Quasi-Projective Synchronization of Distributed-Order Recurrent Neural Networks
Abstract
:1. Introduction
2. Model Description and Preliminaries
3. Main Results
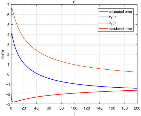
4. Numerical Simulation Examples
5. Conclusions
Author Contributions
Funding
Institutional Review Board Statement
Informed Consent Statement
Data Availability Statement
Acknowledgments
Conflicts of Interest
References
- Machado, J.T.; Kiryakova, V.; Mainardi, F. Recent history of fractional calculus. Commun. Nonlinear Sci. Numer. Simul. 2011, 16, 1140–1153. [Google Scholar] [CrossRef] [Green Version]
- Uchaikin, V.V. Fractional Derivatives for Physicists and Engineers; Springer: Berlin/Heidelberg, Germany, 2013; Volume 2. [Google Scholar]
- Baleanu, D.; Güvenç, Z.B.; Machado, J.T. New Trends in Nanotechnology and Fractional Calculus Applications; Springer: Berlin/Heidelberg, Germany, 2010. [Google Scholar]
- Engheia, N. On the role of fractional calculus in electromagnetic theory. IEEE Antennas Propag. Mag. 1997, 39, 35–46. [Google Scholar] [CrossRef]
- Heymans, N.; Bauwens, J.-C. Fractal rheological models and fractional differential equations for viscoelastic behavior. Rheol. Acta 1994, 33, 210–219. [Google Scholar] [CrossRef]
- Kempfle, S.; Schäfer, I.; Beyer, H. Fractional calculus via functional calculus: Theory and applications. Nonlinear Dyn. 2002, 29, 99–127. [Google Scholar] [CrossRef]
- Machado, J.T.; Jesus, I.S.; Galhano, A.; Cunha, J.B. Fractional order electromagnetics. Signal Process. 2006, 86, 2637–2644. [Google Scholar] [CrossRef] [Green Version]
- Mainardi, F. Fractional relaxation-oscillation and fractional diffusion-wave phenomena. Chaos Solitons Fractals 1996, 7, 1461–1477. [Google Scholar] [CrossRef]
- Caputo, M. Mean fractional-order-derivatives differential equations and filters. Ann. Dellniversita Ferrara 1995, 41, 73–84. [Google Scholar]
- Atanacković, T.M.; Oparnica, L.; Pilipović, S. On a nonlinear distributed order fractional differential equation. J. Math. Anal. Appl. 2007, 328, 590–608. [Google Scholar] [CrossRef]
- Chen, W.; Sun, H.; Zhang, X.; Korošak, D. Anomalous diffusion modeling by fractal and fractional derivatives. Comput. Math. Appl. 2010, 59, 1754–1758. [Google Scholar] [CrossRef] [Green Version]
- Sun, H.; Chen, W.; Sheng, H.; Chen, Y. On mean square displacement behaviors of anomalous diffusions with variable and random orders. Phys. Lett. A 2010, 374, 906–910. [Google Scholar] [CrossRef]
- Xu, M.; Tan, W. Intermediate processes and critical phenomena: Theory, method and progress of fractional operators and their applications to modern mechanics. Sci. China Ser. G 2006, 49, 257–272. [Google Scholar] [CrossRef]
- Atanackovic, T.; Budincevic, M.; Pilipovic, S. On a fractional distributed-order oscillator. J. Phys. A Math. Gen. 2005, 38, 6703. [Google Scholar] [CrossRef]
- Diethelm, K.; Ford, N.J. Numerical solution methods for distributed order differential equations. Fract. Calc. Appl. Anal. 2001, 4, 531–542. [Google Scholar]
- Diethelm, K.; Ford, N.J. Numerical analysis for distributed-order differential equations. J. Comput. Appl. Math. 2009, 225, 96–104. [Google Scholar] [CrossRef] [Green Version]
- Lu, J.; Ho, D.W. Stabilization of complex dynamical networks with noise disturbance under performance constraint. Nonlinear Anal. Real World Appl. 2011, 12, 1974–1984. [Google Scholar] [CrossRef]
- Song, Q.; Long, L.; Zhao, Z.; Liu, Y.; Alsaadi, F.E. Stability criteria of quaternion-valued neutral-type delayed neural networks. Neurocomputing 2020, 412, 287–294. [Google Scholar] [CrossRef]
- Sun, C.; He, W.; Ge, W.; Chang, C. Adaptive neural network control of biped robots. IEEE Trans. Syst. Man Cybern. Syst. 2016, 47, 315–326. [Google Scholar] [CrossRef]
- Yang, R.; Wu, B.; Liu, Y. A halanay-type inequality approach to the stability analysis of discrete-time neural networks with delays. Appl. Math. Comput. 2015, 265, 696–707. [Google Scholar] [CrossRef]
- Zeng, Z.; Wang, J. Design and analysis of high-capacity associative memories based on a class of discrete-time recurrent neural networks. IEEE Trans. Syst. Man Cybern. Part B 2008, 38, 1525–1536. [Google Scholar] [CrossRef]
- Zhang, W.; Tang, Y.; Miao, Q.; Du, W. Exponential synchronization of coupled switched neural networks with mode-dependent impulsive effects. IEEE Trans. Neural Netw. Learn. Syst. 2013, 24, 1316–1326. [Google Scholar] [CrossRef]
- Lundstrom, B.N.; Higgs, M.H.; Spain, W.J.; Fairhall, A.L. Fractional differentiation by neocortical pyramidal neurons. Nat. Neurosci. 2008, 11, 1335. [Google Scholar] [CrossRef]
- Liu, P.; Zeng, Z.; Wang, J. Multiple mittag–leffler stability of fractional-order recurrent neural networks. IEEE Trans. Syst. Man Cybern. Syst. 2017, 47, 2279–2288. [Google Scholar] [CrossRef]
- Chen, J.J.; Zeng, Z.G.; Jiang, P. Global Mittag-Leffler stability and synchronization of memristor-based fractional-order neural networks. Neural Netw. 2014, 51, 1–8. [Google Scholar] [CrossRef]
- Wang, W.; Qiao, Y.; Miao, J.; Duan, L. Dynamic analysis of fractional-order recurrent neural network with caputo derivative. Int. J. Bifurc. Chaos 2017, 27, 1750181. [Google Scholar] [CrossRef]
- Fei, J.; Wang, H. Recurrent neural network fractional-order sliding mode control of dynamic systems. J. Frankl. Inst. 2020, 357, 4574–4591. [Google Scholar] [CrossRef]
- Boccaletti, S.; Kurths, J.; Osipov, G.; Valladares, D.; Zhou, C. The synchronization of chaotic systems. Phys. Rep. 2002, 366, 1–101. [Google Scholar] [CrossRef]
- Chen, G.; Dong, X. From Chaos to Order: Methodologies, Perspectives and Applications; World Scientific: Singapore, 1998; Volume 24. [Google Scholar]
- Sprott, J.; Jeffrey, D. Chaos and Time-Series Analysis; Oxford University Press: Oxford, UK, 2003; Volume 47, p. 373. [Google Scholar]
- Yang, T.; Chua, L.O. Impulsive stabilization for control and synchronization of chaotic systems: Theory and application to secure communication. IEEE Trans. Circuits Syst. I Fundam. Theory Appl. 1997, 44, 976–988. [Google Scholar] [CrossRef] [Green Version]
- Yang, X.; Li, C.; Huang, T.; Song, Q.; Chen, X. Quasi-uniform synchronization of fractional-order memristor-based neural networks with delay. Neurocomputing 2017, 234, 205–215. [Google Scholar] [CrossRef]
- Li, H.; Cao, J.; Hu, C.; Jiang, H. Quasi-projective and complete synchronization of fractional-order complex-valued neural networks with time delays. Neural Netw. 2019, 118, 102–109. [Google Scholar] [CrossRef]
- Guo, R.; Lv, W.; Zhang, Z. Quasi-projective synchronization of stochastic complex-valued neural networks with time-varying delay and mismatched parameters. Neurocomputing 2020, 415, 184–192. [Google Scholar] [CrossRef]
- Anbuvithya, R.; Sri, S.; Vadivel, R.; Gunasekaran, N.; Hammachukiattikul, P. Extended dissipativity and non-fragile synchronization for recurrent neural networks with multiple time-varying delays via sampled-data control. IEEE Access 2021, 9, 31454–31466. [Google Scholar] [CrossRef]
- Guo, R. Projective synchronization of a class of chaotic systems by dynamic feedback control method. Nonlinear Dyn. 2017, 90, 53–64. [Google Scholar] [CrossRef]
- Ding, Z.; Shen, Y. Projective synchronization of nonidentical fractional-order neural networks based on sliding mode controller. Neural Netw. 2016, 76, 97–105. [Google Scholar] [CrossRef] [Green Version]
- Zhang, W.; Cao, J.; Wu, R.; Alsaedi, A.; Alsaadi, F.E. Projective synchronization of fractional-order delayed neural networks based on the comparison principle. Adv. Differ. Equ. 2018, 2018, 73. [Google Scholar] [CrossRef] [Green Version]
- Yang, S.; Yu, J.; Hu, C.; Jiang, H. Quasi-projective synchronization of fractional-order complex-valued recurrent neural networks. Neural Netw. 2018, 104, 104–113. [Google Scholar] [CrossRef]
- Gorenflo, R.; Mainardi, F.; Podlubny, I. Fractional Differential Equations; Academic Press: Cambridge, MA, USA, 1999; Volume 8, pp. 683–699. [Google Scholar]
- Caputo, M. Rigorous time domain responses of polarizable media. Ann. Geophys. Ann. Geofis. 1997, 40, 97–106. [Google Scholar] [CrossRef]
- Jiao, Z.; Chen, Y.-Q.; Podlubny, I. Distributed-Order Dynamic Systems: Stability, Simulation, Applications and Perspectives; Springer: London, UK, 2012. [Google Scholar]
- Aguila-Camacho, N.; Duarte-Mermoud, M.A.; Gallegos, J.A. Lyapunov functions for fractional order systems. Commun. Nonlinear Sci. Numer. Simul. 2014, 19, 2951–2957. [Google Scholar] [CrossRef]
- Zhang, S.; Yu, Y.; Wang, H. Mittag-leffler stability of fractional-order hopfield neural networks. Nonlinear Anal. Hybrid Syst. 2015, 16, 104–121. [Google Scholar] [CrossRef]
- Cao, J. New results concerning exponential stability and periodic solutions of delayed cellular neural networks. Phys. Lett. A 2003, 307, 136–147. [Google Scholar] [CrossRef]
- Diethelm, K.; Ford, N.J.; Freed, A.D. A predictor-corrector approach for the numerical solution of fractional differential equations. Nonlinear Dyn. 2002, 29, 3–22. [Google Scholar] [CrossRef]



Publisher’s Note: MDPI stays neutral with regard to jurisdictional claims in published maps and institutional affiliations. |
© 2021 by the authors. Licensee MDPI, Basel, Switzerland. This article is an open access article distributed under the terms and conditions of the Creative Commons Attribution (CC BY) license (https://creativecommons.org/licenses/by/4.0/).
Share and Cite
Liu, X.; Li, K.; Song, Q.; Yang, X. Quasi-Projective Synchronization of Distributed-Order Recurrent Neural Networks. Fractal Fract. 2021, 5, 260. https://doi.org/10.3390/fractalfract5040260
Liu X, Li K, Song Q, Yang X. Quasi-Projective Synchronization of Distributed-Order Recurrent Neural Networks. Fractal and Fractional. 2021; 5(4):260. https://doi.org/10.3390/fractalfract5040260
Chicago/Turabian StyleLiu, Xiao, Kelin Li, Qiankun Song, and Xujun Yang. 2021. "Quasi-Projective Synchronization of Distributed-Order Recurrent Neural Networks" Fractal and Fractional 5, no. 4: 260. https://doi.org/10.3390/fractalfract5040260
APA StyleLiu, X., Li, K., Song, Q., & Yang, X. (2021). Quasi-Projective Synchronization of Distributed-Order Recurrent Neural Networks. Fractal and Fractional, 5(4), 260. https://doi.org/10.3390/fractalfract5040260

