Landweber Iterative Regularization Method for Identifying the Initial Value Problem of the Rayleigh–Stokes Equation
Abstract
:1. Introduction
2. Ill-Posed Analysis and Conditional Stability Results for Problem (1)
- (a)
- , , ;
- (b)
- are completely monotone for ;
- (c)
- , ;
3. Landweber Iterative Regularization Method and Convergence Analysis
3.1. The Convergent Error Estimate with an a Priori Parameter Choice Rule
3.2. The Convergent Error Estimate with an a Posteriori Parameter Choice Rule
- (a)
- is a continuous function;
- (b)
- (c)
- (d)
- is a strictly decreasing function for any
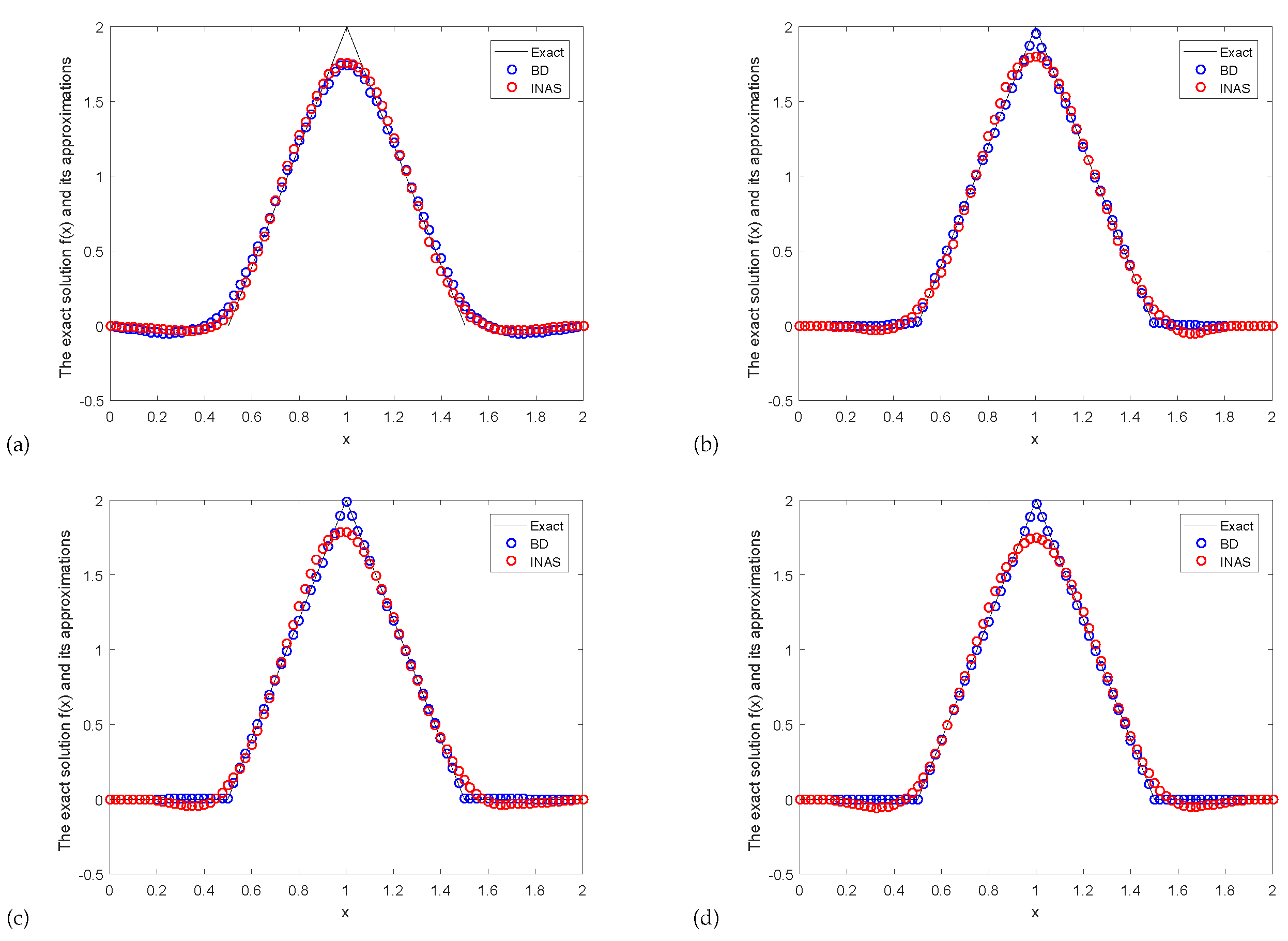
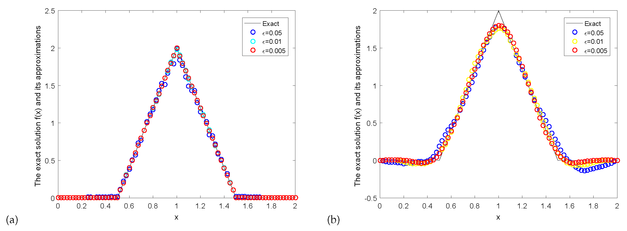
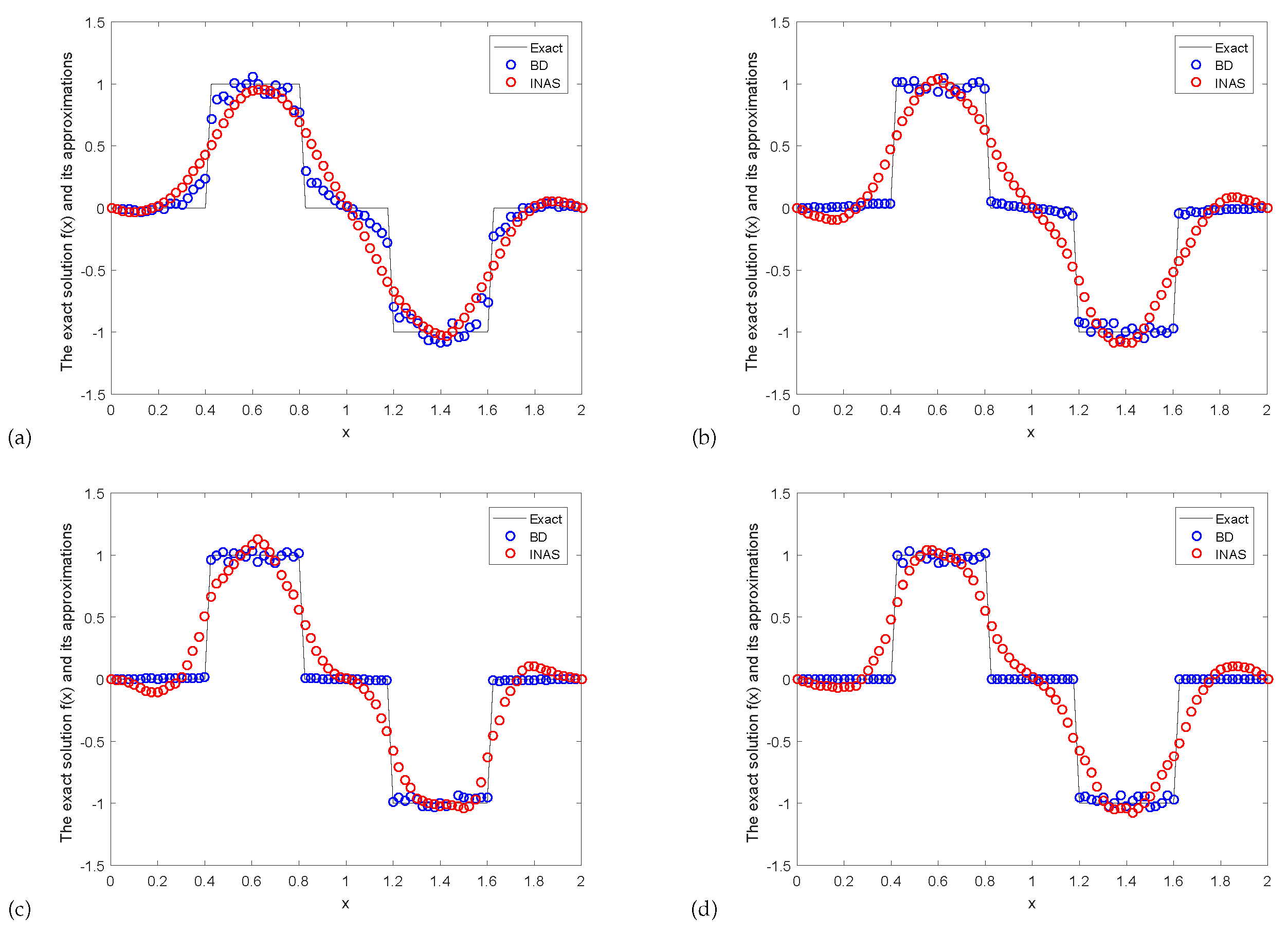
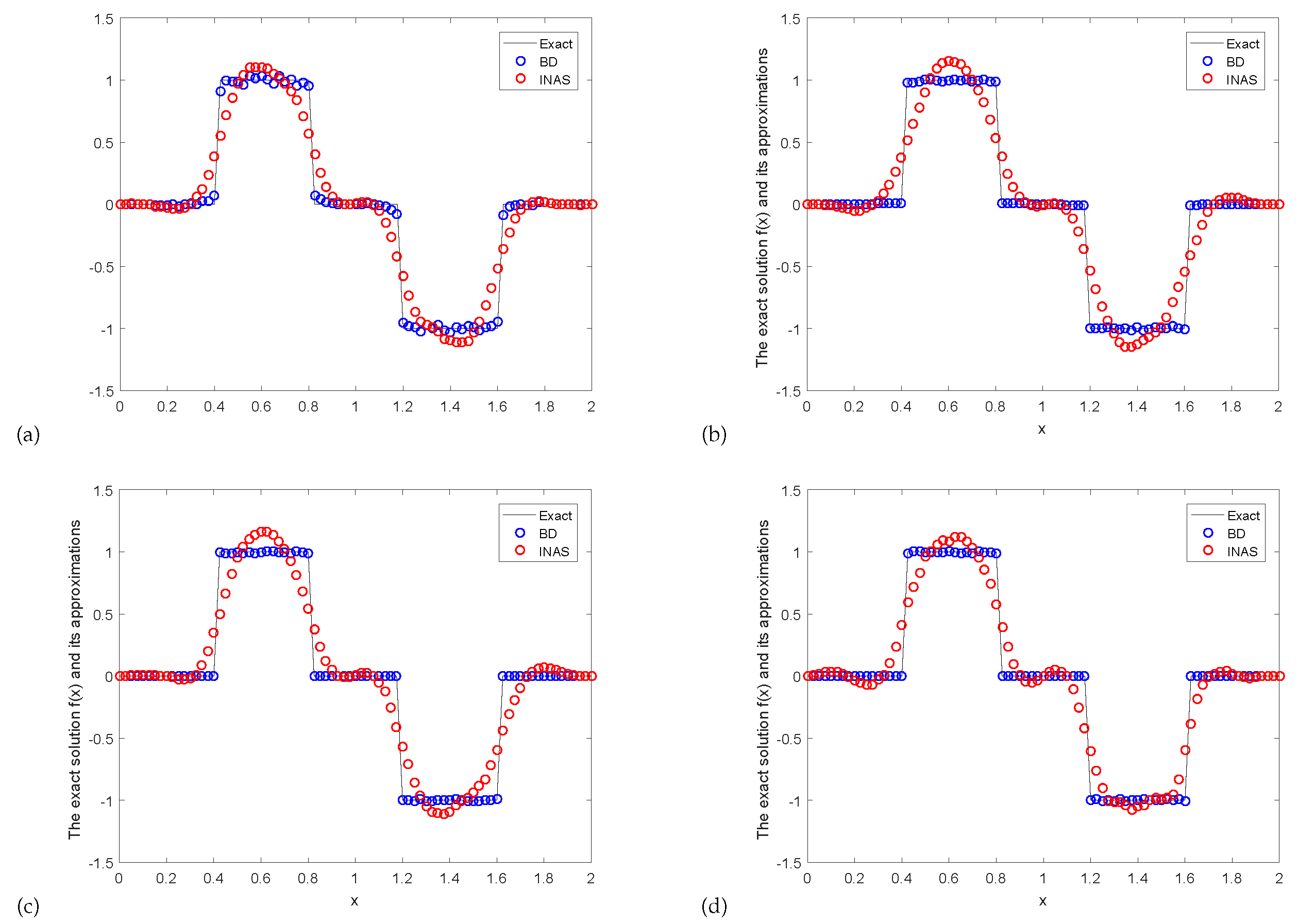
4. Numerical Implementation
5. Conclusions
Author Contributions
Funding
Institutional Review Board Statement
Informed Consent Statement
Data Availability Statement
Acknowledgments
Conflicts of Interest
References
- Baleanu, D.; Jajarmi, A.; Mohammadi, H.; Rezapour, S. A new study on the mathematical modelling of human liver with Caputo-Fabrizio fractional derivative. Chaos Solitons Fract. 2020, 134, 109705. [Google Scholar] [CrossRef]
- Rezapour, S.; Mohammadi, H.; Jajarmi, A. A new mathematical model for Zika virus transmission. Adv. Differ. Eq. 2020, 2020, 589. [Google Scholar] [CrossRef]
- Baleanu, D.; Mohammadi, H.; Rezapour, S. Analysis of the model of HIV-1 infection of CD4+ T-cell with a new approach of fractional derivative. Adv. Differ. Eq. 2020, 2020, 71. [Google Scholar] [CrossRef] [Green Version]
- Tuan, N.H.; Ganji, R.M.; Jafari, H. A numerical study of fractional rheological models and fractional Newell-Whitehead-Segel equation with non-local and non-singular kernel. Chin. J. Phys. 2020, 68, 308–320. [Google Scholar] [CrossRef]
- Nikan, O.; Jafari, H.; Golbabai, A. Numerical analysis of the fractional evolution model for heat flow in materials with memory. Alex. Eng. J. 2020, 59, 2627–2637. [Google Scholar] [CrossRef]
- Ganji, R.M.; Jafari, H.; Baleanu, D. A new approach for solving multi variable orders differential equations with Mittag-Leffler kernel. Chaos Solitons Fract. 2020, 130, 109405. [Google Scholar] [CrossRef]
- Baleanu, D.; Etemad, S.; Rezapour, S. A hybrid Caputo fractional modeling for thermostat with hybrid boundary value conditions. Bound Value Probl. 2020, 2020, 64. [Google Scholar] [CrossRef] [Green Version]
- Shen, F.; Tan, W.; Zhao, Y.; Masuoka, T. The Rayleigh–Stokes problem for a heated generalized second grade fluid with fractional derivative model. Nonlinear Anal. Real World Appl. 2006, 7, 1072–1080. [Google Scholar] [CrossRef]
- Fetecau, C.; Jamil, M.; Fetecau, C.; Vieru, D. The Rayleigh–Stokes problem for an edge in a generalized Oldroyd-B fluid. Z. Angew. Math. Phys. 2009, 60, 921–933. [Google Scholar] [CrossRef]
- Song, D.Y.; Jiang, T.Q. Study on the constitutive equation with fractional derivative for the viscoelastic fluids-Modified Jeffreys model and its application. Rheol. Acta 1998, 37, 512–517. [Google Scholar] [CrossRef]
- Zhao, C.L.; Yang, C. Exact solutions for electro-osmotic flow of viscoelastic fluids in rectangular micro-channels. Appl. Math. Comput. 2009, 211, 502–509. [Google Scholar] [CrossRef]
- Khan, M. The Rayleigh–Stokes problem for an edge in a viscoelastic fluid with a fractional derivative model. Nonlinear Anal. Real World Appl. 2009, 10, 3190–3195. [Google Scholar] [CrossRef]
- Khan, M.; Anjum, A.; Qi, H.; Fetecau, C. On exact solutions for some oscillating motions of a generalized Oldroyd-B fluid. Z. Angew. Math. Phys. 2010, 61, 133–145. [Google Scholar] [CrossRef]
- Chen, C.M.; Liu, F.; Anh, V. Numerical analysis of the Rayleigh–Stokes problem for a heated generalized second grade fluid with fractional derivatives. Appl. Math. Comput. 2008, 204, 340–351. [Google Scholar] [CrossRef] [Green Version]
- Chen, C.M.; Liu, F.; Burrage, K.; Chen, Y. Numerical methods of the variable-order Rayleigh–Stokes problem for a heated generalized second grade fluid with fractional derivative. IMA J. Appl. Math. 2013, 78, 924–944. [Google Scholar] [CrossRef]
- Elyas, S.; Ahmad, J. Rayleigh–Stokes problem for a heated generalized second grade fluid with fractional derivatives: A stable scheme based on spectral meshless radial point interpolation. Eng. Comput. 2017, 34, 77–90. [Google Scholar]
- Dehghan, M.; Abbaszadeh, M. A finite element method for the numerical solution of Rayleigh–Stokes problem for a heated generalized second grade fluid with fractional derivatives. Eng. Comput. 2017, 33, 1–19. [Google Scholar] [CrossRef]
- Nikan, O.; Golbabai, A.; Tenreiro Machado, J.A.; Nikazad, T. Numerical solution of the fractional Rayleigh–Stokes model arising in a heated generalized second-grade fluid. Eng. Comput. 2021. [Google Scholar] [CrossRef]
- Chen, C.M.; Liu, F.; Turner, I.; Anh, V. Numerical methods with fourth-order spatial accuracy for variable-order nonlinear Stokes’ first problem for a heated generalized second grade fluid. Comput. Math. Appl. 2011, 62, 971–986. [Google Scholar] [CrossRef] [Green Version]
- Hoang, L.N.; Huy, T.N.; Kirane, M.; Xuan, T.D.D. Identifying initial condition of the Rayleigh–Stokes problem with random noise. Math. Methods Appl. Sci. 2019, 42, 1561–1571. [Google Scholar]
- Yang, F.; Zhang, P.; Li, X.X. The truncation method for the Cauchy problem of the inhomogeneous Helmholtz equation. Appl. Anal. 2019, 98, 991–1004. [Google Scholar] [CrossRef]
- Yang, F.; Fan, P.; Li, X.X. Fourier truncation regularization method for a three-dimensional Cauchy problem of the modified Helmholtz equation with perturbed wave number. Mathematics 2019, 7, 705. [Google Scholar] [CrossRef] [Green Version]
- Wang, J.G.; Wei, T.; Zhou, Y.B. Tikhonov regularization method for a backward problem for the time-fractional diffusion equation. Appl. Math. Model. 2013, 37, 8518–8532. [Google Scholar] [CrossRef]
- Feng, X.L.; Eldén, L. Solving a Cauchy problem for a 3D elliptic PDE with variable coefficients by a quasi-boundary-value method. Inverse Probl. 2014, 30, 015005. [Google Scholar] [CrossRef]
- Yang, F.; Wang, N.; Li, X.X. A quasi-boundary regularization method for identifying the initial value of time-fractional diffusion equation on spherically symmetric domain. J. Inverse Ill-Posed Probl. 2019, 27, 609–621. [Google Scholar] [CrossRef]
- Yang, F.; Sun, Y.R.; Li, X.X. The quasi-boundary value method for identifying the initial value of heat equation on a columnar symmetric domain. Numer. Algorithms 2019, 82, 623–639. [Google Scholar] [CrossRef]
- Zhang, H.W.; Qin, H.H.; Wei, T. A quasi-reversibility regularization method for the Cauchy problem of the Helmholtz equation. Int. J. Comput. Math. 2011, 88, 839–850. [Google Scholar] [CrossRef]
- Yang, F.; Fu, C.L. The quasi-reversibility regularization method for identifying the unknown source for time fractional diffusion equation. Appl. Math. Model. 2015, 39, 1500–1512. [Google Scholar] [CrossRef]
- Yang, F.; Fu, C.L.; Li, X.X. A mollification regularization method for unknown source in time-fractional diffusion equation. Int. J. Comput. Math. 2014, 91, 1516–1534. [Google Scholar] [CrossRef]
- Xiong, X.T.; Fu, C.L.; Li, H.F. Fourier regularization method of a sideways heat equation for determining surface heat flux. J. Math. Anal. Appl. 2006, 317, 331–348. [Google Scholar] [CrossRef] [Green Version]
- Li, X.X.; Lei, J.L.; Yang, F. An a posteriori Fourier regularization method for identifying the unknown source of the space-fractional diffusion equation. J. Inequal. Appl. 2014, 2014, 1–13. [Google Scholar] [CrossRef] [Green Version]
- Yang, F.; Fu, C.L.; Li, X.X. The Fourier regularization method for identifying the unknown source for the modified Helmholtz equation. Acta Math. Sin. 2014, 34, 1040–1047. [Google Scholar]
- Yang, F.; Zhang, Y.; Li, X.X. Landweber iterative method for identifying the initial value problem of the time-space fractional diffusion-wave equation. Numer. Algorithms 2019, 83, 1509–1530. [Google Scholar] [CrossRef]
- Yang, F.; Ren, Y.P.; Li, X.X. Landweber iteration regularization method for identifying unknown source on a columnar symmetric domain. Inverse Probl. Sci. Eng. 2018, 26, 1109–1129. [Google Scholar] [CrossRef]
- Yang, F.; Liu, X.; Li, X.X. Landweber iterative regularization method for identifying the unknown source of the modified Helmholtz equation. Bound. Value Probl. 2017, 2017, 1–16. [Google Scholar] [CrossRef]
- Bazhlekova, E.; Jin, B.T.; Lazarov, R.; Zhou, Z. An analysis of the Rayleigh–Stokes problem for a generalized second-grade fluid. Numer. Math. 2015, 131, 1–31. [Google Scholar] [CrossRef] [PubMed] [Green Version]
- Engl, H.W.; Hanke, M.; Neubauer, A. Regularization of Inverse Problems; Kluwer Academic Publishers: Boston, MA, USA, 2019. [Google Scholar]
- Wu, C. Numerical solution for Stokes’ first problem for a heated generalized second grade fluid with fractional derivative. Appl. Numer. Math. 2009, 59, 2571–2583. [Google Scholar] [CrossRef]
- Yuste, S.B. Weighted average finite difference methods for fractional diffusion equations. J. Comput. Phys. 2006, 216, 264–274. [Google Scholar] [CrossRef] [Green Version]











| BD | 0.0410 | 0.0312 | 0.0272 | 0.0288 | ||
| INAS | 0.0141 | 0.0190 | 0.0193 | 0.0151 | ||
| BD | 0.0099 | 0.0063 | 0.0065 | 0.0059 | ||
| INAS | 0.0039 | 0.0059 | 0.0030 | 0.0019 | ||
| BD | 0.0046 | 0.0032 | 0.0027 | 0.0027 | ||
| INAS | 0.0023 | 0.0021 | 0.0016 | 0.0017 |
| Number of iterations (m) | BD | 14362 | 362 | 56 | 31 | |
| INAS | 26,366 | 3623 | 1529 | 763 | ||
| BD | 19,988 | 480 | 73 | 39 | ||
| INAS | 35,055 | 4592 | 2159 | 1026 | ||
| BD | 22,117 | 534 | 80 | 43 | ||
| INAS | 37,551 | 5362 | 2374 | 1070 |
| BD | 0.3672 | 0.1441 | 0.0845 | 0.0734 | ||
| INAS | 0.1910 | 0.1360 | 0.1579 | 0.1500 | ||
| BD | 0.1106 | 0.0288 | 0.0159 | 0.0169 | ||
| INAS | 0.0963 | 0.0849 | 0.0826 | 0.0905 | ||
| BD | 0.0748 | 0.0170 | 0.0076 | 0.0077 | ||
| INAS | 0.0641 | 0.0576 | 0.0638 | 0.0690 |
| Number of iterations (m) | BD | 926 | 88 | 21 | 14 | |
| INAS | 3822 | 638 | 265 | 172 | ||
| BD | 4470 | 198 | 36 | 23 | ||
| INAS | 12,486 | 2738 | 1127 | 550 | ||
| BD | 6502 | 241 | 43 | 27 | ||
| INAS | 25,343 | 4368 | 1538 | 765 |
| BD | 0.1850 | 0.0535 | 0.0354 | 0.0388 | ||
| INAS | 0.3693 | 0.3316 | 0.2884 | 0.3108 | ||
| BD | 0.0426 | 0.0100 | 0.0071 | 0.0066 | ||
| INAS | 0.2641 | 0.2838 | 0.2729 | 0.2441 |
| Number of iterations (m) | BD | 14,090 | 256 | 41 | 23 | |
| INAS | 24,384 | 6491 | 6714 | 2243 | ||
| BD | 47,555 | 420 | 56 | 32 | ||
| INAS | 275,527 | 30,496 | 15,463 | 15,362 |
Publisher’s Note: MDPI stays neutral with regard to jurisdictional claims in published maps and institutional affiliations. |
© 2021 by the authors. Licensee MDPI, Basel, Switzerland. This article is an open access article distributed under the terms and conditions of the Creative Commons Attribution (CC BY) license (https://creativecommons.org/licenses/by/4.0/).
Share and Cite
Li, D.-G.; Fu, J.-L.; Yang, F.; Li, X.-X. Landweber Iterative Regularization Method for Identifying the Initial Value Problem of the Rayleigh–Stokes Equation. Fractal Fract. 2021, 5, 193. https://doi.org/10.3390/fractalfract5040193
Li D-G, Fu J-L, Yang F, Li X-X. Landweber Iterative Regularization Method for Identifying the Initial Value Problem of the Rayleigh–Stokes Equation. Fractal and Fractional. 2021; 5(4):193. https://doi.org/10.3390/fractalfract5040193
Chicago/Turabian StyleLi, Dun-Gang, Jun-Liang Fu, Fan Yang, and Xiao-Xiao Li. 2021. "Landweber Iterative Regularization Method for Identifying the Initial Value Problem of the Rayleigh–Stokes Equation" Fractal and Fractional 5, no. 4: 193. https://doi.org/10.3390/fractalfract5040193
APA StyleLi, D.-G., Fu, J.-L., Yang, F., & Li, X.-X. (2021). Landweber Iterative Regularization Method for Identifying the Initial Value Problem of the Rayleigh–Stokes Equation. Fractal and Fractional, 5(4), 193. https://doi.org/10.3390/fractalfract5040193
