Solving a System of Fractional-Order Volterra-Fredholm Integro-Differential Equations with Weakly Singular Kernels via the Second Chebyshev Wavelets Method
Abstract
1. Introduction
2. Preliminaries
- ,
- ,
- .
3. The Second Chebyshev Wavelets and Function Approximation
3.1. The Second Chebyshev Wavelets and Their Properties
3.2. Function Approximation
4. Method Analysis
5. Error Analysis
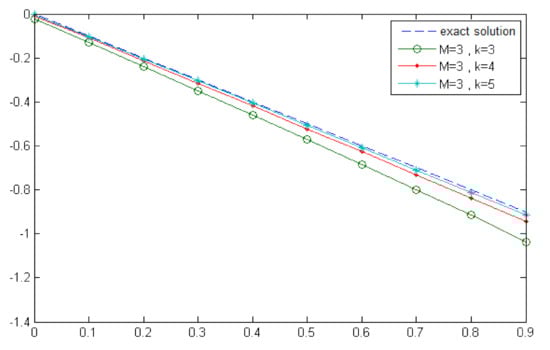
6. Numerical Example
7. Conclusions
Author Contributions
Funding
Institutional Review Board Statement
Informed Consent Statement
Data Availability Statement
Conflicts of Interest
References
- Baleanu, D.; Sajjadi, S.S.; Jajarmi, A.; Defterli, O. On a nonlinear dynamical system with both chaotic and non-chaotic behaviours: A new fractional analysis and control. Adv. Differ. Equ. 2021, 2021, 234. [Google Scholar] [CrossRef]
- Jajarmi, A.; Baleanu, D. On the fractional optimal control problems with a general derivative operator. Asian J. Control 2021, 23, 1062–1071. [Google Scholar] [CrossRef]
- Baleanu, D.; Sajjadi, S.S.; Asad, J.H.; Jajarmi, A.; Estiri, E. Hyperchaotic behaviours, optimal control, and synchronization of a nonautonomous cardiac conduction system. Adv. Differ. Equ. 2021, 2021, 157. [Google Scholar] [CrossRef]
- Yi, M.; Huang, J. CAS wavelet method for solving the fractional integro-differential equation with a weakly singular kernel. Int. J. Pure Appl. Math. 2015, 92, 1715–1728. [Google Scholar] [CrossRef]
- Wang, Y.; Zhu, L. SCW method for solving the fractional integro-differential equations with a weakly singular kernel. Appl. Math. Comput. 2016, 275, 72–80. [Google Scholar] [CrossRef]
- Sahu, P.K.; Saha Ray, S. Legendre wavelets operational method for the numerical solutions of nonlinear Volterra integro-differential equations system. Appl. Math. Comput. 2015, 256, 715–723. [Google Scholar] [CrossRef]
- Baleanu, D.; Jajarmi, A.; Mohammadi, H.; Rezapour, S. A new study on the mathematical modelling of human liver with Caputo-Fabrizio fractional derivative. Chaos Soliton. Fract. 2020, 134, 109705. [Google Scholar] [CrossRef]
- Baleanu, D.; Jajarmi, A.; Asad, J.H.; Blaszczyk, T. The motion of a bead sliding on a wire in fractional sense. Acta Phys. Pol. A 2017, 131, 1561–1564. [Google Scholar] [CrossRef]
- Baleanu, D.; Sajjadi, S.S.; Jajarmi, A.; Defterli, O.; Asad, J.H. The fractional dynamics of a linear triatomic molecule. Rom. Rep. Phys. 2021, 73, 105. [Google Scholar]
- Baleanu, D.; Ghanbari, B.; Asad, J.H.; Jajarmi, A.; Mohammadi Pirouz, H. Planar system-masses in an equilateral triangle: Numerical study within fractional calculus. CMES-Comput. Model. Eng. Sci. 2020, 124, 953–968. [Google Scholar] [CrossRef]
- Sahu, P.K.; Saha Ray, S. Hybrid Legendre Block-Pulse functions for the numerical solutions of system of nonlinear Fredholm–Hammerstein integral equations. Appl. Math. Comput. 2015, 270, 871–878. [Google Scholar] [CrossRef]
- Yüzbası, S. Numerical solutions of system of linear Fredholm-Volterra integro-differential equations by the Bessel collocation method and error estimation. Appl. Math. Comput. 2015, 250, 320–338. [Google Scholar] [CrossRef]
- Deif, A.S.; Grace, R.S. Iterative refinement for a system of linear integro-differential equations of fractional type. J. Comput. Appl. Math. 2016, 294, 138–150. [Google Scholar] [CrossRef]
- Xie, J.; Yi, M. Numerical research of nonlinear system of fractional Volterra-Fredholm integral-differential equations via Block-Pulse functions and error analysis. J. Comput. Appl. Math. 2019, 345, 159–167. [Google Scholar] [CrossRef]
- Saemi, F.; Ebrahimi, H.; Shafiee, M. An effective scheme for solving system of fractional Volterra–Fredholm integro-differential equations based on the Müntz–Legendre wavelets. J. Comput. Appl. Math. 2020, 374, 112–773. [Google Scholar] [CrossRef]
- Lal, S.; Sharma, R.P. Approximation of function belonging to generalized Hölder’s class by first and second kind Chebyshev wavelets and their applications in the solutions of Abel’s integral equations. Arab. J. Math. 2021, 10, 157–174. [Google Scholar] [CrossRef]
- Zhu, L.; Wang, Y. Numerical solutions of Volterra integral equation with weakly singular kernel using SCW method. Appl. Math. Comput. 2015, 260, 63–70. [Google Scholar] [CrossRef]
- Zhang, Z. Legendre wavelets method for the numerical solution of fractional integro-differential equations with weakly singular kernel. Appl. Math. Model. 2016, 40, 3422–3437. [Google Scholar]
- Maleknejad, K.; Nouri, K.; Torkzadeh, L. Operational matrix of fractional integration based on the shifted second kind Chebyshev Polynomials for solving fractional differential equationss. Mediterr. J. Math. 2016, 13, 1377–1390. [Google Scholar] [CrossRef]
- Zhu, L.; Fan, Q. Solving fractional nonlinear Fredholm integro-differential equations by the second kind Chebyshev wavelet. Commun. Nonlinear Sci. Numer. Simul. 2012, 17, 2333–2341. [Google Scholar] [CrossRef]
- Zhou, F.; Xu, X. Numerical solution of the convection diffusion equations by the second kind Chebyshev wavelets. Appl. Math. Comput. 2014, 247, 353–367. [Google Scholar] [CrossRef]
- Wang, Y.; Fan, Q. The second kind Chebyshev wavelet method for solving fractional differential equations. Appl. Math. Comput. 2012, 218, 8592–8601. [Google Scholar] [CrossRef]
- Manchanda, P.; Rani, M. second kind Chebyshev wavelet method for solving system of linear differential equations. Int. J. Pure Appl. Math. 2017, 114, 91–104. [Google Scholar] [CrossRef][Green Version]
- Zhu, L.; Wang, Y. Solving fractional partial differential equations by using the second Chebyshev wavelet operational matrix method. Nonlinear. Dyn. 2017, 89, 1915–1925. [Google Scholar] [CrossRef]
- Tavassoli Kajani, M.; Hadi Vencheh, A.; Ghasemi, M. The Chebyshev wavelets operational matrix of integration and product operation matrix. Int. J. Comput. Math. 2009, 86, 1118–1125. [Google Scholar] [CrossRef]
- Zhou, F.; Xu, X.; Zhang, X. Numerical integration method for triple integrals using the second kind Chebyshev wavelets and Gauss–Legendre quadrature. Comp. Appl. Math. 2018, 37, 3027–3052. [Google Scholar] [CrossRef]
- Yi, M.; Ma, L.; Wang, L. An efficient method based on the second kind Chebyshev wavelets for solving variable-order fractional convection diffusion equations. Int. J. Comput. Math. 2018, 95, 1973–1991. [Google Scholar] [CrossRef]
- Negarchi, N.; Nouri, K. Numerical solution of Volterra—Fredholm integral equations using the collocation method based on a special form of the Müntz—Legendre polynomials. J. Comput. Appl. Math. 2018, 344, 15–24. [Google Scholar] [CrossRef]





| t | |||
|---|---|---|---|
| 1.5733 × 10 | 5.3788 × 10 | 1.7841 × 10 | |
| 8.1154 × 10 | 2.6760 × 10 | 8.9690 × 10 | |
| 1.7912 × 10 | 5.1094 × 10 | 1.4128 × 10 | |
| 1.4759 × 10 | 4.6674 × 10 | 1.4909 × 10 | |
| 3.1524 × 10 | 1.0029 × 10 | 3.2290 × 10 | |
| 5.2736 × 10 | 1.6820 × 10 | 5.4294× 10 | |
| 7.9262 × 10 | 2.5301× 10 | 8.1767 × 10 | |
| 1.1204 × 10 | 3.5784 × 10 | 1.1571 × 10 | |
| 1.5225 × 10 | 4.8636 × 10 | 1.5733 × 10 |
| t | |||
|---|---|---|---|
| 9.1898 × 10 | 2.9619 × 10 | 9.6013 × 10 | |
| 1.2525 × 10 | 4.0140 × 10 | 1.3022 × 10 | |
| 1.5780 × 10 | 5.0567 × 10 | 1.6400 × 10 | |
| 1.9240 × 10 | 6.1633 × 10 | 1.9983 × 10 | |
| 2.3036 × 10 | 7.3765 × 10 | 2.3910 × 10 | |
| 2.7270 × 10 | 8.7311 × 10 | 2.8296 × 10 | |
| 3.2061 × 10 | 1.0263 × 10 | 3.3254 × 10 | |
| 3.7524 × 10 | 1.2009 × 10 | 3.8909 × 10 | |
| 4.3800 × 10 | 1.4015 × 10 | 4.5404 × 10 |
| Values of M, k | Run Time (s) |
|---|---|
Publisher’s Note: MDPI stays neutral with regard to jurisdictional claims in published maps and institutional affiliations. |
© 2021 by the authors. Licensee MDPI, Basel, Switzerland. This article is an open access article distributed under the terms and conditions of the Creative Commons Attribution (CC BY) license (https://creativecommons.org/licenses/by/4.0/).
Share and Cite
Bargamadi, E.; Torkzadeh, L.; Nouri, K.; Jajarmi, A. Solving a System of Fractional-Order Volterra-Fredholm Integro-Differential Equations with Weakly Singular Kernels via the Second Chebyshev Wavelets Method. Fractal Fract. 2021, 5, 70. https://doi.org/10.3390/fractalfract5030070
Bargamadi E, Torkzadeh L, Nouri K, Jajarmi A. Solving a System of Fractional-Order Volterra-Fredholm Integro-Differential Equations with Weakly Singular Kernels via the Second Chebyshev Wavelets Method. Fractal and Fractional. 2021; 5(3):70. https://doi.org/10.3390/fractalfract5030070
Chicago/Turabian StyleBargamadi, Esmail, Leila Torkzadeh, Kazem Nouri, and Amin Jajarmi. 2021. "Solving a System of Fractional-Order Volterra-Fredholm Integro-Differential Equations with Weakly Singular Kernels via the Second Chebyshev Wavelets Method" Fractal and Fractional 5, no. 3: 70. https://doi.org/10.3390/fractalfract5030070
APA StyleBargamadi, E., Torkzadeh, L., Nouri, K., & Jajarmi, A. (2021). Solving a System of Fractional-Order Volterra-Fredholm Integro-Differential Equations with Weakly Singular Kernels via the Second Chebyshev Wavelets Method. Fractal and Fractional, 5(3), 70. https://doi.org/10.3390/fractalfract5030070

