Asymptotic Stabilization of Delayed Linear Fractional-Order Systems Subject to State and Control Constraints
Abstract
:1. Introduction
2. Preliminaries and Problem Formulation
2.1. Preliminaries
2.2. Problem Formulation
3. Main Results
3.1. Existence Conditions for the Feedback Controller with the Constraints
3.2. PIS and Stability Conditions for System (8)
4. Design Algorithms
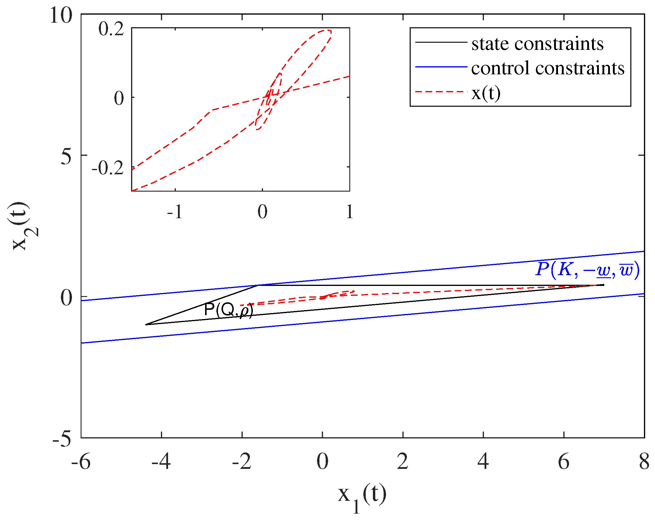
5. Numerical Examples
6. Conclusions
Author Contributions
Funding
Institutional Review Board Statement
Informed Consent Statement
Data Availability Statement
Acknowledgments
Conflicts of Interest
Abbreviations
| DLFS | delayed linear fractional-order systems |
| PIS | positive invariant sets |
| LP | linear programming |
| NP | nonlinear programming |
| LMI | linear matrix inequality |
References
- Chen, L.; Chen, Y.; Lopes, A.M.; Kong, H.; Wu, R. State of charge estimation of lithium-ion batteries based on fuzzy fractional-order unscented kalman filter. Fractal Fract. 2021, 5, 91. [Google Scholar] [CrossRef]
- Tian, Y.; Xia, Q.; Chai, Y.; Chen, L.; Lopes, A.M.; Chen, Y. Guaranteed cost leaderless consensus protocol design for fractional-order uncertain multi-agent systems with state and input delays. Fractal Fract. 2021, 5, 141. [Google Scholar] [CrossRef]
- Gonzalez-Acuna, R.G.; Davila, A.; Gutierrez-Vega, J.C. Optical flow of non-integer order in particle image velocimetry techniques. Signal Process. 2019, 155, 317–322. [Google Scholar] [CrossRef]
- Lashkarian, E.; Hejazi, S.R.; Habibi, N.; Motamednezhad, A. Symmetry properties, conservation laws, reduction and numerical approximations of time-fractional cylindrical-burgers equation. Commun. Nonlinear Sci. Numer. Simul. 2019, 67, 176–191. [Google Scholar] [CrossRef]
- Yin, C.; Dadras, S.; Cheng, Y.H.; Huang, X.G.; Cao, J.W.; Malek, H. Multidimensional fractional-order newton-based extremum seeking for online light-energy saving technique of lighting system. IEEE Trans. Ind. Electron. 2019, 67, 8576–8586. [Google Scholar] [CrossRef]
- Mohsenipour, R.; Jegarkandi, M.F. Robust stability analysis of fractional-order interval systems with multiple time delays. Int. J. Robust Nonlinear Control 2019, 29, 1823–1839. [Google Scholar] [CrossRef]
- Sakthivel, R.; Mohanapriya, S.; Ahn, C.K.; Karimi, H.R. Output tracking control for fractional-order positive switched systems with input time delay. IEEE Trans. Circuits Syst. II-Express Briefs 2019, 66, 1013–1017. [Google Scholar] [CrossRef]
- Jia, J.; Huang, X.; Li, Y.; Cao, J. Global stabilization of fractional-order memristor-based neural networks with time delay. IEEE Trans. Neural Netw. Learn. Syst. 2020, 31, 997–1009. [Google Scholar] [CrossRef]
- Wang, Z.; Wang, X.; Xia, J.; Shen, H.; Meng, B. Adaptive sliding mode output tracking control based-FODOB for a class of uncertain fractional-order nonlinear time-delayed systems. Sci. China-Technol. Sci. 2020, 63, 1854–1862. [Google Scholar] [CrossRef]
- Liu, H.; Pan, Y.; Cao, J.; Zhou, Y.; Wang, H. Positivity and stability analysis for fractional-order delayed systems: A T-S fuzzy model approach. IEEE Trans. Fuzzy Syst. 2020, 29, 927–939. [Google Scholar] [CrossRef]
- Du, F.; Lu, J. Finite-time stability of neutral fractional order time delay systems with Lipschitz nonlinearities. Appl. Math. Comput. 2020, 375, 125079. [Google Scholar] [CrossRef]
- Naifar, O.; Nagy, A.M.; Makhlouf, A.B.; Kharrat, M. Finite-time stability of linear fractional-order time-delay systems. Int. J. Robust Nonlinear Control 2018, 29, 180–187. [Google Scholar] [CrossRef] [Green Version]
- Liu, P.; Zeng, Z.; Wang, J. Asymptotic and finite-time cluster synchronization of coupled fractional-order neural networks with time delay. IEEE Trans. Neural Netw. Learn. Syst. 2020, 31, 4956–4967. [Google Scholar] [CrossRef] [PubMed]
- Thanh, N.T.; Phat, V.N.; Niamsup, P. New finite-time stability analysis of singular fractional differential equations with time-varying delay. Fract. Calc. Appl. Anal. 2020, 23, 504–519. [Google Scholar] [CrossRef]
- Deng, W.; Li, C.; Lu, J. Stability analysis of linear fractional differential system with multiple time delays. Nonlinear Dyn. 2007, 48, 409–416. [Google Scholar] [CrossRef]
- You, X.; Song, Q.; Zhao, Z. Global Mittag-Leffler stability and synchronization of discrete-time fractional-order complex-valued neural networks with time delays. Neural Netw. 2020, 122, 382–394. [Google Scholar] [CrossRef] [PubMed]
- Hu, T.; He, Z.; Zhang, X.; Zhong, S. Finite-time stability for fractional-order complex-valued neural networks with time delay. Appl. Math. Comput. 2020, 365, 124715. [Google Scholar] [CrossRef]
- Bonnet, C.; Partington, J.R. Stabilization of some fractional delay systems of neutral type. Automatica 2007, 43, 2047–2053. [Google Scholar] [CrossRef]
- He, B.; Zhou, H.; Kou, C.; Chen, Y.Q. New integral inequalities and asymptotic stability of fractional-order systems with unbounded time delay. Nonlinear Dyn. 2018, 94, 1523–1534. [Google Scholar] [CrossRef]
- Chen, L.; Wu, R.; Cheng, Y.; Chen, Y.Q. Delay-dependent and order-dependent stability and stabilization of fractional-order linear systems with time-varying delay. IEEE Trans. Circuits Syst. II-Express Briefs 2020, 67, 1064–1068. [Google Scholar] [CrossRef]
- Tavazoei, M.S.; Badri, V. Stability analysis of fractional order time-delay systems: Constructing new lyapunov functions from those of integer order counterparts. IET Control Theory Appl. 2019, 13, 2476–2481. [Google Scholar]
- Nie, X.; Liu, P.; Liang, J.; Cao, J. Exact coexistence and locally asymptotic stability of multiple equilibria for fractional-order delayed Hopfield neural networks with Gaussian activation function. Neural Netw. 2021, 142, 690–700. [Google Scholar] [CrossRef] [PubMed]
- Hennet, J.C.; Beziat, J.P. A class of invariant regulators for the discrete-time linear constrained regulation problem. Automatica 1991, 27, 549–554. [Google Scholar] [CrossRef]
- Vassilaki, M.; Bitsoris, G. Constrained regulation of linear continuous-time dynamical systems. Syst. Control Lett. 1989, 13, 247–252. [Google Scholar] [CrossRef]
- Bitsoris, G.; Olaru, S. Further results on the linear constrained regulation problem. In Proceedings of the 21st Mediterranean Conference on Control and Automation, Crete, Greece, 25–28 June 2013; pp. 824–830. [Google Scholar]
- Bitsoris, G.; Olaru, S.; Vassilaki, M. On the linear constrained regulation problem for continuous-time systems. In Proceedings of the 19th World Congress International Federation of Automatic Control, Cape Town, South Africa, 24–29 August 2014; pp. 4004–4009. [Google Scholar]
- Castelan, E.B. On invariant polyhedra of continuous-time linear systems. IEEE Trans. Autom. Control 1991, 38, 1680–1685. [Google Scholar] [CrossRef]
- Blanchini, F. Set invariance in control. Automatica 1999, 35, 1747–1767. [Google Scholar] [CrossRef]
- Jia, J.; Wang, F.; Zeng, Z. Global stabilization of fractional-order memristor-based neural networks with incommensurate orders and multiple time-varying delays: A positive-system-based approach. Nonlinear Dyn. 2021, 104, 2303–2329. [Google Scholar] [CrossRef]
- Zhang, X.; Zhao, Z. Normalization and stabilization for rectangular singular fractional order T-S fuzzy systems. Fuzzy Sets Syst. 2019, 381, 140–153. [Google Scholar] [CrossRef]
- Zhang, Z.; Zhang, J. Asymptotic stabilization of general nonlinear fractional-order systems with multiple time delays. Nonlinear Dyn. 2020, 102, 605–619. [Google Scholar]
- Lim, Y.H.; Ahn, H.S. On the positive invariance of polyhedral sets in fractional-order linear systems. Automatica 2013, 49, 3690–3694. [Google Scholar] [CrossRef]
- Yan, L.; Chen, Y.Q.; Podlubny, I. Stability of fractional-order nonlinear dynamic systems: Lyapunov direct method and generalized Mittag-Leffler stability. Comput. Math. Appl. 2010, 59, 1810–1821. [Google Scholar]
- Wen, Y.; Zhou, X.F.; Zhang, Z.; Liu, S. Lyapunov method for nonlinear fractional differential systems with delay. Nonlinear Dyn. 2015, 82, 1015–1025. [Google Scholar] [CrossRef]
- Athanasopoulos, N.; Bitsoris, G.; Vassilaki, M. Stabilization of bilinear continuous-time systems. In Proceedings of the 18th Mediterranean Conference on Control and Automation, MED’10, Marrakech, Morocco, 23–25 June 2010; pp. 442–447. [Google Scholar]
- Kaczorek, T.; Rogowski, K. Fractional Linear Systems and Electrical Circuits; Springer: New York, NY, USA, 2014; p. 65. [Google Scholar]












Publisher’s Note: MDPI stays neutral with regard to jurisdictional claims in published maps and institutional affiliations. |
© 2022 by the authors. Licensee MDPI, Basel, Switzerland. This article is an open access article distributed under the terms and conditions of the Creative Commons Attribution (CC BY) license (https://creativecommons.org/licenses/by/4.0/).
Share and Cite
Si, X.; Wang, Z.; Song, Z.; Zhang, Z. Asymptotic Stabilization of Delayed Linear Fractional-Order Systems Subject to State and Control Constraints. Fractal Fract. 2022, 6, 67. https://doi.org/10.3390/fractalfract6020067
Si X, Wang Z, Song Z, Zhang Z. Asymptotic Stabilization of Delayed Linear Fractional-Order Systems Subject to State and Control Constraints. Fractal and Fractional. 2022; 6(2):67. https://doi.org/10.3390/fractalfract6020067
Chicago/Turabian StyleSi, Xindong, Zhen Wang, Zhibao Song, and Ziye Zhang. 2022. "Asymptotic Stabilization of Delayed Linear Fractional-Order Systems Subject to State and Control Constraints" Fractal and Fractional 6, no. 2: 67. https://doi.org/10.3390/fractalfract6020067
APA StyleSi, X., Wang, Z., Song, Z., & Zhang, Z. (2022). Asymptotic Stabilization of Delayed Linear Fractional-Order Systems Subject to State and Control Constraints. Fractal and Fractional, 6(2), 67. https://doi.org/10.3390/fractalfract6020067

