A Novel Adaptive Fractional Differential Active Contour Image Segmentation Method
Abstract
1. Introduction
- According to the gradient information of the image, an adaptively changing order matrix is constructed, and the fractional order of each pixel of the image is adaptively changed. Different differential orders are used in the edge texture and smooth area of the image, which preserves richer image information.
- A fractional-order edge-stopping function is proposed, which can effectively improve the performance of the segmentation of noisy images. It solves the problem that the traditional edge-stopping function is trapped in a local minimum due to the influence of noise points.
- The fitting term is designed by combining adaptive fractional differential and Gaussian kernel function, which makes the new method effectively overcome the problem of sensitivity to the initial contour position.
2. Active Contour Classic Model
2.1. Distance Regularized Level Set Evolution (DRLSE) Model
2.2. Region Scalable Fitting (RSF) Model
3. Adaptive Fractional Differential
3.1. Fractional Differential
3.2. Adaptive Fractional Differential
3.3. Fractional Edge-Stopping Function
4. Image Segmentation Based on Adaptive Fractional Differentiation
4.1. Penalty Term
4.2. Regularization Term
4.3. Fitting Term
4.4. Implementation and Algorithm
| Algorithm The algorithm for solving the proposed model |
| Input:. |
| Output: Image segmentation results. |
| 1: Set initialization parameters: ; |
| 2: by Equation (16); |
| 3: for do |
| 4: by Equation (20); |
| 5: by Equation (23); |
| 6: Calculate the fitting term energy function by Equation (25); |
| 7: of the total energy function by Equation (30); |
| 8: Update the level set function by Equation (32); |
| 9: if then |
| 10: break; |
| 11: end if |
| 12: end for |
5. Experimental Results
5.1. Verify the Robustness of Noise
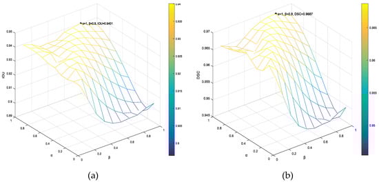
5.2. Initial Contour Position Robustness Verification
5.3. Comparison between Fixed Order and Adaptive Differential
5.4. Compare with Other Methods
6. Conclusions
Author Contributions
Funding
Institutional Review Board Statement
Informed Consent Statement
Data Availability Statement
Conflicts of Interest
References
- Kass, M.; Witkin, A.; Terzopoulos, D. Snakes: Active contour models. Int. J. Comput. Vis. 1988, 1, 321–331. [Google Scholar] [CrossRef]
- Lv, H.; Zhang, Y.; Wang, R. Active contour model based on local absolute difference energy and fractional-order penalty term. J. Appl. Math. Model. 2022, 107, 207–232. [Google Scholar] [CrossRef]
- Jin, R.; Weng, G. Active contours driven by adaptive functions and fuzzy c-means energy for fast image segmentation. J. Signal Process. 2019, 163, 1–10. [Google Scholar] [CrossRef]
- Lv, H.; Zhang, F.; Wang, R. Robust active contour model using patch-based signed pressure force and optimized fractional-order edge. J. IEEE Access 2021, 9, 8771–8785. [Google Scholar] [CrossRef]
- Wei, X.; Zheng, W.; Xi, C.; Shang, S. Shoreline extraction in SAR image based on advanced geometric active contour model. J. Remote Sens. 2021, 13, 642. [Google Scholar] [CrossRef]
- Karami, E.; Shehata, M.S.; Smith, A. Adaptive polar active contour for segmentation and tracking in ultrasound videos. J. IEEE Trans. Circuits Syst. Video Technol. 2018, 29, 1209–1222. [Google Scholar] [CrossRef]
- Hu, P.; Wang, G.; Kong, X.; Kuen, J.; Tan, Y.-P. Motion-guided cascaded refinement network for video object segmentation. In Proceedings of the IEEE Conference on Computer Vision and Pattern Recognition, Salt Lake City, UT, USA, 18–22 June 2018; pp. 1400–1409. [Google Scholar]
- Zhang, P.; Liu, W.; Lei, Y.; Wang, H.; Lu, H. Deep multiphase level set for scene parsing. J. IEEE Trans. Image Process. 2020, 29, 4556–4567. [Google Scholar] [CrossRef]
- Yang, S.; Wu, J.; Feng, Z. Dual-Fusion active contour model with semantic information for saliency target extraction of underwater images. J. Appl. Sci. 2022, 12, 2515. [Google Scholar] [CrossRef]
- Pan, Z.; Liu, S.; Fu, W. A review of visual moving target tracking. J. Multimed. Tools Appl. 2017, 76, 16989–17018. [Google Scholar] [CrossRef]
- Lobregt, S.; Viergever, M.A. A discrete dynamic contour model. J. IEEE Trans. Med. Imaging 1995, 14, 12–24. [Google Scholar] [CrossRef]
- Bendaoud, A.; Hachouf, F. Fractional calculus for improving edge-based active contour models. In Proceedings of the 2021 International Conference on Recent Advances in Mathematics and Informatics (ICRAMI), Tebessa, Algeria, 21–22 September 2021; IEEE: Piscataway, NJ, USA, 2021; pp. 1–5. [Google Scholar]
- Liu, C.; Liu, W.; Xing, W. An improved edge-based level set method combining local regional fitting information for noisy image segmentation. J. Signal Process. 2017, 130, 12–21. [Google Scholar] [CrossRef]
- Yu, H.; He, F.; Pan, Y. A novel segmentation model for medical images with intensity inhomogeneity based on adaptive perturbation. J. Multimed. Tools Appl. 2019, 78, 11779–11798. [Google Scholar] [CrossRef]
- Liu, C.; Liu, W.; Xing, W. A weighted edge-based level set method based on multi-local statistical information for noisy image segmentation. J. Vis. Commun. Image Represent. 2019, 59, 89–107. [Google Scholar] [CrossRef]
- Yang, Y.; Hou, X.; Ren, H. Efficient active contour model for medical image segmentation and correction based on edge and region information. J. Expert Syst. Appl. 2022, 194, 116436. [Google Scholar] [CrossRef]
- Li, M.; Zhan, Y.; Ge, Y. Fractional distance regularized level set evolution with its application to image segmentation. J. IEEE Access 2020, 8, 84604–84617. [Google Scholar] [CrossRef]
- Chen, B.; Huang, S.; Liang, Z.; Chen, W.; Pan, B. A fractional order derivative based active contour model for inhomogeneous image segmentation. J. Appl. Math. Model. 2019, 65, 120–136. [Google Scholar] [CrossRef]
- Yan, X.; Weng, G. Hybrid active contour model driven by optimized local pre-fitting image energy for fast image segmentation. J. Appl. Math. Model. 2022, 101, 586–599. [Google Scholar] [CrossRef]
- Fang, J.; Liu, H.; Zhang, L.; Liu, J.; Liu, H. Region-edge-based active contours driven by hybrid and local fuzzy region-based energy for image segmentation. J. Inf. Sci. 2021, 546, 397–419. [Google Scholar] [CrossRef]
- Caselles, V.; Kimmel, R.; Sapiro, G. Geodesic active contours. Int. J. Comput. Vis. 1997, 22, 61–79. [Google Scholar] [CrossRef]
- Li, C.; Xu, C.; Gui, C.; Fox, M.D. Level set evolution without re-initialization: A new variational formulation. In Proceedings of the 2005 IEEE Computer Society Conference on Computer Vision and Pattern Recognition (CVPR’05), San Diego, CA, USA, 20–25 June 2005; IEEE: Piscataway, NJ, USA, 2005; pp. 430–436. [Google Scholar]
- Chan, T.F.; Vese, L.A. Active contours without edges. J. IEEE Trans. Image Process. 2001, 10, 266–277. [Google Scholar] [CrossRef] [PubMed]
- Li, C.; Kao, C.-Y.; Gore, J.C.; Ding, Z. Minimization of region-scalable fitting energy for image segmentation. J. IEEE Trans. Image Process. 2008, 17, 1940–1949. [Google Scholar]
- Zhang, X.; Liu, R.; Ren, J.; Gui, Q. Adaptive fractional image enhancement algorithm based on rough set and particle swarm optimization. J. Fractal Fract. 2022, 6, 100. [Google Scholar] [CrossRef]
- Yan, H.; Zhang, X. Adaptive fractional multi-scale edge-preserving decomposition and saliency detection fusion algorithm. J. ISA Trans. 2020, 107, 160–172. [Google Scholar] [CrossRef]
- Zhang, X.; Dai, L. Image enhancement based on rough set and fractional order differentiator. J. Fractal Fract. 2022, 6, 214. [Google Scholar] [CrossRef]
- Yan, H.; Zhang, J.-X.; Zhang, X. Injected infrared and visible image fusion via L1 decomposition model and guided filtering. J. IEEE Trans. Comput. Imaging 2022, 8, 162–173. [Google Scholar] [CrossRef]
- Khanna, S.; Chandrasekaran, V. Fractional differentiation-based edge energy driven active contours for robust image segmentation. ICTACT J. Image Video Process. 2021, 12, 2493–2501. [Google Scholar]
- Zhang, Y.; Tian, Y. A new image segmentation method based on fractional-varying-order differential. J. Beijing Inst. Technol. 2021, 30, 254–264. [Google Scholar]
- Li, M.-M.; Li, B.-Z. A novel active contour model for noisy image segmentation based on adaptive fractional order differentiation. J. IEEE Trans. Image Process. 2020, 29, 9520–9531. [Google Scholar] [CrossRef]
- Liu, C.; Gong, Z.; Yu, C.; Wang, S.; Teo, K.L. Optimal control computation for nonlinear fractional time-delay systems with state inequality constraints. J. Optim. Theory Appl. 2021, 191, 83–117. [Google Scholar] [CrossRef]
- Gong, Z.; Liu, C.; Teo, K.L.; Yi, X. Optimal control of nonlinear fractional systems with multiple pantograph-delays. J. Appl. Math. Comput. 2022, 425, 127094. [Google Scholar] [CrossRef]
- Gong, Z.; Liu, C.; Teo, K.L.; Wang, S.; Wu, Y. Numerical solution of free final time fractional optimal control problems. J. Appl. Math. Comput. 2021, 405, 126270. [Google Scholar] [CrossRef]
- Zhang, X.; Yan, H. Medical image fusion and noise suppression with fractional-order total variation and multi-scale decomposition. J. IET Image Process. 2021, 15, 1688–1701. [Google Scholar] [CrossRef]
- Zhang, X.; He, H.; Zhang, J.-X. Multi-focus image fusion based on fractional order differentiation and closed image matting. J. ISA Trans. 2022, in press. [Google Scholar] [CrossRef] [PubMed]
- Li, C.; Xu, C.; Gui, C.; Fox, M.D. Distance regularized level set evolution and its application to image segmentation. J. IEEE Trans. Image Process. 2010, 19, 3243–3254. [Google Scholar] [CrossRef]
- Aubert, G.; Kornprobst, P.; Aubert, G. Mathematical Problems in Image Processing: Partial Differential Equations and the Calculus of Variations; Springer: Berlin/Heidelberg, Germany, 2006; p. 147. [Google Scholar]
- Ding, K.; Xiao, L.; Weng, G. Active contours driven by local pre-fitting energy for fast image segmentation. J. Pattern Recognit. Lett. 2018, 104, 29–36. [Google Scholar] [CrossRef]
- Liu, H.; Fang, J.; Zhang, Z.; Lin, Y. A novel active contour model guided by global and local signed energy-based pressure force. J. IEEE Access 2020, 8, 59412–59426. [Google Scholar] [CrossRef]








| Noise Image | Performance Index | Models | ||||
|---|---|---|---|---|---|---|
| CV | RSF | Ref. [39] | Ref. [40] | Ours | ||
| Clear | IOU | 0.9146 | 0.9033 | 0.8153 | 0.7104 | 0.9856 |
| DSC | 0.9368 | 0.9492 | 0.8983 | 0.8307 | 0.9927 | |
| Gaussian | IOU | 0.9183 | 0.8678 | 0.7540 | 0.8109 | 0.9814 |
| DSC | 0.9335 | 0.9292 | 0.8598 | 0.8955 | 0.9898 | |
| Speckle | IOU | 0.9276 | 0.7696 | 0.8058 | 0.7125 | 0.9714 |
| DSC | 0.9431 | 0.8698 | 0.8925 | 0.8321 | 0.9898 | |
| Gaussian + Speckle | IOU | 0.9222 | 0.7813 | 0.7428 | 0.7310 | 0.9687 |
| DSC | 0.9402 | 0.8772 | 0.8524 | 0.8446 | 0.9930 | |
| Image | Performance Index | Models | ||
|---|---|---|---|---|
| General Derivative | Fixed Order | Adaptive Order | ||
| Pic1 | IOU | 0.9881 | 0.9798 | 0.9896 |
| DSC | 0.9940 | 0.9898 | 0.9948 | |
| Pic2 | IOU | 0.9792 | 0.9722 | 0.9846 |
| DSC | 0.9895 | 0.9859 | 0.9923 | |
| Pic3 | IOU | 0.8465 | 0.8200 | 0.9760 |
| DSC | 0.9169 | 0.9001 | 0.9878 | |
| Pic4 | IOU | 0.9532 | 0.9680 | 0.9748 |
| DSC | 0.9760 | 0.9838 | 0.9900 | |
| Pic5 | IOU | 0.9688 | 0.7847 | 0.9760 |
| DSC | 0.9842 | 0.8794 | 0.9878 | |
| Image | Performance Index | Models | ||||
|---|---|---|---|---|---|---|
| CV | RSF | Ref. [39] | Ref. [40] | Ours | ||
| Pic6 | IOU | 0.8781 | 0.9059 | 0.7293 | 0.5759 | 0.9832 |
| DSC | 0.9351 | 0.9506 | 0.8435 | 0.7309 | 0.9915 | |
| Pic7 | IOU | 0.6245 | 0.5139 | 0.4482 | 0.3717 | 0.7101 |
| DSC | 0.7689 | 0.6789 | 0.6190 | 0.5420 | 0.8579 | |
| Pic8 | IOU | 0.9331 | 0.6589 | 0.6410 | 0.5809 | 0.9510 |
| DSC | 0.9654 | 0.7944 | 0.7812 | 0.7349 | 0.9749 | |
| Pic9 | IOU | 0.8125 | 0.8647 | 0.8309 | 0.8256 | 0.9929 |
| DSC | 0.8966 | 0.9275 | 0.9077 | 0.9045 | 0.9965 | |
| Pic10 | IOU | 0.7527 | 0.6988 | 0.7135 | 0.6666 | 0.9539 |
| DSC | 0.8589 | 0.8227 | 0.8328 | 0.7999 | 0.9764 | |
Publisher’s Note: MDPI stays neutral with regard to jurisdictional claims in published maps and institutional affiliations. |
© 2022 by the authors. Licensee MDPI, Basel, Switzerland. This article is an open access article distributed under the terms and conditions of the Creative Commons Attribution (CC BY) license (https://creativecommons.org/licenses/by/4.0/).
Share and Cite
Zhang, Y.; Yang, L.; Li, Y. A Novel Adaptive Fractional Differential Active Contour Image Segmentation Method. Fractal Fract. 2022, 6, 579. https://doi.org/10.3390/fractalfract6100579
Zhang Y, Yang L, Li Y. A Novel Adaptive Fractional Differential Active Contour Image Segmentation Method. Fractal and Fractional. 2022; 6(10):579. https://doi.org/10.3390/fractalfract6100579
Chicago/Turabian StyleZhang, Yanzhu, Lijun Yang, and Yan Li. 2022. "A Novel Adaptive Fractional Differential Active Contour Image Segmentation Method" Fractal and Fractional 6, no. 10: 579. https://doi.org/10.3390/fractalfract6100579
APA StyleZhang, Y., Yang, L., & Li, Y. (2022). A Novel Adaptive Fractional Differential Active Contour Image Segmentation Method. Fractal and Fractional, 6(10), 579. https://doi.org/10.3390/fractalfract6100579

