Fractional-Order Modelling and Optimal Control of Cholera Transmission
Abstract
:1. Introduction
2. Fractional-Order Cholera Model
3. Main Results
3.1. Sensitivity Analysis
3.2. Fractional Optimal Control of the Model
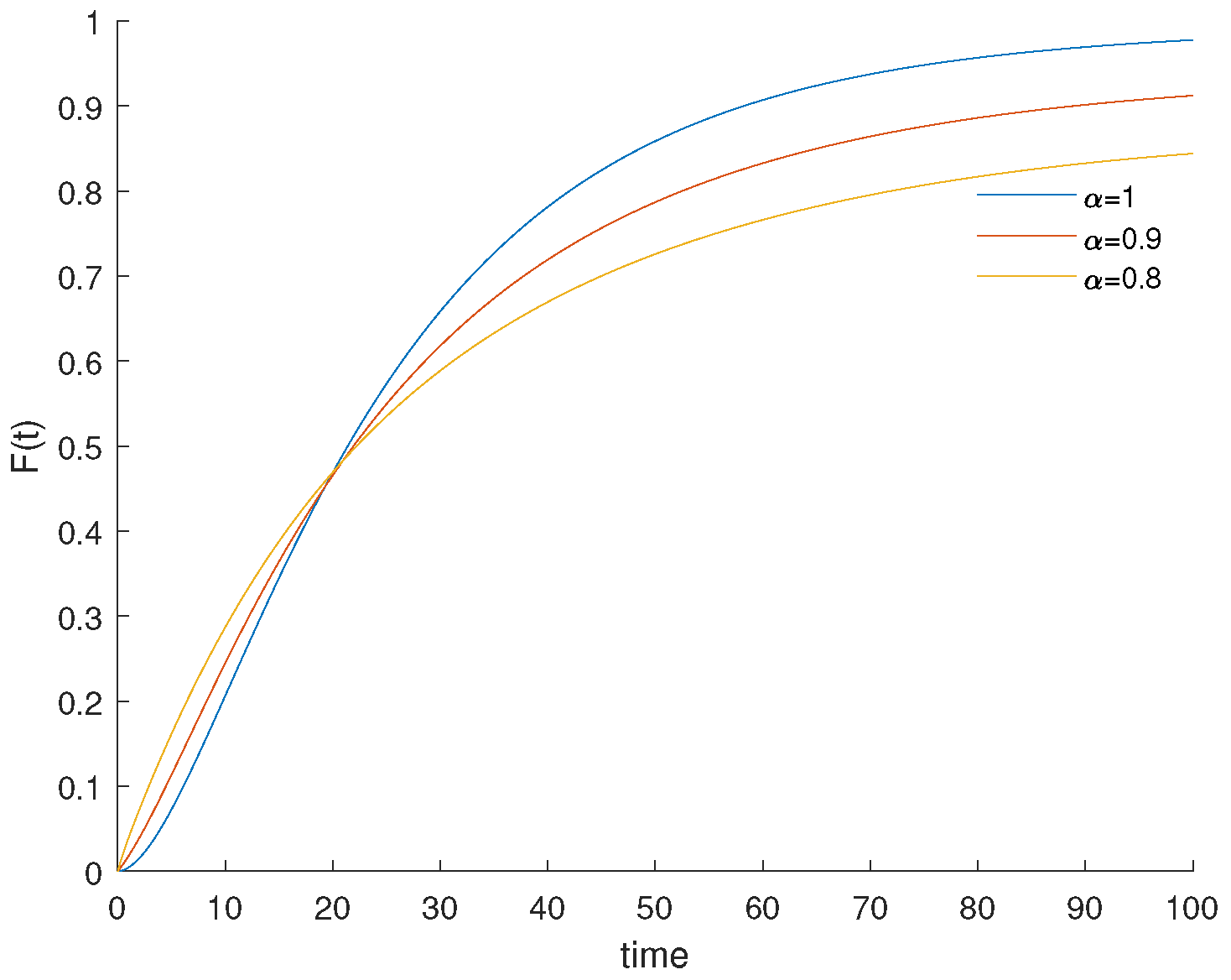
3.3. Numerical Results and Cost-Effectiveness Analysis
3.3.1. Optimal Control Strategies and Cost-Effectiveness Analysis
- strategy A—implementing the vaccination control, v;
- strategy B—implementing proper hygiene control, m;
- strategy C—implementing both controls, v and m.
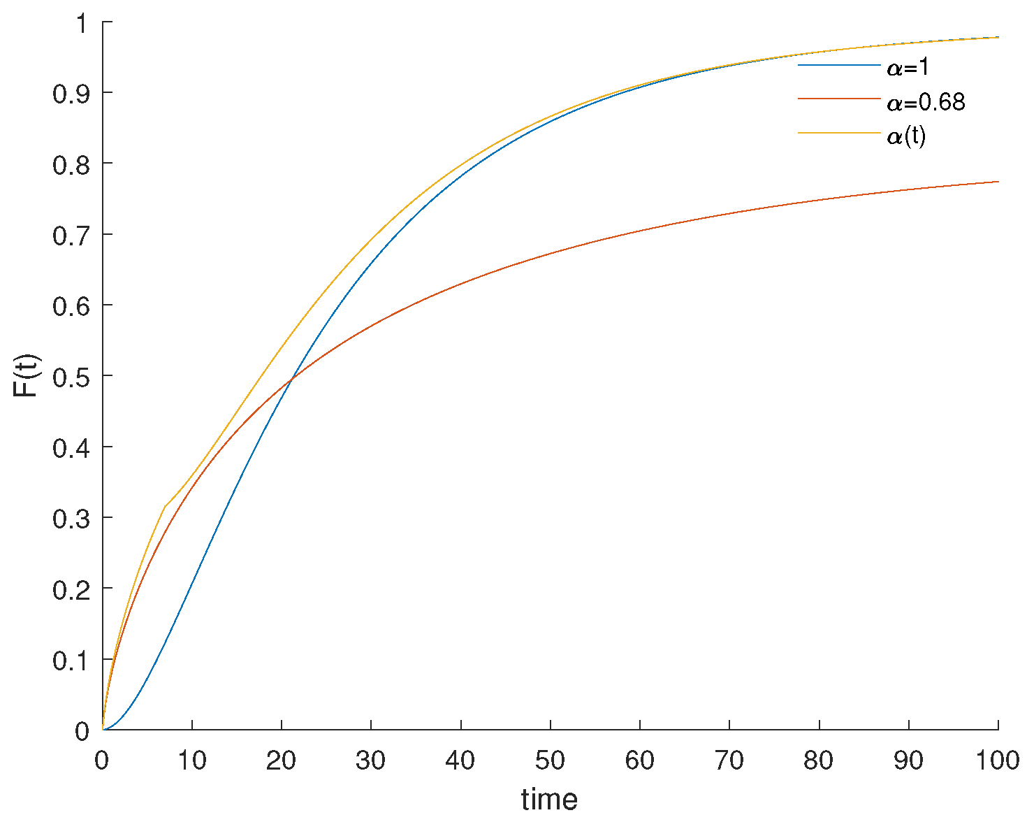
3.3.2. The Variable-Order FractInt System
4. Conclusions
Author Contributions
Funding
Institutional Review Board Statement
Informed Consent Statement
Data Availability Statement
Acknowledgments
Conflicts of Interest
References
- Podlubny, I. Fractional Differential Equations; Mathematics in Science and Engineering; Academic Press, Inc.: San Diego, CA, USA, 1999; Volume 198. [Google Scholar]
- Arqub, O.A. Computational algorithm for solving singular Fredholm time-fractional partial integrodifferential equations with error estimates. J. Appl. Math. Comput. 2019, 59, 227–243. [Google Scholar] [CrossRef]
- Djennadi, S.; Shawagfeh, N.; Abu Arqub, O. A fractional Tikhonov regularization method for an inverse backward and source problems in the time-space fractional diffusion equations. Chaos Solitons Fractals 2021, 150, 111127. [Google Scholar] [CrossRef]
- Mukandavire, Z.; Liao, S.; Wang, J.; Gaff, H.; Smith, D.L.; Morris, J.G. Estimating the reproductive numbers for the 2008–2009 Cholera outbreaks in Zimbabwe. Proc. Natl. Acad. Sci. USA 2011, 108, 8767–8772. [Google Scholar] [CrossRef] [Green Version]
- Lemos-Paião, A.P.; Silva, C.J.; Torres, D.F.M. An epidemic model for cholera with optimal control treatment. J. Comput. Appl. Math. 2017, 318, 168–180. [Google Scholar] [CrossRef] [Green Version]
- Lemos-Paião, A.P.; Silva, C.J.; Torres, D.F.M. A cholera mathematical model with vaccination and the biggest outbreak of world’s history. AIMS Math. 2018, 3, 448–463. [Google Scholar] [CrossRef]
- Lemos-Paião, A.P.; Silva, C.J.; Torres, D.F.M.; Venturino, E. Optimal control of aquatic diseases: A case study of Yemen’s cholera outbreak. J. Optim. Theory Appl. 2020, 185, 1008–1030. [Google Scholar] [CrossRef]
- Codeço, C.T. Endemic and epidemic dynamics of Cholera: The role of the aquatic reservoir. BMC Infect. Diseases 2001, 1, 14. [Google Scholar] [CrossRef] [PubMed] [Green Version]
- Capasso, V.; Paveri-Fontana, S. Mathematical model for the 1973 Cholera epidemic in the european mediterranean region. Revue d’Epidemiologie et de Sante Publique 1979, 27, 121–132. [Google Scholar]
- Njagarah, J.B.H.; Tabi, C.B. Spatial synchrony in fractional order metapopulation Cholera transmission. Chaos Solitons Fractals 2018, 117, 37–49. [Google Scholar] [CrossRef]
- Njagarah, J.B.H.; Nyabadza, F. Modelling optimal control of Cholera in communities linked by migration. Comput. Math. Methods Med. 2015, 2015, 898264. [Google Scholar] [CrossRef] [PubMed]
- RNeilan, L.M.; Schaefer, E.; Gaff, H.; Fister, K.R.; Lenhart, S. Modeling optimal intervention strategies for Cholera. Bull. Math. Biol. 2010, 72, 2004–2018. [Google Scholar]
- Boukhouima, A.; Lotfi, E.M.; Mahrouf, M.; Rosa, S.; Torres, D.F.M.; Yousfi, N. Stability analysis and optimal control of a fractional HIV-AIDS epidemic model with memory and general incidence rate. Eur. Phys. J. Plus 2021, 136, 1–20. [Google Scholar] [CrossRef]
- Ndaïrou, F.; Torres, D.F.M. Mathematical analysis of a fractional COVID-19 model applied to Wuhan, Spain and Portugal. Axioms 2021, 10, 135. [Google Scholar] [CrossRef]
- Ammi, M.R.S.; Tahiri, M.; Torres, D.F.M. Global stability of a Caputo fractional SIRS model with general incidence rate. Math. Comput. Sci. 2021, 15, 91–105. [Google Scholar] [CrossRef] [Green Version]
- Rosa, S.; Torres, D.F.M. Optimal control of a fractional order epidemic model with application to human respiratory syncytial virus infection. Chaos Solitons Fractals 2018, 117, 142–149. [Google Scholar] [CrossRef] [Green Version]
- Almeida, R. Analysis of a fractional SEIR model with treatment. Appl. Math. Lett. 2018, 84, 56–62. [Google Scholar] [CrossRef]
- Carvalho, A.R.M.; Pinto, C.M.A. Immune response in HIV epidemics for distinct transmission rates and for saturated CTL response. Math. Model. Nat. Phenom. 2019, 14, 307. [Google Scholar] [CrossRef]
- van den Driessche, P.; Watmough, J. Reproduction numbers and sub-threshold endemic equilibria for compartmental models of disease transmission. Math. Biosci. 2002, 180, 29–48. [Google Scholar] [CrossRef]
- Statistics South Africa. Community Survey 2016 Provincial Profile: Kwazulu Natal. 2016. Available online: http://cs2016.statssa.gov.za/wp-content/uploads/2018/07/KZN.pdf (accessed on 23 July 2019).
- Jamison, D.T.; Feachem, R.G.; Makgoba, M.W.; Bos, E.R.; Baingana, F.K.; Hofman, K.J.; Rogo, K.O. (Eds.) Disease and Mortality in Sub-Saharan Africa; World Bank Publications: Washington, DC, USA, 2006. [Google Scholar]
- Kumate, J.; Sepúlveda, J.; Gutiérrez, G. Cholera epidemiology in latin america and perspectives for eradication. Bull. l’Institut Pasteur 1998, 96, 217–226. [Google Scholar] [CrossRef]
- King, A.A.; Ionides, E.L.; Pascual, M.; Bouma, M.J. Inapparent infections and Cholera dynamics. Nature 2008, 454, 877–880. [Google Scholar] [CrossRef] [PubMed]
- Hartley, D.M.; Morris, J.G., Jr.; Smith, D.L. Hyperinfectivity: A critical element in the ability of v. cholerae to cause epidemics? PLoS Med. 2005, 3, 7. [Google Scholar] [CrossRef] [PubMed]
- Mukandavire, Z.; Tripathi, A.; Chiyaka, C.; Musuka, G.; Nyabadza, F.; Mwambi, H. Modelling and analysis of the intrinsic dynamics of Cholera. Differ. Equ. Dyn. Syst. 2011, 19, 253–265. [Google Scholar] [CrossRef]
- Munro, P.M.; Colwell, R.R. Fate of vibrio Cholerae o1 in seawater microcosms. Water Res. 1996, 30, 47–50. [Google Scholar] [CrossRef]
- Chitnis, N.; Hyman, J.M.; Cushing, J.M. Determining important parameters in the spread of malaria through the sensitivity analysis of a mathematical model. Bull. Math. Biol. 2008, 70, 1272–1296. [Google Scholar] [CrossRef] [PubMed]
- Rodrigues, H.S.; Monteiro, M.T.T.; Torres, D.F.M. Sensitivity analysis in a dengue epidemiological model. Conf. Pap. Math. 2013, 2013, 721406. [Google Scholar] [CrossRef]
- Mikucki, M.A. Sensitivity Analysis of the Basic Reproduction Number and Other Quantities for Infectious Disease Models. Ph.D. Thesis, Colorado State University, Fort Collins, CO, USA, 2012. [Google Scholar]
- Arqub, O.A.; Shawagfeh, N. Solving optimal control problems of Fredholm constraint optimality via the reproducing kernel Hilbert space method with error estimates and convergence analysis. Math. Methods Appl. Sci. 2021, 44, 7915–7932. [Google Scholar] [CrossRef]
- Abraha, T.; al Basir, F.; Obsu, L.L.; Torres, D.F.M. Farming awareness based optimum interventions for crop pest control. Math. Biosci. Eng. 2021, 18, 5364–5391. [Google Scholar] [CrossRef] [PubMed]
- Almeida, R.; Pooseh, S.; Torres, D.F.M. Computational Methods in the Fractional Calculus of Variations; Imperial College Press: London, UK, 2015. [Google Scholar]
- Bergounioux, M.; Bourdin, L. Pontryagin maximum principle for general Caputo fractional optimal control problems with Bolza cost and terminal constraints. ESAIM Control Optim. Calc. Var. 2020, 26, 35. [Google Scholar] [CrossRef]
- Panja, P. Optimal Control Analysis of a Cholera Epidemic Model. Biophys. Rev. Lett. 2019, 14, 27–48. [Google Scholar] [CrossRef] [Green Version]
- Arqub, O.A.; Rashaideh, H. The RKHS method for numerical treatment for integrodifferential algebraic systems of temporal two-point BVPs. Neural Comput. Appl. 2018, 30, 2595–2606. [Google Scholar] [CrossRef]
- Diethelm, K.; Ford, N.J.; Freed, A.D.; Luchko, Y. Algorithms for the fractional calculus: A selection of numerical methods. Comput. Methods Appl. Mech. Eng. 2005, 194, 743–773. [Google Scholar] [CrossRef] [Green Version]
- Rodrigues, P.; Silva, C.J.; Torres, D.F.M. Cost-effectiveness analysis of optimal control measures for tuberculosis. Bull. Math. Biol. 2014, 76, 2627–2645. [Google Scholar] [CrossRef] [PubMed]
- Okosun, K.O.; Rachid, O.; Marcus, N. Optimal control strategies and cost-effectiveness analysis of a malaria model. BioSystems 2013, 111, 83–101. [Google Scholar] [CrossRef] [PubMed]
- Almeida, R.; Tavares, D.; Torres, D.F.M. The Variable-Order Fractional Calculus of Variations; Springer: Cham, Switzerland, 2019. [Google Scholar]











| Parameter | Value | Source |
|---|---|---|
| 0.00125 | [10] | |
| 0.0125 | [10] | |
| K | [8] | |
| [20,21] | ||
| 0.0125 | [12,22] | |
| 0.045 | [12,22] | |
| 0.045 | [12,23] | |
| 0.035 | [12,23] | |
| 1.06 | [8,24,25,26] | |
| 0.73 | [10] | |
| 0.102 | – | |
| 50 | [10] |
| Parameter | Parameter | Parameter | |||
| 0.500 | |||||
| 0.999 | K | ||||
| 0.454 | |||||
| Parameter | Parameter | Parameter | |||
| 0.500 | |||||
| 0.999 | K | ||||
| 0.545 | |||||
| 0.53144 | 0.001997 | 0.01028 | 0.30254 | 0.44222 | 0.002380 | 0.01082 | 0.36065 |
| 1.0 | 0.316716 | 0.90049 | 2.84322 | 0.723582 |
| 0.9 | 0.297175 | 1.17595 | 3.95708 | 0.678938 |
| 0.8 | 0.280311 | 1.35978 | 4.85099 | 0.640408 |
| Strategies | ICER | |||
|---|---|---|---|---|
| B | 0.038888 | 0.0084106 | 0.216276 | 0.216276 |
| A | 0.316411 | 0.900865 | 2.84713 | 3.2157877 |
| C | 0.316716 | 0.900494 | 2.84322 |
| ICER | |||
|---|---|---|---|
| 1.0 | 0.038888 | 0.0084106 | 0.216276 |
| 0.9 | 0.147496 | 0.003549 | |
| 0.8 | 0.203782 | 0.001705 | |
| 0.68 | 0.237211 | 0.000845 |
Publisher’s Note: MDPI stays neutral with regard to jurisdictional claims in published maps and institutional affiliations. |
© 2021 by the authors. Licensee MDPI, Basel, Switzerland. This article is an open access article distributed under the terms and conditions of the Creative Commons Attribution (CC BY) license (https://creativecommons.org/licenses/by/4.0/).
Share and Cite
Rosa, S.; Torres, D.F.M. Fractional-Order Modelling and Optimal Control of Cholera Transmission. Fractal Fract. 2021, 5, 261. https://doi.org/10.3390/fractalfract5040261
Rosa S, Torres DFM. Fractional-Order Modelling and Optimal Control of Cholera Transmission. Fractal and Fractional. 2021; 5(4):261. https://doi.org/10.3390/fractalfract5040261
Chicago/Turabian StyleRosa, Silvério, and Delfim F. M. Torres. 2021. "Fractional-Order Modelling and Optimal Control of Cholera Transmission" Fractal and Fractional 5, no. 4: 261. https://doi.org/10.3390/fractalfract5040261
APA StyleRosa, S., & Torres, D. F. M. (2021). Fractional-Order Modelling and Optimal Control of Cholera Transmission. Fractal and Fractional, 5(4), 261. https://doi.org/10.3390/fractalfract5040261
