Next Article in Journal
Existence Results for Hilfer Fractional Differential Equations with Variable Coefficient
Next Article in Special Issue
Fixed Point Results for F-Contractions in Cone Metric Spaces over Topological Modules and Applications to Integral Equations
Previous Article in Journal
Legendre Spectral Collocation Technique for Advection Dispersion Equations Included Riesz Fractional
Previous Article in Special Issue
Asymptotic Separation of Solutions to Fractional Stochastic Multi-Term Differential Equations
 
 
Font Type:
Arial Georgia Verdana
Font Size:
Aa Aa Aa
Line Spacing:
Column Width:
Background:
Article

Numerical Simulation of Fractional Delay Differential Equations Using the Operational Matrix of Fractional Integration for Fractional-Order Taylor Basis

Department of Computer Engineering, Faculty of Engineering, Final International University, Kyrenia 99300, Northern Cyprus, via Mersin 10, Turkey
Fractal Fract. 2022, 6(1), 10; https://doi.org/10.3390/fractalfract6010010
Submission received: 27 November 2021 / Revised: 21 December 2021 / Accepted: 23 December 2021 / Published: 26 December 2021

Abstract

:
In this paper, we consider numerical solutions for a general form of fractional delay differential equations (FDDEs) with fractional derivatives defined in the Caputo sense. A fractional integration operational matrix, created using a fractional Taylor basis, is applied to solve these FDDEs. The main characteristic of this approach is, by utilizing the operational matrix of fractional integration, to reduce the given differential equation to a set of algebraic equations with unknown coefficients. This equation system can be solved efficiently using a computer algorithm. A bound on the error for the best approximation and fractional integration are also given. Several examples are given to illustrate the validity and applicability of the technique. The efficiency of the presented method is revealed by comparing results with some existing solutions, the findings of some other approaches from the literature and by plotting absolute error figures.

1. Introduction

Fractional calculus is a field of mathematical analysis which might be represented as the generalization of integration and differentiation to arbitrary orders. The history of this theory started with the speculations of G.W. Leibniz (1695) and L. Euler (1730). Despite their long history, fractional calculus and the corresponding fractional differential equations (FDEs) are only recently garnering attention and popularity. There are several different definitions of fractional derivatives in the literature, including Riemann–Liouville, Caputo, Grünwald–Letnikov, Weyl, Marchaud, and Prabhakar, to mention just a few of the well-known ones. The history of this topic can be found in [1,2,3,4].
In point of fact, fractional calculus provides mathematical modeling of various phenomena, sometimes in a stronger way than ordinary calculus. When compared with classical calculus, fractional calculus has memory effects which are useful for modeling long-time interactions. Due to this, it can illustrate many different kinds of dynamical and engineering models in a more accurate way. Over the last few decades, applications were investigated in numerous fields of science and engineering such as bioengineering [5], biology [6], chaotic systems [7], chemistry [8], control theory [9,10], economics [11], electrochemistry [12], finance [13], mechanics [14], optics [15], physics [16], rheology [17], social sciences [18], viscoelasticity [19], and so forth.
The importance and useful properties of FDEs leads them and their solution methods to attract widespread interest. Moreover, since analytical solutions such as those using matrix Mittag–Leffler functions [20] or Laplace transforms [21] are often impossible or impractical for more advanced FDEs, numerical methods are crucial for solving FDEs in practice. A variety of such methods have been established in the literature, such as the q-homotopy analysis transform method [22], the B-spline collocation method [23], the predictor–corrector method [24], the space-spectral time-fractional Adams–Bashforth–Moulton method [25], the fractional Taylor operational matrix method [26], the Bernoulli polynomials method [27], the differential transform method [28], and so on.
Spectral methods are efficient numerical techniques used to solve differential equations (DEs) in applied mathematics. In 1938, spectral methods were introduced by Lanczos [29] by showing the powerful role of Fourier series and Chebyshev polynomials for solutions of some problems. Spectral methods have received considerable interest in recent years, solving many different types of integral and differential equations numerically, because of their easy applicability over both finite and infinite intervals. When the solution of a given problem is smooth, spectral methods have very good error properties, namely the so-called “exponential convergence”. These highly accurate methods are based on expressing the approximate solution of a DE as a linear combination of a chosen set of orthogonal basis functions and choosing the coefficients in the sum in order to satisfy the solution of the DE [30]. In general, there are three types of such methods; collocation, Tau, and Galerkin. In our work, for discretization of FDDEs, we will use a spectral collocation method with a fractional Taylor basis to approximate the functions. Collocation is based on interpolation; similarly to the finite difference method, the collocation spectral method uses collocation points, namely a set of grid points in the domain.
A delay differential equation (DDE) is a special kind of differential equation, which lies somewhere between ordinary differential equations (ODEs) and partial differential equations (PDEs); the derivative of the unknown function at a certain time is given in terms of the values of the function at previous times. Mathematical models that utilize DDEs turn out to be beneficial, particularly when the description of the investigated systems depends not only on the status of a system in that moment, but also in the past. There are different types of DDEs with different types of delays, such as constant delay, time-dependent delay, state-dependent delay, neutral delay, stochastic delay, and so on. DDEs play an important role in various applied sciences such as biology, electrical networks, environment science, life science, mechanics, physiology, and population dynamics; see, for instance, [31,32,33] and references therein.
Even though delays can be recognised everywhere in real world systems and there has been widespread interest in the study of DDEs for many years, FDDEs are a very recent topic. The FDDE is a generalization of the DDE to arbitrary non-integer order. Since a small delay can have a great impact, FDDEs have gained considerable interest for modeling some real world problems. FDDEs have many applications in different scientific disciplines such as biology, control theory, chemistry, economics, electrodynamics, finance, vibration theory, and so on [34,35,36]. For pure mathematical results, we refer to [37] for existence and uniqueness, Ref. [38,39,40] for stability, and [41] for controllability. For most FDDEs, exact solutions are not known. Therefore, various numerical techniques such as the Legendre wavelet method [42], the Chebyshev operational matrix method [43], the Bernoulli wavelets method [44], the shifted Gegenbauer–Gauss collocation method [45], the Haar wavelet collocation method [46], the modified operational matrix method [47], the discontinuous Galerkin method [48], spectral methods [49], etc., have been developed and applied to provide approximate solutions.
The classical linear DDE is given as
ω ( t ) = f t , ω ( t ) , ω ( t ) , ω ( c t τ ) , ω c t τ , t [ 0 , R ] ,
where ω is the solution to be determined, f is a known analytic function, and c, τ , c t τ denote a constant, delay, and delay argument, respectively, with 0 < c 1 .
In this paper, motivated by the powerful properties of fractional calculus, especially the non-local nature of fractional operators, we replace the integer order derivative of DDE (1) with a non-integer order Caputo derivative, and focus on numerical solutions for the following general form of FDDE which involves more than one fractional differential operator:
D μ ω ( t ) = f t , ω ( t ) , D β ω ( t ) , ω ( c t τ ) , D γ ω c t τ , t [ 0 , R ] ,
with initial conditions
ω r ( 0 ) = λ r , r = 0 , 1 , . . . , μ 1 ,
and
ω ( t ) = g ( t ) , t < 0 .
where D μ , D β , D γ represent the Caputo fractional derivatives of order μ , β , γ , respectively, with μ β and γ > 0 , ω is the solution to be determined, and f and g are known analytic functions.
The main purpose of this work is to find an approximate solution of the problem given in (2) and (3) using a spectral method with non-integer order Taylor basis. In order to realize this aim, we derive the operational matrix of fractional integration by using a fractional order Taylor basis. Then, by utilizing this matrix, we obtain a system of linear algebraic equations. The solution of this system for unknown coefficients will give an approximate solution for the FDDE.
Beside the advantages of using a Taylor basis, like finding fractional derivatives and approximating the functions easily, it has also led us to create an operational matrix without any approximation, that is, approximating the unknown function is the only approximation involved in this method. Obviously, in addition to the important properties of spectral methods mentioned above, using a Taylor basis is important in order to obtain better results. In general, if the solution of a given problem is smooth and analytic on the defined interval, spectral methods will obtain highly accurate results. However, these efficient methods become less accurate when applied to problems with discontinuous coefficients and complex geometries. Moreover, the accuracy of derivatives acquired by term-by-term differentiation of a truncated expansion naturally deteriorates [50].
The structure of this paper is as follows. Section 2 comprises a brief introduction to the key definitions and properties of fractional calculus. Section 3 introduces an operational matrix for fractional integration, constructed by the use of fractional Taylor vectors. In Section 4, we propose a numerical method to solve the given FDDE. In Section 5, we give an error bound for the best approximation and fractional integration. In Section 6, the proposed scheme is applied to six examples to indicate its applicability. Conclusions and suggestions for future work are presented in Section 7. A numerical algorithm for the present method is provided in Appendix A.

2. Preliminaries and Definitions

2.1. Fractional Calculus

Definition 1.
Let ω ( t ) be an integrable function. The Riemann–Liouville (R–L) fractional integral to order μ of ω ( t ) is given as
I μ ω ( t ) = 1 Γ ( μ ) 0 t ( t v ) μ 1 ω ( v ) d v , μ > 0 ω ( t ) , μ = 0
When employed to a power function, the R–L fractional integral gives the following result:
I μ ( t ) ρ = Γ ( ρ + 1 ) Γ ( ρ + μ + 1 ) ( t ) ρ + μ , μ 0 , ρ > 1 .
The R–L fractional integral operator has a semigroup property, that is:
I μ I β ω ( t ) = I β I μ ω ( t ) , μ , β > 0 ,
and the operator is linear, namely
I μ ( C 1 ω 1 ( t ) + C 2 ω 2 ( t ) ) = C 1 I μ ω 1 ( t ) + C 2 I μ ω 2 ( t ) ,
for any two functions ω 1 , ω 2 and constants C 1 , C 2 .
Definition 2.
The Caputo fractional derivative of ω ( t ) to order μ is given as
D μ ω ( t ) = I q μ d q d t q ω ( t ) , q 1 < μ q , j N .
The Newton–Leibniz identity yields a crucial relation among the R–L fractional integral and the Caputo fractional derivative as follows:
I μ ( D μ ω ( t ) ) = ω ( t ) r = 0 μ 1 ω ( r ) ( 0 ) t r r ! .
The Taylor vector with non-integer order is represented as [51],
Φ m σ ( t ) = 1 , t σ , t 2 σ , . . . , t m σ
for m N and σ > 0 .

2.2. Function Approximation by Fractional Taylor Vector

Let Φ m σ ( t ) H , where H = L 2 [ 0 , 1 ] . Each ω H has a unique best approximation ω * B , since B = s p a n 1 , t σ , t 2 σ , . . . , t m σ is a finite-dimensional vector subspace of H, so that
ω ^ B , ω ω * ω ω ^ .
Therefore, the function ω can be expanded in terms of the fractional Taylor vector as:
ω ω * = lim n i = 0 n c i t i σ
Truncating the series in Equation (9) to a finite number of terms, we get
y y * = i = 0 m c i t i σ = C T Φ m σ ( t )
where the vector of coefficients C is given by
C T = [ c 0 , c 1 , c 2 , . . . , c m ] .

3. Construction of Operational Matrix of Fractional Integration

In this part, we create the operational matrix of fractional integration by use of the fractional Taylor vector.
Let us define the R–L fractional integration to order μ of the Taylor vector given in (8) as
I μ Φ m σ ( t ) = M ( t , μ ) Φ m σ ( t ) ,
where M ( t , μ ) is the operational matrix of fractional integration of order μ with ( m + 1 ) × ( m + 1 ) dimensions.
By using feature (5) of the R–L fractional integral and the vector (8), we get
I μ ( Φ m σ ( t ) ) = 1 Γ ( μ + 1 ) t μ , Γ ( σ + 1 ) Γ ( σ + μ + 1 ) t σ + μ , Γ ( 2 σ + 1 ) Γ ( 2 σ + μ + 1 ) t 2 σ + μ , . . . , Γ ( m σ + 1 ) Γ ( m σ + μ + 1 ) t m σ + μ .
Therefore, we can write (13) as
I μ ( Φ m σ ( t ) ) = t μ P μ Φ m σ ( t ) .
where
P μ = d i a g 1 Γ ( μ + 1 ) , Γ ( σ + 1 ) Γ ( σ + μ + 1 ) , Γ ( 2 σ + 1 ) Γ ( 2 σ + μ + 1 ) , . . . , Γ ( m σ + 1 ) Γ ( m σ + μ + 1 ) .
If we define Θ ( t , μ ) = t μ P μ , then the fractional Taylor operational matrix of fractional integration can be expressed as
M ( t , μ ) = d i a g [ Θ ( t , μ ) , Θ ( t , μ ) , . . . , Θ ( t , μ ) ] .

4. Method of Solution

In this section, we define the proposed technique for the construction of a numerical solution for a general form of FDDEs. The numerical algorithm, based on the fractional Taylor operational matrix of fractional integration, is given below.
Let us recall and focus on the fractional order delay differential equations given in (2) and (3):
D μ ω ( t ) = f t , ω ( t ) , D β ω ( t ) , ω ( c t τ ) , D γ ω c t τ , t [ 0 , R ] ,
with initial conditions
ω r ( 0 ) = λ r , r = 0 , 1 , . . . , μ 1 ,
and
ω ( t ) = g ( t ) , t < 0 .
We start by expanding D μ ω ( t ) by using a fractional Taylor basis vector as follows:
D μ ω ( t ) = C T Φ m σ ( t ) .
As a next step, by applying the R–L fractional integral of order μ on (18) and using initial conditions (17), we get
ω ( t ) C T I μ Φ m σ ( t ) + r = 0 μ 1 λ r r ! ( t ) r , if t [ 0 , R ] , g ( t ) , if t < 0 .
By using the fractional Taylor operational matrix of integration (15), we can rewrite (19) as
ω ( t ) C T M ( t , μ ) Φ m σ ( t ) + r = 0 μ 1 λ r r ! ( t ) r , if t [ 0 , R ] , g ( t ) , if t < 0 .
Further, applying a differential operator of order β on both sides of (19), we have
D β ω ( t ) C T I μ β Φ m σ ( t ) + r = 0 μ 1 λ r r ! D β ( t r ) , if t [ 0 , R ] , D β g ( t ) , if t < 0 ,
and therefore
D β ω ( t ) C T M ( t , μ β ) Φ m σ ( t ) + r = 0 μ 1 λ r r ! D β ( t r ) , if t [ 0 , R ] , D β g ( t ) , if t < 0 .
Similarly, we can approximate the delay term as
ω ( c t τ ) C T M ( c t τ , μ ) Φ m σ ( c t τ ) + r = 0 μ 1 λ r r ! ( c t τ ) r , if c t τ , g ( c t τ ) , if c t < τ .
Now, by taking a differential operator of order γ on both sides of (23), we get
D γ ω ( c t τ ) C T M ( c t τ , μ γ ) Φ m σ ( c t τ ) + r = 0 μ 1 λ r r ! D γ ( c t τ r ) , if c t τ , D γ g ( c t τ ) , if c t < τ .
Hence, by substituting Equations (18), (20) and (22)–(24) into Equation (16), we get an algebraic equation with unknown coefficient C T .
As a final step, by using the collocation points t r = r / m where r = 0 , 1 , , m , we get a system of m + 1 linear algebraic equations with a vector of unknown constants C T = [ c 0 , c 1 , c 2 , , c m ] . This system might be solved efficiently for the vector of coefficients  C T .

5. Error Estimation

To obtain an upper bound for the best approximation, we use the generalized Taylor’s formula.
Theorem 1
(Generalized Taylor’s Formula [52]). Let D k μ ω ( t ) C ( 0 , 1 ] for k = 0 , 1 , , m . Then we have
ω ( t ) = j = 0 m t j μ Γ ( j μ + 1 ) D j μ ω ( 0 + ) + t ( m + 1 ) μ Γ ( ( m + 1 ) μ + 1 ) D ( m + 1 ) μ ω ( η ) ,
with 0 < η t , t ( 0 , 1 ] . Also,
ω ( t ) j = 0 m t j μ Γ ( j μ + 1 ) D j μ ω ( 0 + ) N μ t ( m + 1 ) μ Γ ( ( m + 1 ) μ + 1 )
where N μ D ( m + 1 ) μ ω ( η ) .
In case μ = 1 , the generalized Taylor’s formula reduces to the classical one.

5.1. Error Bound for the Best Approximation

In this section, we obtain an error bound for the best approximation by the following theorem.
Theorem 2
([51]). Let D k μ ω ( t ) C ( 0 , 1 ] for k = 0 , 1 , , m and B = s p a n { 1 , t σ , t 2 σ , , t m σ } . If ω m = C T T m σ is the best approximation of y from B , then
ω ( t ) ω N ( t ) 2 N μ Γ ( ( m + 1 ) μ + 1 ) 1 ( 2 ( m + 1 ) + 1 ) μ ,
where N μ D ( m + 1 ) μ ω ( t ) .
Proof of Theorem 2.
Since ω N is the best approximation of ω from B, and by use of the generalized Taylor’s formula, we get
ω ω N 2 N μ 2 Γ ( ( m + 1 ) μ + 1 ) 2 0 1 t 2 ( m + 1 ) μ t μ 1 d t , = N μ 2 Γ ( ( m + 1 ) μ + 1 ) 2 1 ( 2 ( m + 1 ) + 1 ) μ .
Now, by taking the square root of Equation (25), the desired result can be obtained.    □

5.2. Error Bound for Fractional Integration

The error bound for fractional integration can be obtained by the following theorem.
Theorem 3
([51]). Let all conditions of Theorem 2 be satisfied and μ > 1 . Then
I μ ω ( t ) I μ ω N ( t ) 2 N μ Γ ( μ ) Γ ( ( m + 1 ) μ + 1 ) 1 ( 2 ( m + 1 ) + 1 ) μ .
Proof of Theorem 3.
By using the definition of the R–L fractional integral of order μ , we have
I μ ω ( t ) I μ ω N ( t ) 2 = I μ ( ω ( t ) ω N ( t ) ) 2 1 Γ ( μ ) 0 t ( t s ) μ 1 ( ω ( s ) ω N ( s ) ) 2 d s 1 Γ ( μ ) 0 1 ( 1 s ) μ 1 ( ω ( s ) ω N ( s ) ) 2 d s 1 Γ ( μ ) 0 t ( ω ( s ) ω N ( s ) ) 2 d s .
With use of (25) and (26), the desired result can be obtained.    □
It is noted that the error investigation for the solution of the FDDE might be reduced to the error analysis of the function approximation and integration which are presented in Theorems 2 and 3, respectively.

6. Illustrative Examples

In this part, we present six examples to illustrate the applicability and accuracy of the introduced scheme. In each example, we apply the proposed method to solve given problems and compare the obtained results with analytical solutions and the results obtained by other methods from the literature. The acquired results reveal that the present method is very efficacious for solving FDDEs.

6.1. Example 1

In this example, the following generalized form of FDDE is considered [53]:
D μ ω ( t ) + ω ( t ) + ω t 2 0.3 = f ( t ) ,
with the initial conditions
ω ( 0 ) = 0 , ω ( 0 ) = 1 , ω ( 0 ) = 1
where t > 0 , 0 < μ 3 . The exact solution of (27) is revealed by ω ( t ) = e t in the case when f ( t ) = e t / 2 + 0.3 and μ = 3 .
In Table 1, we present the comparison of the absolute errors of the present method with that of the shifted Chebyshev polynomials method (SCPM) [53] for m = 6 , 8 .
Table 1 indicates that the solutions derived by using the present approach are closer to the exact solution when compared with the method of [53].
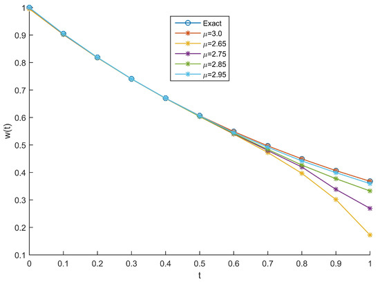
In Figure 1, we present the numerical solution results for the problem (27) when μ = 2.65 , 2.75 , 2.85 , 2.95 , 3.0 . By comparing these findings with the exact solution, we can state that as μ approaches 3, the approximate solutions converge to those of the integer-order DE.
Figure 2 illustrates the graphical representation of the absolute error acquired by using the present method for parameters m = 8 where μ = 3 .

6.2. Example 2

Consider an FDDE of the following form [54]:
D μ ω ( t ) + ω ( t ) + ω ( t τ ) = 2 Γ ( 3 μ ) t 2 μ 1 Γ ( 2 μ ) t 1 μ + 2 τ t τ 2 τ ,
with the initial condition
ω ( 0 ) = 0 ,
where t > 0 and 0 < μ 1 . The exact solution is given by ω ( t ) = t 2 t at μ = 1 .
We solve this problem for different values of the delay term τ = 0.01 , 0.001 , 0.01 e t , 0.001 e t , 0.1 e t , 0.2 e t , 0.3 e t .
In Table 2, we compare the absolute errors obtained by using our method for m = 7 , σ = 1 , with those results obtained using the Chebyshev polynomial method (CPM) [54], spectral collocation method (SCM) [43], and Bernoulli wavelet method (BWM) [44], where τ = 0.01 .
In Figure 3, we graphically illustrate the comparison of absolute errors given in Table 2.
In Figure 4, we illustrate a comparison between the exact solution and the approximate solution acquired by the proposed technique for the constant delay τ = 0.01 .
In Figure 5, we graphically illustrate the acquired absolute error by using the given technique when τ = 0.01 .
In Table 3, we present a comparison of the acquired absolute errors between the present method for m = 5 and the method of [44] when τ = 0.001 . These results show that the proposed method is very efficient even for a small number of basis elements.
The graphical representations of the exact solution and the approximate solution obtained using the given method when τ = 0.001 are demonstrated in Figure 6.
In Figure 7, we graphically illustrate the absolute error acquired by the present scheme.
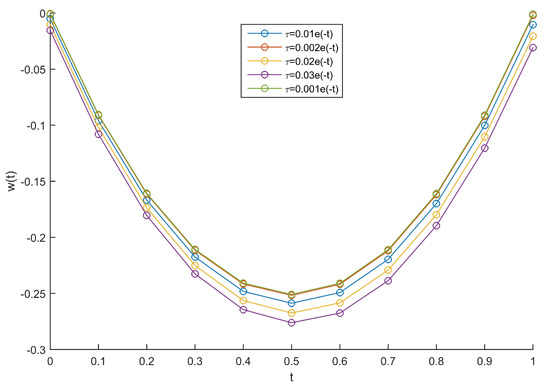
The approximate solutions of the given problem (28) with constant delays τ = 0.001 e t , 0.002 e t , 0.01 e t , 0.02 e t , 0.03 e t are presented graphically in Figure 8.

6.3. Example 3

Consider an FDDE with constant delay as follows [46]:
D 1 / 2 ω ( t ) ω ( t 1 ) + ω ( t ) = 2 t 1 + Γ ( 3 ) Γ ( 5 / 2 ) t 3 / 2 ,
with ω ( t ) = t 2 , 1 t < 0 .
The analytical solution is given by ω ( t ) = t 2 .
We solve this problem by taking σ = 1 / 2 . In Table 4, we present the obtained results for the absolute error and relative error when m = 4 .
A comparison of maximum absolute errors obtained by the proposed method for m = 4 , the Haar wavelet collocation technique (HWCT) [46] for N = 2048 , and the fractional backward difference method (FBDM) [55] for N = 640 , are presented in Table 5. This results show the efficiency of the given technique even for a small m value.
The graphical demonstration of the exact solution and the behaviour of the approximate solution obtained by the given numerical technique are presented in Figure 9. The absolute error results are also presented in Figure 10.

6.4. Example 4

In this example, the following form of fractional order differential equation with a proportional delay is considered [47]:
D μ ω ( t ) = ω ( t ) + 1 4 ω 1 4 t + f ( t ) ,
with
ω ( 0 ) = 0 .
where
f ( t ) = 1 Γ ( 2 μ ) t 1 μ + 3 μ π 4 Γ ( 3 2 μ ) t 3 2 μ t μ t 3 2 1 16 t μ 32 t 3 2
The exact solution is given by ω ( t ) = t + μ t 3 2 .
We solve the given problem (31) for μ = 1 / 2 and by choosing σ = 1 / 2 , m = 4 . A comparison between the acquired absolute errors of the present technique and the modified operational matrix method (MOMM) [47] are presented in Table 6. From these findings, we can conclude that the present method is very efficient even for small numbers m.
In Figure 11, we illustrate the exact solution and the approximate solution acquired by using the given approach for the problem (31).
The behaviour of the acquired absolute error for the problem (31) when we use the proposed scheme is presented in Figure 12.

6.5. Example 5

In this example, the following form of fractional order neutral functional-differential equation with proportional delay is considered [45]:
D 5 / 2 ω ( t ) = ω ( t ) + D 1 / 2 y t 3 + D 3 / 2 ω t 4 + D 5 / 2 ω t 5 + f ( t ) ,
with the initial conditions
ω ( 0 ) = 0 , ω ( 0 ) = 0 , ω ( 0 ) = 0 ,
where t [ 0 , R ] and
f ( t ) = 32 π t 3 / 2 t 4 128 945 Γ ( 3 π ) t 7 2 2 5 π t 32 5 5 π t 3 2
The exact solution of this problem is revealed by ω ( t ) = t 4 .
In order to solve this fractional differential equation with proportional delay, we use the given method with σ = 1 and m = 4 . The obtained results for the absolute errors are presented and compared with the shifted Gegenbauer–Gauss collocation method (SGGC) [45] in Table 7.
The approximate solution obtained by using our technique and the exact solution of the given problem are graphically presented in Figure 13. Additionally, illustration of the absolute errors can be seen in Figure 14 where t [ 0 , 1 ] .
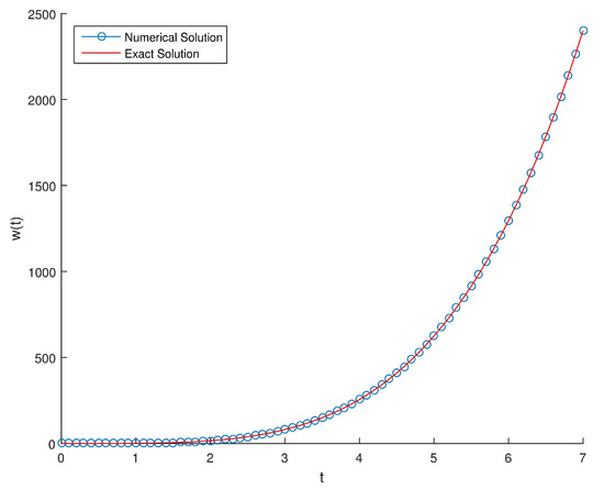
In Figure 15 and Figure 16, we illustrate the behaviours of the approximate solution and the absolute errors acquired by use of the present method, respectively, where t [ 0 , 7 ] .
From these results, we can see that the given method provides highly accurate results also for wide intervals of t even for a small number of basis elements.

6.6. Example 6

As a last example, we consider the following form of FDDE with proportional delay [44]:
D μ ω ( t ) = a ω ( t ) + b ω ( c t ) + cos ( t ) a sin ( t ) b sin ( c t ) , t [ 0 , R ] and 0 < μ 1
with
ω ( 0 ) = 0 .
The exact solution of this problem is given by ω ( t ) = sin ( t ) when μ = 1 for any a , b R and 0 < c < 1 .
In Table 8, we give comparison results for the acquired absolute errors of the approximate solution between the proposed method, the Bernoulli wavelet method [44], the spectral method based on a modification of hat functions [49], and the Legendre wavelet method [42] for c = 1 / 2 .
From Table 8, we can see that the present method provides higher efficiency even for a small number of basis elements from the fractional Taylor vector.
The illustration of the approximate solution and the absolute error obtained by our method are presented in Figure 17 and Figure 18, respectively.
From Figure 19, we can see the graphical representations of the numerical solutions acquired by using the proposed scheme when c = 1 / 10 and t [ 0 , 5 ] .
Figure 20 and Figure 21 graphically present the results for the approximate solutions and the absolute errors provided by use of our method, respectively, where t [ 0 , 8 ] .
Here, we can conclude that even for a wide range of t, we can obtain highly accurate results by use of the present method.
Figure 22 presents a graphical representation of the comparison between the exact and approximate solutions provided by use of the present method by taking m = 3 , 4 , 5 , 6 when t [ 0 , 8 ] .
From these illustrations and results, we can conclude that the given technique rapidly provides efficient results.

7. Conclusions and Future Work

In this study, a numerical technique based on an operational matrix of fractional integration is used to solve FDDEs. The main purpose of this approach is to reduce the given FDDE to algebraic equations, which simplifies the given problem. Hence, the numerical solution is obtained by solving this set of algebraic equations. Concerning the difficulty of solving FDDEs analytically, the proposed technique can have important contributions to the field of numerical methods by having very efficient results and applicability, even for a very low number of basis elements. The results provided by using the proposed technique have been shown and compared with some other techniques from the literature in Section 6. From these results, we can conclude that the given method has wide applicability for the solutions of many different kinds of FDDEs. We also observe that the choice of Taylor basis performs very well in approximating the unknown function. Another advantage is that the operational matrix of fractional integration M ( t , μ ) is a sparse matrix; that is, most of the elements are zero which shortens the required CPU time. All computational results were calculated using MATLAB version R2019A software on an Intel(R) Core(TM) i5-6500 CPU, 3.20 GHz computer with 6.00 GB RAM. For future work, this technique can be extended to apply to other DDEs such as PDEs with delays and variable-order DDEs. Furthermore, other orthogonal polynomials can be used for the approximation of unknown state functions.

Funding

This research received no external funding.

Data Availability Statement

Not applicable.

Conflicts of Interest

The authors declare no conflict of interest.

Appendix A. Pseudo-Code Implementation of Numerical Algorithm

The Algorithm A1 given in this section allows us to employ the present method to get a set of linear algebraic equations in the form A C T = b for a given FDDE [56]. Then, these equations can be solved for unknown coefficients C T by one of the well-known methods, or by a software library such as the l i n s o l v e ( A , b ) command in MATLAB. In this way, readers who are interested in implementing the proposed scheme can do so easily in the programming language of their preference.
Algorithm A1: Fractional-order Taylor basis approximation for FDDEs
Input: Here are the input variables needed in order to convert FDDE into system of algebraic equations
  1:
f = the function of variables defines the right-hand side of the FDDE (2).
  2:
g = given analytic function of the problem.
  3:
μ = the order of FDDE. ( μ > 0 )
  4:
γ = the order of derivative for delay term.
  5:
β = the order of derivative for non-delay term.
  6:
w 0 = the array of initial values w ( 0 ) , w ( 0 ) . . . , w ( w 1 ) ( 0 ) .
  7:
R = the upper bound of the interval where the solution is to be approximated. ( R R > 0 )
  8:
m = the number of steps ( m Z + ).
  9:
σ = we usually choose σ = 1 or σ = μ μ .
10:
c = the proportional delay argument.
11:
τ = the constant delay argument.
Output: Here are the output variables
12:
A = the ( m + 1 ) × ( m + 1 ) dimensional matrix for the linear system A C T = b .
13:
b = the ( m + 1 ) × ( 1 ) dimensional matrix for the linear system A C T = b .
14:
Internal variables:
15:
A = the pre-allocated ( m + 1 ) × ( m + 1 ) dimensional matrix.
16:
b = the pre-allocated ( m + 1 ) × ( 1 ) dimensional matrix.
17:
M = the fractional Taylor operational matrix of fractional integration, defined in Equation (15).
18:
Φ = the Taylor vector with non-integer order, defined in Equation (8).
19:
for i = 0 : 1 : m ;
20:
    s = i / m ;
21:
    if c s < τ
22:
      C T Φ m σ ( s ) = C T M ( s , μ ) Φ m σ ( s ) + r = 0 μ 1 λ r r ! ( s ) r + C T M ( s , μ β ) Φ m σ ( s )
23:
                    + r = 0 μ 1 λ r r ! D β ( s r ) + g ( c s τ ) + D γ g ( c s τ )
24:
    else
25:
      C T Φ m σ ( s ) = C T M ( s , μ ) Φ m σ ( s ) + r = 0 μ 1 λ r r ! ( s ) r
26:
                    + C T M ( t , μ β ) Φ m σ ( s ) + r = 0 μ 1 λ r r ! D β ( s r )
27:
                    + C T M ( c s τ , μ ) Φ m σ ( c s τ ) + r = 0 μ 1 λ r r ! ( c s τ ) r
28:
                    + C T M ( c s τ , μ γ ) Φ m σ ( c s τ ) + r = 0 μ 1 λ r r ! D γ ( c s τ r )
29:
    end
30:
end

References

  1. Oldham, K.; Spanier, J. The Fractional Calculus Theory and Applications of Differentiation and Integration to Arbitrary Order; Elsevier: Amsterdam, The Netherlands, 1974. [Google Scholar]
  2. Miller, K.S.; Ross, B. An Introduction to the Fractional Calculus and Fractional Differential Equations; Wiley: Hoboken, NJ, USA, 1993. [Google Scholar]
  3. Kilbas, A.A.; Marichev, O.I.; Samko, S.G. Fractional Integral and Derivatives (Theory and Applications); Taylor & Francis: Oxfordshire, UK, 1993. [Google Scholar]
  4. Machado, J.T.; Kiryakova, V.; Mainardi, F. Recent history of fractional calculus. Commun. Nonlinear Sci. Numer. Simul. 2011, 16, 1140–1153. [Google Scholar] [CrossRef] [Green Version]
  5. Magin, R.L. Fractional calculus in bioengineering, part 1. Crit. Rev. Biomed. Eng. 2004, 32. [Google Scholar] [CrossRef]
  6. Erturk, V.S.; Odibat, Z.M.; Momani, S. An approximate solution of a fractional order differential equation model of human T-cell lymphotropic virus I (HTLV-I) infection of CD4+ T-cells. Comput. Math. Appl. 2011, 62, 996–1002. [Google Scholar] [CrossRef] [Green Version]
  7. Hajipour, M.; Jajarmi, A.; Baleanu, D. An efficient nonstandard finite difference scheme for a class of fractionsal chaotic systems. J. Comput. Nonlinear Dyn. 2018, 13, 021013. [Google Scholar] [CrossRef]
  8. Zabadal, J.; Vilhena, M.; Livotto, P. Simulation of chemical reactions using fractional derivatives. Nuovo Cimento B 2001, 116, 529–545. [Google Scholar]
  9. Mahmudov, N.I. Finite-approximate controllability of evolution equations. Appl. Comput. Math. 2017, 16, 159–167. [Google Scholar]
  10. Liu, D.Y.; Zheng, G.; Boutat, D.; Liu, H.R. Non-asymptotic fractional order differentiator for a class of fractional order linear systems. Automatica 2017, 78, 61–71. [Google Scholar] [CrossRef] [Green Version]
  11. Baillie, R.T. Long memory processes and fractional integration in econometrics. J. Econom. 1996, 73, 5–59. [Google Scholar] [CrossRef]
  12. Oldham, K.B. Fractional differential equations in electrochemistry. Adv. Eng. Softw. 2010, 41, 9–12. [Google Scholar] [CrossRef]
  13. Fallahgoul, H.; Focardi, S.; Fabozzi, F. Fractional Calculus and Fractional Processes with Applications to Financial Economics: Theory and Application; Academic Press: Cambridge, MA, USA, 2016. [Google Scholar]
  14. Carpinteri, A.; Mainardi, F. (Eds.) Fractals and Fractional Calculus in Continuum Mechanics; Springer: Berlin/Heidelberg, Germany, 2014; Volume 378. [Google Scholar]
  15. Bulut, H.; Sulaiman, T.A.; Baskonus, H.M.; Rezazadeh, H.; Eslami, M.; Mirzazadeh, M. Optical solitons and other solutions to the conformable space–time fractional Fokas–Lenells equation. Optik 2018, 172, 20–27. [Google Scholar] [CrossRef]
  16. Rudolf, H. (Ed.) Applications of Fractional Calculus in Physics; World Scientific: Singapore, 2000. [Google Scholar]
  17. Yang, F.; Zhu, K.Q. On the definition of fractional derivatives in rheology. Theor. App. Mech. Lett. 2011, 1, 012007. [Google Scholar] [CrossRef] [Green Version]
  18. Baleanu, D.; Lopes, A.M. (Eds.) Applications in Engineering, Life and Social Sciences; Walter de Gruyter GmbH & Co. KG.: Berlin, Germany, 2019. [Google Scholar]
  19. Mainardi, F. Fractional Calculus and Waves in Linear Viscoelasticity: An Introduction to Mathematical Models; World Scientific: Singapore, 2010. [Google Scholar]
  20. Popolizio, M. Numerical Solution of Multiterm Fractional Differential Equations Using the Matrix Mittag–Leffler Functions. Mathematics 2018, 6, 7. [Google Scholar] [CrossRef] [Green Version]
  21. Podlubny, I. Fractional Differential Equations; AP: New York, NY, USA, 1999. [Google Scholar]
  22. Gao, W.; Veeresha, P.; Prakasha, D.G.; Baskonus, H.M.; Yel, G. New Numerical Results for the Time-Fractional Phi-Four Equation Using a Novel Analytical Approach. Symmetry 2020, 12, 478. [Google Scholar] [CrossRef] [Green Version]
  23. Pitolli, F. A Fractional B-spline Collocation Method for the Numerical Solution of Fractional Predator-Prey Models. Fractal Fract. 2018, 2, 13. [Google Scholar] [CrossRef] [Green Version]
  24. Deng, W. Short memory principle and a predictor-corrector approach for fractional differential equations. J. Comput. Appl. Math. 2007, 206, 174–188. [Google Scholar] [CrossRef] [Green Version]
  25. Sohail, A.; Maqbool, K.; Ellahi, R. Stability analysis for fractional-order partial differential equations by means of space spectral time Adams-Bashforth Moulton method. Numer. Methods Partial Differ. Equ. 2018, 34, 19–29. [Google Scholar] [CrossRef]
  26. Avcı, İ.; Mahmudov, N.I. Numerical Solutions for Multi-Term Fractional Order Differential Equations with Fractional Taylor Operational Matrix of Fractional Integration. Mathematics 2020, 8, 96. [Google Scholar] [CrossRef] [Green Version]
  27. Nemati, S.; Lima, P.M.; Torres, D.F.M. Numerical Solution of Variable-Order Fractional Differential Equations Using Bernoulli Polynomials. Fractal Fract. 2021, 5, 219. [Google Scholar] [CrossRef]
  28. Ertürk, V.S.; Momani, S. Solving systems of fractional differential equations using differential transform method. J. Comput. Appl. Math. 2008, 215, 142–151. [Google Scholar] [CrossRef] [Green Version]
  29. Lanczos, C. Trigonometric interpolation of empirical and analytical functions. J. Math. Phys. 1938, 17, 123–199. [Google Scholar] [CrossRef]
  30. Boyd, J.P. Chebyshev and Fourier Spectral Methods; Courier Corporation: North Chelmsford, MA, USA, 2001. [Google Scholar]
  31. Erneux, T. Applied Delay Differential Equations; Springer Science & Business Media: New York, NY, USA, 2009; Volume 3. [Google Scholar]
  32. Smith, H.L. An Introduction to Delay Differential Equations with Applications to the Life Sciences; Springer: New York, NY, USA, 2011; Volume 57. [Google Scholar]
  33. Bellen, A.; Zennaro, M. Numerical Methods for Delay Differential Equations; Oxford University Press: Oxford, UK, 2013. [Google Scholar]
  34. Huseynov, I.T.; Mahmudov, N.I. A class of Langevin time-delay differential equations with general fractional orders and their applications to vibration theory. J. King Saud Univ. Sci. 2021, 33, 101596. [Google Scholar] [CrossRef]
  35. Aiello, W.G.; Freedman, H.I.; Wu, J. Analysis of a model representing stage-structured population growth with state-dependent time delay. SIAM J. Appl. Math. 1992, 52, 855–869. [Google Scholar] [CrossRef]
  36. Dehghan, M.; Shakeri, F. The use of the decomposition procedure of Adomian for solving a delay differential equation arising in electrodynamics. Phys. Scr. 2008, 78, 065004. [Google Scholar] [CrossRef]
  37. Huseynov, I.T.; Mahmudov, N.I. Delayed analogue of three-parameter Mittag-Leffler functions and their applications to Caputo-type fractional time delay differential equations. Math. Methods Appl. Sci. 2020. [Google Scholar] [CrossRef]
  38. Huseynov, I.T.; Mahmudov, N.I. Analysis of positive fractional-order neutral time-delay systems. J. Franklin Inst. 2021. [Google Scholar] [CrossRef]
  39. Li, C.; Zhang, F. A survey on the stability of fractional differential equations. Eur. Phys. J. Spec. Top. 2011, 193, 27–47. [Google Scholar] [CrossRef]
  40. Bohner, M.; Tunç, O.; Tunç, C. Qualitative analysis of Caputo fractional integro-differential equations with constant delays. Comput. Appl. Math. 2021, 40, 214. [Google Scholar] [CrossRef]
  41. Ahmadova, A.; Huseynov, I.T.; Mahmudov, N.I. Controllability of fractional stochastic delay dynamical systems. arXiv 2020, arXiv:2009.10654. [Google Scholar]
  42. Yuttanan, B.; Razzaghi, M.; Vo, T.N. Legendre wavelet method for fractional delay differential equations. Appl. Numer. Math. 2021, 168, 127–142. [Google Scholar] [CrossRef]
  43. Ali, K.K.; El Salam, M.A.A.; Mohamed, E.M. Chebyshev operational matrix for solving fractional order delay-differential equations using spectral collocation method. Arab. J. Basic Appl. Sci. 2019, 26, 342–353. [Google Scholar] [CrossRef] [Green Version]
  44. Rahimkhani, P.; Ordokhani, Y.; Babolian, E. A new operational matrix based on Bernoulli wavelets for solving fractional delay differential equations. Numer. Algorithms 2017, 74, 223–245. [Google Scholar] [CrossRef]
  45. Hafez, R.M.; Youssri, Y.H. Shifted Gegenbauer–Gauss collocation method for solving fractional neutral functional-differential equations with proportional delays. Kragujev. J. Math. 2022, 46, 2022. [Google Scholar]
  46. Amin, R.; Shah, K.; Asif, M.; Khan, I. A computational algorithm for the numerical solution of fractional order delay differential equations. Appl. Math. Comput. 2021, 402, 125863. [Google Scholar] [CrossRef]
  47. Syam, M.I.; Sharadga, M.; Hashim, I. A numerical method for solving fractional delay differential equations based on the operational matrix method. Chaos Solitons Fractals 2021, 147, 110977. [Google Scholar] [CrossRef]
  48. Brunner, H.; Huang, Q.; Xie, H. Discontinuous Galerkin methods for delay differential equations of pantograph type. SIAM J. Numer. Anal. 2010, 48, 1944–1967. [Google Scholar] [CrossRef]
  49. Nemati, S.; Lima, P.; Sedaghat, S. An effective numerical method for solving fractional pantograph differential equations using modification of hat functions. Appl. Numer. Math. 2018, 131, 174–189. [Google Scholar] [CrossRef]
  50. Canuto, C.; Hussaini, M.; Quarteroni, A.; Zang, T. Spectral Methods in Fluid Dynamics; Springer: Berlin/Heidelberg, Germany, 1988. [Google Scholar]
  51. Krishnasamy, V.S.; Mashayekhi, S.; Razzaghi, M. Numerical solutions of fractional differential equations by using fractional Taylor basis. IEEE/CAA J. Autom. Sin. 2017, 4, 98–106. [Google Scholar] [CrossRef]
  52. Odibat, Z.M.; Momani, S. An algorithm for the numerical solution of differential equations of fractional order. J. Appl. Math. Inform. 2008, 26, 15–27. [Google Scholar]
  53. Wang, L.P.; Chen, Y.M.; Liu, D.Y.; Boutat, D. Numerical solutions of generalized fractional pantograph equations with variable coefficients using shifted Chebyshev polynomials. Int. J. Comput. Math. 2019, 96, 2487–2510. [Google Scholar] [CrossRef]
  54. Singh, H. Numerical simulation for fractional delay differential equations. Int. J. Dyn. Control 2021, 9, 463–474. [Google Scholar] [CrossRef]
  55. Morgado, M.L.; Ford, N.J.; Lima, P.M. Analysis and numerical methods for fractional differential equations with delay. J. Comput. Appl. Math. 2013, 252, 159–168. [Google Scholar] [CrossRef]
  56. Garrappa, R. Numerical solution of fractional differential equations: A survey and a software tutorial. Mathematics 2018, 6, 16. [Google Scholar] [CrossRef] [Green Version]
Figure 1. The comparison between the exact solution and the approximate solutions obtained for the various values of μ .
Figure 1. The comparison between the exact solution and the approximate solutions obtained for the various values of μ .
Fractalfract 06 00010 g001
Figure 2. The acquired absolute error of Example 1 for μ = 3 and m = 8 .
Figure 2. The acquired absolute error of Example 1 for μ = 3 and m = 8 .
Fractalfract 06 00010 g002
Figure 3. The graphical comparison of absolute errors acquired by our method, CPM, SCM and BWM, respectively.
Figure 3. The graphical comparison of absolute errors acquired by our method, CPM, SCM and BWM, respectively.
Fractalfract 06 00010 g003
Figure 4. The behaviour of approximate and exact solutions for Example 2 with τ = 0.01 .
Figure 4. The behaviour of approximate and exact solutions for Example 2 with τ = 0.01 .
Fractalfract 06 00010 g004
Figure 5. Acquired absolute error of Example 2 for τ = 0.01 .
Figure 5. Acquired absolute error of Example 2 for τ = 0.01 .
Fractalfract 06 00010 g005
Figure 6. The behaviour of approximate and the exact solutions for Example 2 with τ = 0.001 .
Figure 6. The behaviour of approximate and the exact solutions for Example 2 with τ = 0.001 .
Fractalfract 06 00010 g006
Figure 7. The absolute error of the approximate solution for Example 2 with τ = 0.001 .
Figure 7. The absolute error of the approximate solution for Example 2 with τ = 0.001 .
Fractalfract 06 00010 g007
Figure 8. The behaviour of the approximate solutions for Example 2 with different τ values.
Figure 8. The behaviour of the approximate solutions for Example 2 with different τ values.
Fractalfract 06 00010 g008
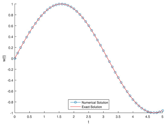
Figure 9. The behaviour of approximate and the exact solutions for Example 3.
Figure 9. The behaviour of approximate and the exact solutions for Example 3.
Fractalfract 06 00010 g009
Figure 10. The behaviour of absolute error for Example 3.
Figure 10. The behaviour of absolute error for Example 3.
Fractalfract 06 00010 g010
Figure 11. The compared results of the approximate and exact solutions for Example 4.
Figure 11. The compared results of the approximate and exact solutions for Example 4.
Fractalfract 06 00010 g011
Figure 12. The acquired absolute error of the approximate solution for Example 4.
Figure 12. The acquired absolute error of the approximate solution for Example 4.
Fractalfract 06 00010 g012
Figure 13. The demonstration of the approximate and exact solutions for Example 5.
Figure 13. The demonstration of the approximate and exact solutions for Example 5.
Fractalfract 06 00010 g013
Figure 14. The demonstration of the absolute error for Example 5.
Figure 14. The demonstration of the absolute error for Example 5.
Fractalfract 06 00010 g014
Figure 15. The compared results of the approximate and exact solutions for Example 5 where t [ 0 , 7 ] .
Figure 15. The compared results of the approximate and exact solutions for Example 5 where t [ 0 , 7 ] .
Fractalfract 06 00010 g015
Figure 16. The absolute error of Example 5 for t [ 0 , 7 ] .
Figure 16. The absolute error of Example 5 for t [ 0 , 7 ] .
Fractalfract 06 00010 g016
Figure 17. The compared results of the approximate and exact solutions for Example 6 in the interval t [ 0 , 1 ] .
Figure 17. The compared results of the approximate and exact solutions for Example 6 in the interval t [ 0 , 1 ] .
Fractalfract 06 00010 g017
Figure 18. The absolute error of Example 6 for t [ 0 , 1 ] .
Figure 18. The absolute error of Example 6 for t [ 0 , 1 ] .
Fractalfract 06 00010 g018
Figure 19. The compared results of the approximate and exact solutions for Example 6 when c = 1 / 10 in the interval t [ 0 , 5 ] .
Figure 19. The compared results of the approximate and exact solutions for Example 6 when c = 1 / 10 in the interval t [ 0 , 5 ] .
Fractalfract 06 00010 g019
Figure 20. The demonstration of the approximate and exact solutions for Example 6 in the interval t [ 0 , 8 ] .
Figure 20. The demonstration of the approximate and exact solutions for Example 6 in the interval t [ 0 , 8 ] .
Fractalfract 06 00010 g020
Figure 21. The absolute error of Example 6 for t [ 0 , 8 ] .
Figure 21. The absolute error of Example 6 for t [ 0 , 8 ] .
Fractalfract 06 00010 g021
Figure 22. The demonstration of the exact and approximate solutions for Example 6 with different m values where t [ 0 , 8 ] .
Figure 22. The demonstration of the exact and approximate solutions for Example 6 with different m values where t [ 0 , 8 ] .
Fractalfract 06 00010 g022
Table 1. The absolute error results obtained by the proposed method and SCPM [53] with m = 6 , 8 .
Table 1. The absolute error results obtained by the proposed method and SCPM [53] with m = 6 , 8 .
tPresent MethodSCPMPresent MethodSCPM
m = 6 m = 6 m = 8 m = 8
0.2 3.62  ×  10 13 5.18  ×  10 7 2.91  ×  10 17 1.45  ×  10 9
0.4 2.19  ×  10 12 1.93  ×  10 6 1.24  ×  10 16 5.24  ×  10 8
0.6 6.12  ×  10 12 3.27  ×  10 6 4.17  ×  10 16 1.21  ×  10 8
0.8 1.02  ×  10 11 5.34  ×  10 6 9.95  ×  10 16 2.13  ×  10 8
1 3.21  ×  10 11 8.62  ×  10 6 1.94  ×  10 15 3.29  ×  10 8
Table 2. The comparison of the absolute error results between our method and the CPM [54], SCM [43], and BWM [44] for τ = 0.01 .
Table 2. The comparison of the absolute error results between our method and the CPM [54], SCM [43], and BWM [44] for τ = 0.01 .
tPresent MethodCPMSCMBWM
00000
0.2 3.467  ×  10 16 1.196  ×  10 14 7.586  ×  10 14 8.218  ×  10 14
0.4 2.356  ×  10 16 1.638  ×  10 15 3.908  ×  10 14 1.113  ×  10 16
0.6 3.467  ×  10 16 7.299  ×  10 15 1.452  ×  10 14 5.157  ×  10 14
0.8 9.692  ×  10 17 4.941  ×  10 15 7.960  ×  10 14 3.235  ×  10 14
10000
Table 3. The absolute error results obtained by the proposed method and the method of [44] where τ = 0.001 .
Table 3. The absolute error results obtained by the proposed method and the method of [44] where τ = 0.001 .
tPresent MethodBWM
0.2 2.92  ×  10 16 1.94  ×  10 16
0.4 2.64  ×  10 16 3.33  ×  10 16
0.6 1.81  ×  10 16 8.60  ×  10 14
0.8 2.08  ×  10 16 8.57  ×  10 14
100
Table 4. Absolute error and relative error results for Example 3 with m = 4 , σ = 1 / 2 .
Table 4. Absolute error and relative error results for Example 3 with m = 4 , σ = 1 / 2 .
tAbsolute ErrorRelative Error
0 1.26  ×  10 17
0.2 3.47  ×  10 17 8.67  ×  10 16
0.4 1.38  ×  10 16 8.67  ×  10 16
0.6 1.11  ×  10 16 3.08  ×  10 16
0.8 1.11  ×  10 16 1.73  ×  10 16
1 2.22  ×  10 16 2.22  ×  10 16
Table 5. Comparison of the maximum absolute errors between the present method, the HWCT [46], and the FBDM [55].
Table 5. Comparison of the maximum absolute errors between the present method, the HWCT [46], and the FBDM [55].
Present Method for m = 4 , σ = 1 / 2 HWCT for N = 2048 FBDM for N = 640
3.40  ×  10 16 8.41  ×  10 7 9.81  ×  10 4
Table 6. Comparison of the absolute errors between the present method and the MOMM [47].
Table 6. Comparison of the absolute errors between the present method and the MOMM [47].
tPresent Method for m = 4 , σ = 1 / 2 MOMM for n = 20
000
0.2 1.4  ×  10 16 1.5  ×  10 12
0.40 1.7  ×  10 12
0.6 2.2  ×  10 16 1.8  ×  10 12
0.8 4.4  ×  10 16 2.0  ×  10 12
1 2.2  ×  10 16 2.1  ×  10 12
Table 7. The compared results for the acquired absolute errors between the present method and the SGGC [45].
Table 7. The compared results for the acquired absolute errors between the present method and the SGGC [45].
tPresent Method for m = 4 , σ = 1 SGGC for n = 16
0 1.581  ×  10 17 4.609  ×  10 16
0.1 6.482  ×  10 17 6.161  ×  10 6
0.2 2.082  ×  10 16 3.563  ×  10 5
0.3 4.857  ×  10 16 9.834  ×  10 5
0.4 9.333  ×  10 16 2.028  ×  10 4
0.5 1.589  ×  10 15 3.579  ×  10 3
0.6 2.498  ×  10 15 5.777  ×  10 4
0.7 3.636  ×  10 15 8.657  ×  10 4
0.8 4.330  ×  10 15 1.227  ×  10 3
0.9 6.883  ×  10 15 1.671  ×  10 3
1 9.104  ×  10 15 2.071  ×  10 3
Table 8. The results for the absolute errors of the approximate solutions provided by the present method and the methods of [42,44,49].
Table 8. The results for the absolute errors of the approximate solutions provided by the present method and the methods of [42,44,49].
tPresent MethodBernoulliLegendreSpectral method
m = 6 k = 2 , M 1 = 6 k = 2 , M = 8 n = 40
00 5.93  ×  10 9 00
0.2 5.55  ×  10 17 2.27  ×  10 10 7.82  ×  10 10 1.97  ×  10 10
0.4 1.66  ×  10 16 1.22  ×  10 9 7.02  ×  10 10 5.36  ×  10 11
0.60 5.57  ×  10 6 1.94  ×  10 9 3.29  ×  10 10
0.8 2.23  ×  10 16 4.56  ×  10 6 1.64  ×  10 9 9.01  ×  10 10
Publisher’s Note: MDPI stays neutral with regard to jurisdictional claims in published maps and institutional affiliations.

Share and Cite

MDPI and ACS Style

Avcı , İ. Numerical Simulation of Fractional Delay Differential Equations Using the Operational Matrix of Fractional Integration for Fractional-Order Taylor Basis. Fractal Fract. 2022, 6, 10. https://doi.org/10.3390/fractalfract6010010

AMA Style

Avcı  İ. Numerical Simulation of Fractional Delay Differential Equations Using the Operational Matrix of Fractional Integration for Fractional-Order Taylor Basis. Fractal and Fractional. 2022; 6(1):10. https://doi.org/10.3390/fractalfract6010010

Chicago/Turabian Style

Avcı , İbrahim. 2022. "Numerical Simulation of Fractional Delay Differential Equations Using the Operational Matrix of Fractional Integration for Fractional-Order Taylor Basis" Fractal and Fractional 6, no. 1: 10. https://doi.org/10.3390/fractalfract6010010

APA Style

Avcı , İ. (2022). Numerical Simulation of Fractional Delay Differential Equations Using the Operational Matrix of Fractional Integration for Fractional-Order Taylor Basis. Fractal and Fractional, 6(1), 10. https://doi.org/10.3390/fractalfract6010010

Article Metrics

Back to TopTop