Numerical Solutions of Space-Fractional Advection–Diffusion–Reaction Equations
Abstract
:1. Introduction
2. Materials and Methods
Fractional Constitutive Equations for Pore Fluid and Solute Transport
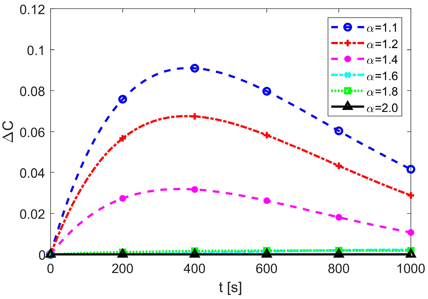
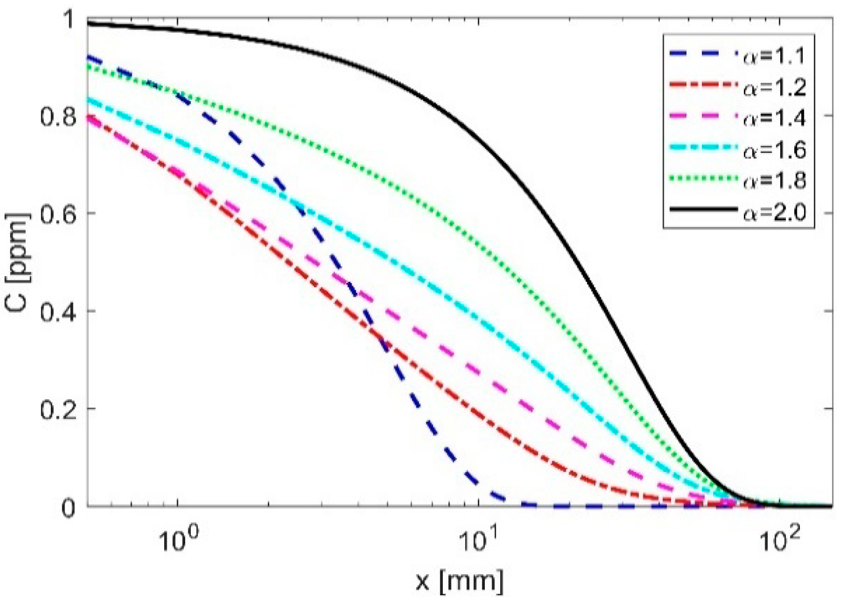
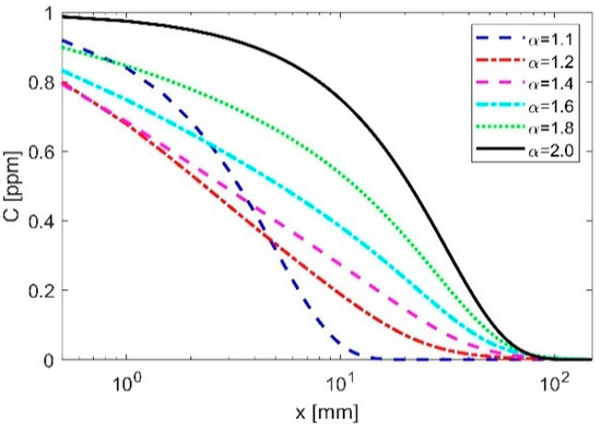
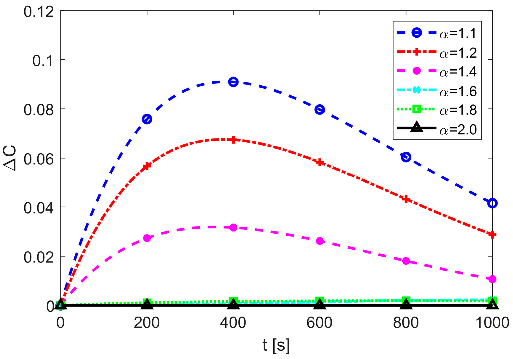
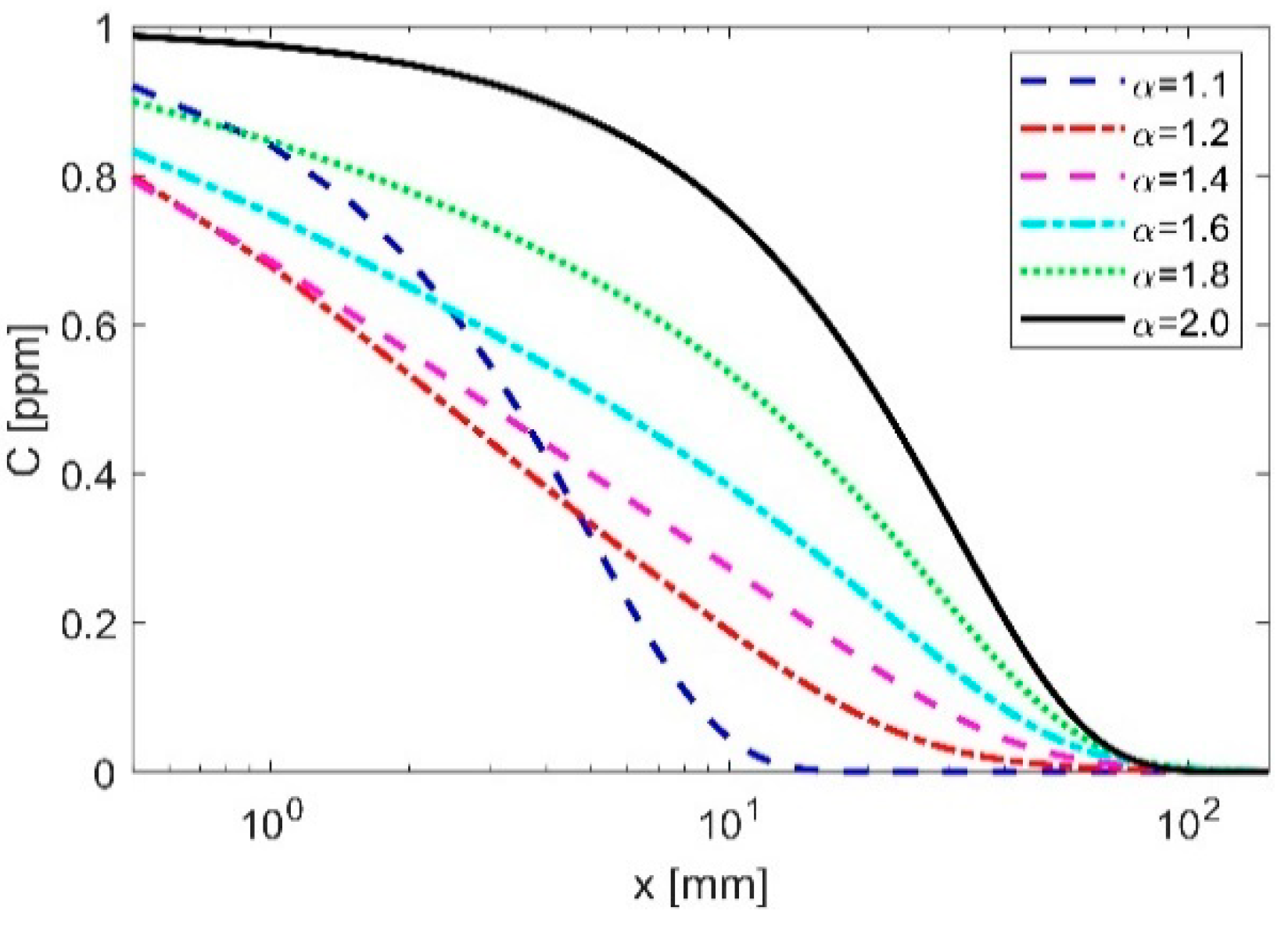
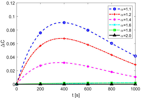
3. Results
4. Discussion
Author Contributions
Funding
Institutional Review Board Statement
Informed Consent Statement
Data Availability Statement
Conflicts of Interest
Nomenclature
| v | solid velocity vector |
| Fluid/solid density | |
| g | Gravity acceleration vector |
| k | Saturated permeability tensor |
| μ | Dynamic fluid viscosity |
| p | pore pressure |
| α | fractional differential order |
| Γ(·) | gamma function |
| C | solute/contaminant concentration |
| ϕ | porosity |
| kd | contaminant partitioning coefficient |
| D | hydrodynamic dispersion tensor |
| J | jacobian |
| ϑ | logarithmic strain |
| p0, σ0 | initial values of pore pressure and axial stress |
| κ, G | bulk and shear modulus of porous material |
| E | transfer term |
| solute concentration in the mixing soil zone |
References
- Sultana, F.; Singh, D.; Pandey, R.K.; Zeidan, D. Numerical schemes for a class of tempered fractional integro-differential equations. Appl. Num. Math. 2020, 157, 110–134. [Google Scholar] [CrossRef]
- Miller, K.S.; Ross, B. An Introduction to the Fractional Calculus and Fractional Differential Equations; Wiley-Interscience: New York, NY, USA, 1993. [Google Scholar]
- Prakash, P.; Sahadevan, R. Lie symmetry analysis and exact solution of certain fractional ordinary differential equations. Nonlinear Dynam. 2017, 89, 305–319. [Google Scholar] [CrossRef]
- Jannelli, A.; Ruggieri, M.; Speciale, M.P. Numerical solutions of space fractional advection–diffusion equation, with nonlinear source term. Appl. Numer. Math. 2020, 155, 93–102. [Google Scholar] [CrossRef]
- Bira, B.; Mandal, H.; Zeidan, D. Exact solution of the time fractional variant Boussinesq-Burgers equations. Appl. Math. 2021, 66, 437–449. [Google Scholar] [CrossRef]
- Mandal, H.; Bira, B.; Zeidan, D. Power Series Solution of Time-Fractional Majda-Biello System Using Lie Group Analysis. In Proceedings of the International Conference on Fractional Differtiation and its Applications (ICFDA), Amman, Jordan, 16–18 July 2018. [Google Scholar] [CrossRef]
- Daftardar-Geji, V.; Jafari, H. Adomian decomposition: A tool for solving a system of fractional differential equations. J. Math. Anal. Appl. 2005, 301, 508–518. [Google Scholar] [CrossRef] [Green Version]
- Zeidan, D.; Chau, C.K.; Lu, T.T. On the characteristic Adomian decomposition method for the Riemann problem. Math. Meth. Appl. Sci. 2021, 44, 8097–8112. [Google Scholar] [CrossRef]
- Momani, S.; Odibat, Z. Homotopy perturbation method for nonlinear partial differential equations of fractional order. Phys. Lett. A 2007, 365, 345–350. [Google Scholar] [CrossRef]
- Zhang, N.; Deng, W.; Wu, Y. Finite difference/element method for a two-dimensional modified fractional diffusion equation. Adv. Appl. Math. Mech. 2012, 4, 496–518. [Google Scholar] [CrossRef]
- Liu, Y.; Yu, Z.D.; Li, H.; Liu, F.W.; Wang, J.F. Time two-mesh algorithm combined with finite element method for time fractional water wave model. Int. J. Heat Mass Transfer 2018, 120, 1132–1145. [Google Scholar] [CrossRef]
- Hejazi, H.; Moroney, T.; Liu, F. Stability and convergence of a finite volume method for the space fractional advection–dispersion equation. J. Comput. Appl. Math. 2014, 684–697. [Google Scholar] [CrossRef] [Green Version]
- Li, F.; Fu, H.; Liu, J. An efficient quadratic finite volume method for variable coefficient Riesz space-fractional diffusion equations. Math. Methods Appl. Sci. 2021, 44, 2934–2951. [Google Scholar] [CrossRef]
- Zhou, Y.; Suzuki, J.L.; Zhang, C.; Zayernouri, M. Implicit-explicit time integration of nonlinear fractional differential equations. Appl. Numer. Math. 2020, 156, 555–583. [Google Scholar] [CrossRef]
- Doha, E.H.; Bhrawy, A.H.; Baleanu, D.; Ezz-Eldien, S.S. Numerical schemes with high spatial accuracy for a variable-order anomalous subdiffusion equation. Appl. Math. Comput. 2013, 219, 8042–8056. [Google Scholar]
- Zhao, T.; Mao, Z.; Karniadakis, G.E. Multi-domain spectral collocation method for variable-order nonlinear fractional differential equations. Comput. Methods Appl. Mech. Engrg. 2019, 348, 377–395. [Google Scholar] [CrossRef] [Green Version]
- Zaky, M.A.; Hendy, A.S.; Macias-Diaz, J.E. Semi-implicit Galerkin–Legendre spectral schemes for nonlinear time-space fractional diffusion–reaction equations with smooth and nonsmooth solutions. J. Sci. Comput. 2020, 82, 13. [Google Scholar] [CrossRef]
- Dwivedi, K.D.; Das, S.; Baleanu, D. Numerical solution of nonlinear space–time fractional-order advection–reaction–diffusion equation. J. Comput. Nonlinear Dynam. 2020, 15, 061005. [Google Scholar] [CrossRef]
- Roul, P.; Rohil, V.; Espinosa-Paredes, G.; Obaidurrahman, K. Numerical simulation of two-dimensional fractional neutron diffusion model describing dynamical behaviour of sodium-cooled fast reactor. Ann. Nuclear Energy 2021, 166, 108709. [Google Scholar] [CrossRef]
- Schumer, R.; Benson, D.A.; Meerschaert, M.M.; Baeumer, B. Fractal mobile/immobile transport. Water Res. Res. 2003, 39, 1296. [Google Scholar]
- Zhang, Y.; Benson, D.A.; Reeves, D.M. Time and space non-localities underlying fractional-derivative models: Distinction and literature review of field applications. Adv. Wat. Res. 2009, 32, 561–581. [Google Scholar] [CrossRef]
- Fomin, S.; Chugunov, V.; Hashida, T. The effect of non-Fickian diffusion for modelling the anomalous diffusion of contaminant from fracture into porous rock matrix with bordering alteration zone. Transp. Por. Media 2010, 81, 187–205. [Google Scholar] [CrossRef]
- Fomin, S.A.; Chugunov, V.A.; Hashida, T. Non-Fickian mass transport in fractured porous media. Adv. Wat. Res. 2011, 34, 205–214. [Google Scholar] [CrossRef]
- Salomoni, V.A.; De Marchi, N. A three-dimensional finite strain model of solute transport in saturated porous media with a fractional approach. J. Eng. Sci. 2021; under review. [Google Scholar]
- Deng, Z.Q.; Singh, V.P.; Bengtsson, L. Numerical solution of fractional advection-dispersion equation. J. Hydr. Engrg. 2004, 130, 422–431. [Google Scholar] [CrossRef] [Green Version]
- Kumar, S.; Zeidan, D. An efficient Mittag-Leffler kernel approach for time-fractional advection-reaction-diffusion equation. Appl. Num. Math. 2021, 170, 190–207. [Google Scholar] [CrossRef]
- Yavuz, M.; Ozdemir, N. An Integral Transform Solution for Fractional Advection-Diffusion Problem. In Proceedings of the International Conference on Mathematical Studies and Applications, Karaman, Turkey, 4–6 October 2018; pp. 442–446. [Google Scholar]
- Zhou, H.W.; Yang, S.; Zhang, S.Q. Modeling non-Darcian flow and solute transport in porous media with the Caputo-Fabrizio derivative. Appl. Math. Mod. 2009, 68, 603–615. [Google Scholar] [CrossRef]
- Roul, P.; Rohil, V.; Espinosa-Paredes, G.; Prasad Goura, V.M.K.; Gedam, R.S.; Obaidurrahman, K. Design and analysis of a numerical method for fractional neutron diffusion equation with delayed neutrons. Appl. Numer. Math. 2020, 157, 634–653. [Google Scholar] [CrossRef]
- Roul, P.; Rohil, V.; Espinosa-Paredes, G.; Obaidurrahman, K. An efficient numerical method for fractional neutron diffusion equation in the presence of different types of reactivities. Ann. Nucl. Energy 2021, 152, 108038. [Google Scholar] [CrossRef]
- Kuila, S.; Raja Sekhar, T.; Zeidan, D. On the Riemann Problem Simulation for the Drift-Flux Equations of Two-Phase Flows. Int. J. Com. Meth. 2016, 13, 1650009. [Google Scholar] [CrossRef] [Green Version]
- Zeidan, D.; Romenski, E.; Slaouti, A.; Toro, E.F. Numerical study of wave propagation in compressible two-phase flow. Int. J. Num. Meth. Fluids 2007, 54, 393–417. [Google Scholar] [CrossRef]
- Erdogan, U.; Sari, M.; Kocak, H. Efficient numerical treatment of nonlinearities in the advection–diffusion–reaction equations. Int. J. Num. Meth. Heat Fluid Flow 2019, 29, 132–145. [Google Scholar] [CrossRef]
- Pinnola, F.P.; Vaccaro, M.S.; Barretta, R.; Marotti de Sciarra, F. Random vibrations of stress-driven nonlocal beams with external damping. Meccanica 2021, 56, 1329–1344. [Google Scholar] [CrossRef]
- Barretta, R.; Marotti de Sciarra, F.; Pinnola, F.P.; Vaccaro, M.S. On the nonlocal bending problem with fractional hereditariness. Meccanica 2021. [Google Scholar] [CrossRef]
- Salomoni, V.A. A mathematical framework for modelling 3D coupled THM phenomena within saturated porous media undergoing finite strains. Comp. Part B Eng. 2018, 146, 42–48. [Google Scholar] [CrossRef]
- He, J.H. Approximate analytical solution for seepage flow with fractional derivatives in porous media. Comput. Meth. Appl. Mech. Eng. 1998, 167, 57–68. [Google Scholar] [CrossRef]
- Schumer, R.; Benson, D.A.; Meerschaert, M.M.; Wheatcraft, S.W. Eulerian derivation of the fractional advection–dispersion equation. J. Contam. Hydrol. 2001, 48, 69–88. [Google Scholar] [CrossRef]
- Ochoa-Tapia, J.A.; Valdes-Parada, F.J.; Alvarez-Ramirez, J. A fractional-order Darcy’s law. Phys. A Stat. Mech. Appl. 2007, 374, 1–14. [Google Scholar] [CrossRef]
- Cushman, J.H.; Moroni, M. Statistical mechanics with three-dimensional particle tracking velocimetry experiments in the study of anomalous dispersion I: Theory. Phys. Fluids 2001, 13, 75–80. [Google Scholar] [CrossRef]
- Oldham, K.B.; Spanier, J. The Fractional Calculus; Academic Press: New York, NY, USA, 1974. [Google Scholar]
- Zhang, H.J.; Jeng, D.S.; Barry, D.A.; Seymour, B.R.; Li, L. Solute transport in nearly saturated porous media under landfill clay liners: A finite deformation approach. J. Hydrol. 2013, 479, 189–199. [Google Scholar] [CrossRef]
- Peters, G.P.; Smith, D.W. Solute transport through a deforming porous medium. Int. J. Num. An. Meth. Geomech. 2002, 26, 683–717. [Google Scholar] [CrossRef]
- Chaves, A.S. A fractional diffusion equation to describe Levy flights. Phys. Lett. A 1998, 239, 13–16. [Google Scholar] [CrossRef]
- Benson, D.A.; Wheatcraft, S.W.; Meerschaert, M.M. The fractional-order governing equation of Levy motion. Water Resour. Res. 2000, 36, 1413–1423. [Google Scholar] [CrossRef]
- Owolabi, K.M.; Atangana, A. Numerical Methods for Fractional Differentiation; Springer: Singapore, 2019. [Google Scholar]
- Deng, Z.Q.; de Lima, J.L.M.P.; de Lima, M.I.P.; Singh, V.P. A fractional dispersion model for overland solute transport. Water Resour. Res. 2006, 42, W03416. [Google Scholar] [CrossRef] [Green Version]
- Çelik, C.; Duman, M. Crank–Nicolson method for the fractional diffusion equation with the Riesz fractional derivative. J. Comp. Phys. 2012, 231, 1743–1750. [Google Scholar] [CrossRef]
- Salomoni, V.A.; Majorana, C.E. Parametric analysis of diffusion of activated sources in disposal forms. J. Haz. Mat. 2004, A113, 45–56. [Google Scholar]





| Parameter | Values | Unit [-] |
|---|---|---|
| a | −10 | m |
| b | 10 | m |
| 10−4 | m2/s | |
| v | 0.5 | m/s |
| E | 0.02 | s−1 |
| 0.0001 | s−1 | |
| N | 200 | - |
| T | 100 | - |
| tend | 1000 | s |
| Parameter | Values | Unit [-] |
|---|---|---|
| a | 0 | mm |
| b | 150 | mm |
| 10−4 | m2/s | |
| N | 300 | - |
| t0 | 10−5 | y |
| tend | 993 | y |
Publisher’s Note: MDPI stays neutral with regard to jurisdictional claims in published maps and institutional affiliations. |
© 2021 by the authors. Licensee MDPI, Basel, Switzerland. This article is an open access article distributed under the terms and conditions of the Creative Commons Attribution (CC BY) license (https://creativecommons.org/licenses/by/4.0/).
Share and Cite
Salomoni, V.A.L.; De Marchi, N. Numerical Solutions of Space-Fractional Advection–Diffusion–Reaction Equations. Fractal Fract. 2022, 6, 21. https://doi.org/10.3390/fractalfract6010021
Salomoni VAL, De Marchi N. Numerical Solutions of Space-Fractional Advection–Diffusion–Reaction Equations. Fractal and Fractional. 2022; 6(1):21. https://doi.org/10.3390/fractalfract6010021
Chicago/Turabian StyleSalomoni, Valentina Anna Lia, and Nico De Marchi. 2022. "Numerical Solutions of Space-Fractional Advection–Diffusion–Reaction Equations" Fractal and Fractional 6, no. 1: 21. https://doi.org/10.3390/fractalfract6010021
APA StyleSalomoni, V. A. L., & De Marchi, N. (2022). Numerical Solutions of Space-Fractional Advection–Diffusion–Reaction Equations. Fractal and Fractional, 6(1), 21. https://doi.org/10.3390/fractalfract6010021

