statement
Informed Consent Statement
Data Availability Statement
Conflicts of Interest
Nomenclature
| Symbol | Quantity | Units |
| Fractional parameters | ||
| Dynamic viscosity | (Kgms) | |
| Kinematic coefficient of viscosity | (ms) | |
| g | Acceleration due to gravity | (m·s) |
| Volumetric coefficient of thermal expansion | (K) | |
| Volumetric coefficient of concentration expansion | (K) | |
| Fluid density | (Kgm) | |
| Electrical conductivity | (sm) | |
| Specific heat capacity of fluid | (JkgK) | |
| Laplace Transform parameter | ||
| Q | Heat generation/absorption | (JKms) |
| u | Non-dimensional velocity | |
| T | Dimensionless temperature | |
| Thermal Grashof number | ||
| Mass Grashof number | ||
| Concentration of the fluid near the plate | kgm) | |
| Concentration of the fluid far away from the plate | kgm | |
| Temperature of the plate | (K) | |
| Temperature of fluid far away from the plate | (K) | |
| Relaxation time | ||
| Mass diffusivity | (ms) | |
| Characteristic velocity | (ms) | |
| Prandtl number | ||
| Schmidt number | ||
| Imposed Magnetic field | (Wm) | |
| M | Total Magnetic field | |
| k | Thermal conductivity of the fluid | (WmK) |
| Time | (s) | |
| P | Pressure | (N m) |
References
- Kahshan, M.; Lu, D.; Siddiqui, A.M. A Jeffrey fluid model for a porous-walled channel: Application to flat plate dialyzer. Sci. Rep. 2019, 9, 15879. [Google Scholar] [CrossRef] [Green Version]
- Mohebbi, R.; Delouei, A.A.; Jamali, A.; Izadi, M.; Mohamad, A.A. Pore-scale simulation of non-Newtonian power-law fluid flow and forced convection in partially porous media: Thermal lattice Boltzmann method. Physic A 2019, 525, 642–656. [Google Scholar] [CrossRef]
- Rehman, A.U.; Riaz, M.B.; Saeed, S.T.; Yao, S. Dynamical Analysis of Radiation and Heat Transfer on MHD Second Grade Fluid. Comput. Model. Eng. Sci. 2021, 129, 689–703. [Google Scholar] [CrossRef]
- Riaz, M.B.; Abro, K.A.; Abualnaja, K.M.; Akgül, A.; Rehman, A.U.; Abbas, M.; Hamed, Y.S. Exact solutions involving special functions for unsteady convective flow of magnetohydrodynamic second grade fluid with ramped conditions. Adv. Differ. Equ. 2021, 2021, 408. [Google Scholar] [CrossRef]
- Riaz, M.B.; Awrejcewicz, J.; Rehman, A.U. Functional Effects of Permeability on Oldroyd-B Fluid under Magnetization: A Comparison of Slipping and Non-Slipping Solutions. Appl. Sci. 2021, 11, 11477. [Google Scholar] [CrossRef]
- Khan, Z.; Tairan, N.; Mashwani, W.K.; Rasheed, H.U.; Shah, H.; Khan, W. MHD and slip effect on two-immiscible third grade fluid on thin film flow over a vertical moving belt. Open Phys. 2019, 17, 575–586. [Google Scholar] [CrossRef]
- Rajagopal, K.R.; Gupta, A.S. An exact solution for the flow of a non-Newtonian fluid past an infinite porous plate. Meccanica 1984, 19, 158–161. [Google Scholar] [CrossRef]
- Rajagopal, K.R. Mechanics of non-Newtonian fluids in recent development in theoretical fluid Mechanics. Pitman. Res. Notes Math. 1993, 291, 129–162. [Google Scholar]
- Erdogan, M.E. On unsteady motions of a second-order fluid over a plane wall. Int. J. Nonlinear. Mech. 2003, 38, 1045–1051. [Google Scholar] [CrossRef]
- Labropulu, F. A few more exact solutions of a second grade fluid via inverse method. Mech. Res. Commun. 2000, 27, 713–720. [Google Scholar] [CrossRef]
- Fetecau, C.; Fetecau, C.; Rana, M. General solutions for the unsteady flow of second grade fluid over an infinite plate that applies arbitratry shear to the fluid. Z. Naturforsch. 2011, 66, 753–759. [Google Scholar] [CrossRef]
- Tawari, A.K.; Ravi, S.K. Analytical studies on transient rotating flow of a second grade fluid in a porous medium. Adv. Theor. Appl. Mech. 2009, 2, 23–41. [Google Scholar]
- Islam, S.; Bano, Z.; Haroon, T.; Siddiqui, A.M. Unsteady poiseuille flow of second grade fluid in a tube of elliptical cross section. Proc. Rom. Acad. A 2011, 12, 291–295. [Google Scholar]
- Maxwell, J.C. On the dynamical theory of gases. Philos. Trans. Roy. Soc. Lond. 1867, 157, 49–88. [Google Scholar]
- Olsson, F.; yström, J. Some properties of the upper convicted Maxwell model for viscoelastic fluid flow. J. Non-Newtonian Fluid Mech. 1993, 48, 125–145. [Google Scholar] [CrossRef]
- Aman, S.; Al-Mdallal, Q.; Khan, I. Heat transfer and second order slip effect on MHD flow of fractional Maxwell fluid in a porous medium. J. King Saud Univ. 2020, 32, 450–458. [Google Scholar] [CrossRef]
- Choi, J.J.; Rusak, Z.; Tichy, J.A. Maxwell fluid suction flow in a channel. J. Non-Newtonian Fluid Mech. 1999, 85, 165–187. [Google Scholar] [CrossRef]
- Khan, M.; Malik, M.Y.; Salahuddin, T.; Saleem, S.; Hussain, A. Change in viscosity of Maxwell fluid flow due to thermal and solutal stratifications. J. Mol. Liq. 2019, 288, 110970. [Google Scholar] [CrossRef]
- Fetecau, C.; Fetecau, C. A new exact solution for the flow of a Maxwell fluid past an infinite plate. Int. J. Non Lin. Mech. 2003, 38, 423–427. [Google Scholar] [CrossRef]
- Fetecau, C.; Fetecau, C. The Rayleigh Stokes problem for a fluid of Maxwellian type. Int. J. Non Lin. Mech. 2003, 38, 603–607. [Google Scholar] [CrossRef]
- Hosseinzadeh, K.; Gholinia, M.; Jafari, B.; Ghanbarpour, A.; Olfian, H.; Ganji, D.D. Nonlinear thermal radiation and chemical reaction effects on Maxwell fluid flow with convectively heated plate in a porous medium. Heat Transf. Asian Res. 2019, 48, 744–759. [Google Scholar] [CrossRef]
- Riaz, M.B.; Awrejcewicz, J.; Rehman, A.U.; Abbas, M. Special functions-based solutions of unsteady convective flow of a MHD Maxwell fluid for ramped wall temperature and velocity with concentration. Adv. Differ. Equ. 2021, 2021, 500. [Google Scholar] [CrossRef]
- Riaz, M.B.; Rehman, A.U.; Awrejcewicz, J.; Akgül, A. Power Law Kernel Analysis of MHD Maxwell Fluid with Ramped Boundary Conditions: Transport Phenomena Solutions Based on Special Functions. Fractal Fract. 2021, 5, 248. [Google Scholar] [CrossRef]
- Hammouch, Z.; Yavuz, M.; Özdemir, N. Numerical solutions and synchronization of a variable-order fractional chaotic system. Math. Model. Numer. Simul. Appl. 2021, 1, 11–23. [Google Scholar] [CrossRef]
- Veeresha, P.; Yavuz, M.; Baishya, C. A computational approach for shallow water forced Korteweg–De Vries equation on critical flow over a hole with three fractional operators. Int. J. Optim. Control. Theor. Appl. (IJOCTA) 2021, 11, 52–67. [Google Scholar] [CrossRef]
- Bonyah, E.; Yavuz, M.; Baleanu, D.; Kumar, S. A robust study on the listeriosis disease by adopting fractal-fractional operators. Alex. Eng. J. 2022, 61, 2016–2028. [Google Scholar] [CrossRef]
- Yavuz, M.; Sene, N. Stability analysis and numerical computation of the fractional predator–prey model with the harvesting rate. Fractal Fract. 2020, 4, 35. [Google Scholar] [CrossRef]
- Riaz, M.B.; Awrejcewicz, J.; Rehman, A.U.; Akgül, A. Thermophysical Investigation of Oldroyd-B Fluid with Functional Effects of Permeability: Memory Effect Study Using Non-Singular Kernel Derivative Approach. Fractal Fract. 2021, 5, 124. [Google Scholar] [CrossRef]
- Atangana, A.; Baleanu, D. New fractional derivative with non local and non-singular kernel: Theory and application to heat transfer model. Therm. Sci. 2016, 20, 763–769. [Google Scholar] [CrossRef] [Green Version]
- Rehman, A.U.; Shah, Z.H.; Riaz, M.B. Application of Local and Non-local Kernels: The Optimal Solutions of Water-based Nanoparticles Under Ramped Conditions. Progr. Fract. Differ. Appl. 2021, 7, 317–335. [Google Scholar]
- Yavuz, M.; Sene, N. Approximate Solutions of the Model Describing Fluid Flow Using Generalized ρ-Laplace Transform Method and Heat Balance Integral Method. Axioms 2020, 9, 123. [Google Scholar] [CrossRef]
- Giusti, A.; Colombaro, I. Prabhakar-like fractional viscoelasticity. Commun. Nonlinear Sci. Numer. Simulat. 2018, 56, 138–143. [Google Scholar] [CrossRef] [Green Version]
- Riaz, M.B.; Iftikhar, N. A comparative study of heat transfer analysis of MHD Maxwell fluid in view of local and non-local differential operators. Chaos Solitons Fractals 2020, 132, 109556. [Google Scholar] [CrossRef]
- Ozkose, F.; Yılmaz, S.; Yavuz, M.; Öztürk, İ; Şenel, M.T.; Bağcı, B.Ş; Doğan, M.; Önal, Ö. A Fractional Modeling of Tumor-Immune System Interaction Related to Lung Cancer with Real Data. Eur. Phys. J. Plus 2022, 137, 1–28. [Google Scholar] [CrossRef]
- Ozkose, F.; Yavuz, M. Investigation of interactions between COVID-19 and diabetes with hereditary traits using real data: A case study in Turkey. Comput. Biol. Med. 2021, 141, 105044. [Google Scholar] [CrossRef]
- Naik, P.A.; Yavuz, M.; Qureshi, S.; Zu, J.; Townley, S. Modeling and analysis of COVID-19 epidemics with treatment in fractional derivatives using real data from Pakistan. Eur. Phys. J. Plus 2020, 135, 1–42. [Google Scholar] [CrossRef] [PubMed]
- Ikram, R.; Khan, A.; Zahri, M.; Saeed, A.; Yavuz, M.; Kumam, P. Extinction and stationary distribution of a stochastic COVID-19 epidemic model with time-delay. Comput. Biol. Med. 2022, 141, 105115. [Google Scholar] [CrossRef] [PubMed]
- Allegretti, S.; Bulai, I.M.; Marino, R.; Menandro, M.A.; Parisi, K. Vaccination effect conjoint to fraction of avoided contacts for a Sars-Cov-2 mathematical model. Math. Model. Numer. Simul. Appl. 2021, 1, 56–66. [Google Scholar] [CrossRef]
- Joshi, H.; Jha, B.K. Chaos of calcium diffusion in Parkinson’s infectious disease model and treatment mechanism via Hilfer fractional derivative. Math. Model. Numer. Simul. Appl. 2021, 1, 84–94. [Google Scholar]
- Rehman, A.U.; Riaz, M.B.; Awrejcewicz, J.; Baleanu, D. Exact solutions of thermomagetized unsteady non-singularized jeffery fluid: Effects of ramped velocity, concentration with newtonian heating. Results Phys. 2021, 26, 104367. [Google Scholar] [CrossRef]
- Rehman, A.U.; Riaz, M.B.; Akgul, A.; Saeed, S.T.; Baleanu, D. Heat and mass transport impact on MHD second grade fluid: A comparative analysis of fractional operators. Heat Transf. 2021, 50, 7042–7064. [Google Scholar] [CrossRef]
- Rehman, A.U.; Riaz, M.B.; Rehman, W.; Awrejcewicz, J.; Baleanu, D. Fractional Modeling of Viscous Fluid over a Moveable Inclined Plate Subject to Exponential Heating with Singular and Non-Singular Kernels. Math. Comput. Appl. 2022, 27, 8. [Google Scholar] [CrossRef]
- Riaz, M.B.; Rehman, A.U.; Awrejcewicz, J.; Jarad, F. Double Diffusive Magneto-Free-Convection Flow of Oldroyd-B Fluid over a Vertical Plate with Heat and Mass Flux. Symmetry 2022, 14, 209. [Google Scholar] [CrossRef]
- Zhang, X.-H.; Shah, R.; Saleem, S.; Shah, N.A.; Khan, Z.A.; Chung, J.D. Natural convection flow maxwell fluids with generalized thermal transport and newtonian heating. Case Stud. Therm. Eng. 2021, 27, 101226. [Google Scholar] [CrossRef]
- Shah, N.A.; Fetecau, C.; Vieru, D. Natural convection flows of Prabhakar-like fractional Maxwell fluids with generalized thermal transport. J. Therm. Anal. Calorim. 2021, 143, 2245–2258. [Google Scholar] [CrossRef]


















Publisher’s Note: MDPI stays neutral with regard to jurisdictional claims in published maps and institutional affiliations. |
© 2022 by the authors. Licensee MDPI, Basel, Switzerland. This article is an open access article distributed under the terms and conditions of the Creative Commons Attribution (CC BY) license (https://creativecommons.org/licenses/by/4.0/).
Share and Cite
Rehman, A.U.; Jarad, F.; Riaz, M.B.; Shah, Z.H. Generalized Mittag-Leffler Kernel Form Solutions of Free Convection Heat and Mass Transfer Flow of Maxwell Fluid with Newtonian Heating: Prabhakar Fractional Derivative Approach. Fractal Fract. 2022, 6, 98. https://doi.org/10.3390/fractalfract6020098
Rehman AU, Jarad F, Riaz MB, Shah ZH. Generalized Mittag-Leffler Kernel Form Solutions of Free Convection Heat and Mass Transfer Flow of Maxwell Fluid with Newtonian Heating: Prabhakar Fractional Derivative Approach. Fractal and Fractional. 2022; 6(2):98. https://doi.org/10.3390/fractalfract6020098
Chicago/Turabian StyleRehman, Aziz Ur, Fahd Jarad, Muhammad Bilal Riaz, and Zaheer Hussain Shah. 2022. "Generalized Mittag-Leffler Kernel Form Solutions of Free Convection Heat and Mass Transfer Flow of Maxwell Fluid with Newtonian Heating: Prabhakar Fractional Derivative Approach" Fractal and Fractional 6, no. 2: 98. https://doi.org/10.3390/fractalfract6020098
APA StyleRehman, A. U., Jarad, F., Riaz, M. B., & Shah, Z. H. (2022). Generalized Mittag-Leffler Kernel Form Solutions of Free Convection Heat and Mass Transfer Flow of Maxwell Fluid with Newtonian Heating: Prabhakar Fractional Derivative Approach. Fractal and Fractional, 6(2), 98. https://doi.org/10.3390/fractalfract6020098

