Some Dynamical Models Involving Fractional-Order Derivatives with the Mittag-Leffler Type Kernels and Their Applications Based upon the Legendre Spectral Collocation Method
Abstract
:1. Introduction
2. Preliminaries
3. The Shifted Legendre Polynomials and the Fractional Derivatives with Generalized Mittag-Leffler Kernel
4. Construction of the Schemes of the Proposed Models
- We write where .
- We can approximate and expand the function by using a linear combination of the first terms of as given below:
- In view of the Formulas (8) and (24), and upon substituting them into Equation (20), we obtain
- We collocate Equation (25) at points in order to get the following system of first-order ODEs:
- Substituting from Equation (24) into (20), we can obtain the following boundary conditions of the system (26):
- To obtain systems of nonlinear algebraic equations, we apply the FDM to the ODE (26) and (27), whereare unknown. We thus obtainandwith
- We can explain more fully for the case when . By using the NIM, we obtain the following system given by (28) and (30) in the matrix form:whereis the inverse of the Jacobian matrix and is the vector that represents the nonlinear equations. The initial solution can be obtained by setting in the initial condition (23) as detailed below.
- (a)
- After substituting Equation (24) into the initial condition (23), we obtain
- (b)
- Solving the following system of linear equations, we obtain the components of the initial solution :where the points are the roots of .
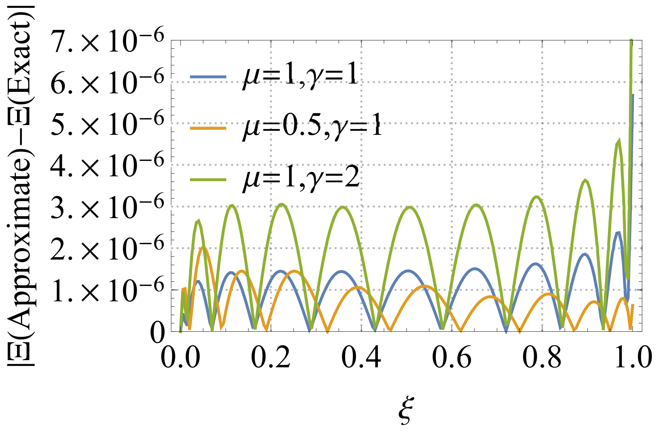
5. Numerical Results, Graphical Illustrations and Discussions
6. Conclusions
Author Contributions
Funding
Institutional Review Board Statement
Informed Consent Statement
Data Availability Statement
Conflicts of Interest
References
- Samko, S.G.; Kilbas, A.A.; Marichev, O.I. Fractional Integrals and Derivatives: Theory and Applications; Gordon and Breach Science Publishers: Reading, UK; Tokyo, Japan; Paris, France; Berlin, Germany; Langhorne, PA, USA, 1993. [Google Scholar]
- Podlubny, I. Fractional Differential Equations: An Introduction to Fractional Derivatives, Fractional Differential Equations, to Methods of Their Solution and Some of Their Applications. In Mathematics in Science and Engineering; Academic Press: New York, NY, USA; London, UK; Sydney, NSW, Australia; Tokyo, Japan; Toronto, ON, Canada, 1999; Volume 198. [Google Scholar]
- Kilbas, A.A.; Srivastava, H.M.; Trujillo, J.J. Theory and Applications of Fractional Differential Equations. In North-Holland Mathematical Studies; Elsevier (North-Holland) Science Publishers: Amsterdam, The Netherlands; London, UK; New York, NY, USA, 2006; Volume 204. [Google Scholar]
- Tarasov, V.E. Fractional Dynamics: Applications of Fractional Calculus to Dynamics of Particles, Fields and Media; Springer: Berlin/Heidelberg, Germany, 2010. [Google Scholar]
- Gorenflo, R.; Kilbas, A.A.; Mainardi, F.; Rogosin, S.V. Mittag-Leffler Functions, Related Topics and Applications, 2nd ed.; Springer: New York, NY, USA, 2020. [Google Scholar]
- Srivastava, H.M. Some parametric and argument variations of the operators of fractional calculus and related special functions and integral transformations. J. Nonlinear Convex Anal. 2021, 22, 1501–1520. [Google Scholar]
- Srivastava, H.M. Fractional-order derivatives and integrals: Introductory overview and recent developments. Kyungpook Math. J. 2020, 60, 73–116. [Google Scholar]
- Diethelm, K. An algorithm for the numerical solution of differential equations of fractional order. Electron. Trans. Numer. (ETNA) 1997, 5, 1–6. [Google Scholar]
- Khader, M.M.; Saad, K.M. A numerical approach for solving the problem of biological invasion (fractional Fisher equation) using Chebyshev spectral collocation method. Chaos Solitons Fractals 2018, 110, 169–177. [Google Scholar] [CrossRef]
- Khader, M.M.; Saad, K.M. On the numerical evaluation for studying the fractional KdV, KdV-Burgers’, and Burgers’ equations. Eur. Phys. J. Plus 2018, 133, 1–13. [Google Scholar] [CrossRef]
- Atangana, A.; Baleanu, D. New fractional derivatives with nonlocal and non-singular kernel: Theory and application to heat transfer model. Therm. Sci. 2016, 20, 763–769. [Google Scholar] [CrossRef] [Green Version]
- Caputo, M.; Fabrizio, M. A new definition of fractional derivative without singular kernel. Prog. Fract. Differ. Appl. 2015, 1, 1–13. [Google Scholar]
- Saad, K.M.; Khader, M.M.; Gómez-Aguilar, J.F.; Baleanu, D. Numerical solutions of the fractional Fisher’s type equations with Atangana-Baleanu fractional derivative by using spectral collocation methods. Chaos Interdiscip. J. Nonlinear Sci. 2019, 29, 023116. [Google Scholar] [CrossRef]
- Fernandez, A.; Abdeljawad, T.; Baleanu, D. Relations between fractional models with three-parameter Mittag-Leffler kernels. Adv. Differ. Equ. 2020, 2020, 1–13. [Google Scholar] [CrossRef]
- Abdeljawad, T. A Lyapunov type inequality for fractional operators with nonsingular Mittag-Leffler kernel. J. Inequalities Appl. 2017, 2017, 1–11. [Google Scholar] [CrossRef]
- Jarad, F.; Abdeljawad, T.; Hammouch, Z. On a class of ordinary differential equations in the frame of Atangana–Baleanu fractional derivative. Chaos Solitons Fractals 2018, 117, 16–20. [Google Scholar] [CrossRef]
- Izadi, M.; Srivastava, H.M. Numerical approximations to the nonlinear fractional-order logistic population model with fractional-order Bessel and Legendre bases. Chaos Solitons Fractals 2021, 145, 110779. [Google Scholar] [CrossRef]
- Morales-Delgado, V.F.; Gómez-Aguilar, J.F.; Saad, K.M.; Khan, M.A.; Agarwal, P. Analytic solution for oxygen diffusion from capillary to tissues involving external force effects: A fractional calculus approach. Physica A Stat. Mech. Its Appl. 2019, 523, 48–65. [Google Scholar] [CrossRef]
- Srivastava, H.M.; Ahmad, H.; Ahmad, I.; Thounthong, P.; Khan, M.N. Numerical simulation of 3-D fractional-order convection-diffusion PDE by a local meshless method. Therm. Sci. 2021, 25, 347–358. [Google Scholar] [CrossRef]
- Saad, K.M. A reliable analytical algorithm for space-time fractional cubic isothermal autocatalytic chemical system. Pramana J. Phys. 2018, 91, 1–15. [Google Scholar] [CrossRef]
- Singh, H.; Srivastava, H.M. Numerical investigation of the fractional-order Liénard and Duffing equation arising in oscillating circuit theory. Front. Phys. 2020, 8, 120. [Google Scholar] [CrossRef]
- Alomari, A.K. Homotopy-Sumudu transforms for solving system of fractional partial differential equations. Adv. Differ. Equ. 2020, 2020, 222. [Google Scholar] [CrossRef]
- Kumar, S.; Pandey, R.K.; Srivastava, H.M.; Singh, G.N. A convergent collocation approach for generalized fractional integro-differential equations using Jacobi poly-fractonomials. Mathematics 2021, 9, 979. [Google Scholar] [CrossRef]
- Alomari, A.K.; Syam, M.I.; Anakira, N.R.; Jameel, A.F. Homotopy Sumudu transform method for solving applications in physics. Results Phys. 2020, 18, 103265. [Google Scholar] [CrossRef]
- Aljhani, S.; Noorani, M.S.; Alomari, A.K. Numerical solution of fractional-order HIV Model using homotopy method. Discret. Dyn. Nat. Soc. 2020, 2020, 2149037. [Google Scholar] [CrossRef] [Green Version]
- Saad, K.M.; Al-Sharif, E.H.F. Comparative study of a cubic autocatalytic reaction via different analysis methods. Discret. Contin. Dyn.-Syst.-S 2019, 12, 665–684. [Google Scholar]
- Saad, K.M.; Gómez-Aguilar, J.F. Coupled reaction-diffusion waves in a chemical system via fractional derivatives in Liouville-Caputo sense. Rev. Mex. Física 2018, 64, 539–547. [Google Scholar]
- Saad, K.M.; Gómez-Aguilar, J.F. Analysis of reaction-diffusion system via a new fractional derivative with non-singular kernel. Physica A Stat. Mech. Its Appl. 2018, 509, 703–716. [Google Scholar] [CrossRef]
- Saad, K.M.; Baleanu, D.; Atangana, A. New Fractional derivatives applied to the Korteweg-de Vries and Korteweg-de Vries-Burgers equations. Comput. Appl. Math. 2018, 37, 5203–5216. [Google Scholar] [CrossRef]
- Saad, K.M.; Deniz, S.; Baleanu, D. On a new modified fractional analysis of Nagumo equation. Int. J. Biomath. 2019, 12, 1950034. [Google Scholar] [CrossRef]
- Srivastava, H.M.; Saad, K.M. Some new and modified fractional analysis of the time-fractional Drinfeld-Sokolov-Wilson system. Chaos Interdiscip. J. Nonlinear Sci. 2020, 30, 113104. [Google Scholar] [CrossRef]
- Srivastava, H.M.; Deniz, S.; Saad, K.M. An efficient semi-analytical method for solving the generalized regularized long wave equations with a new fractional derivative operator. J. King Saud Univ. Sci. 2021, 33, 101345. [Google Scholar] [CrossRef]
- Srivastava, H.M.; Saad, K.M. A comparative Study of the fractional-order clock chemical model. Mathematics 2020, 8, 1436. [Google Scholar] [CrossRef]
- Srivastava, H.M.; Saad, K.M.; Gómez-Aguilar, J.F.; Almadiy, A.A. Some new mathematical models of the fractional-order system of human immune against IAV infection. Math. Biosci. Eng. 2020, 17, 4942–4969. [Google Scholar] [CrossRef]
- Srivastava, H.M.; Saad, K.M.; Khader, M.M. An efficient spectral collocation method for the dynamic simulation of the fractional epidemiological model of the Ebola virus. Chaos Solitons Fractals 2020, 140, 110174. [Google Scholar]
- Saad, K.M. Comparative study on fractional isothermal chemical model. Alex. Eng. J. 2021, 60, 3265–3274. [Google Scholar] [CrossRef]
- Saad, K.M. Comparing the Caputo, Caputo-Fabrizio and Atangana-Baleanu derivative with fractional order: Fractional cubic isothermal auto-catalytic chemical system. Eur. Phys. J. Plus 2018, 133, 94. [Google Scholar] [CrossRef]
- Abdeljawad, T. Fractional difference operators with discrete generalized Mittag-Leffler kernels. Chaos Solitons Fractals 2019, 126, 315–324. [Google Scholar] [CrossRef]
- Abdeljawad, T. Fractional operators with generalized Mittag-Leffler kernels and their iterated differintegrals. Chaos Interdiscip. Nonlinear Sci. 2019, 29, 023102. [Google Scholar] [CrossRef]
- Abdeljawad, T.; Baleanu, D. On fractional derivatives with generalized Mittag-Leffler kernels. Adv. Differ. Equ. 2018, 2018, 468. [Google Scholar] [CrossRef]
- Hesthaven, J.; Gottlieb, S.; Gottlieb, D. Spectral Methods for Time-Dependent Problems; Cambridge University Press: Cambridge, UK; London, UK; New York, NY, USA, 2007. [Google Scholar]
- Feng, Z. Travelling wave solutions and proper solutions to the two-dimensional Burgers-Korteweg-de Vries. J. Phys. A Math. Gen. 2003, 36, 8817–8827. [Google Scholar] [CrossRef]






Publisher’s Note: MDPI stays neutral with regard to jurisdictional claims in published maps and institutional affiliations. |
© 2021 by the authors. Licensee MDPI, Basel, Switzerland. This article is an open access article distributed under the terms and conditions of the Creative Commons Attribution (CC BY) license (https://creativecommons.org/licenses/by/4.0/).
Share and Cite
Srivastava, H.M.; Alomari, A.-K.N.; Saad, K.M.; Hamanah, W.M. Some Dynamical Models Involving Fractional-Order Derivatives with the Mittag-Leffler Type Kernels and Their Applications Based upon the Legendre Spectral Collocation Method. Fractal Fract. 2021, 5, 131. https://doi.org/10.3390/fractalfract5030131
Srivastava HM, Alomari A-KN, Saad KM, Hamanah WM. Some Dynamical Models Involving Fractional-Order Derivatives with the Mittag-Leffler Type Kernels and Their Applications Based upon the Legendre Spectral Collocation Method. Fractal and Fractional. 2021; 5(3):131. https://doi.org/10.3390/fractalfract5030131
Chicago/Turabian StyleSrivastava, Hari M., Abedel-Karrem N. Alomari, Khaled M. Saad, and Waleed M. Hamanah. 2021. "Some Dynamical Models Involving Fractional-Order Derivatives with the Mittag-Leffler Type Kernels and Their Applications Based upon the Legendre Spectral Collocation Method" Fractal and Fractional 5, no. 3: 131. https://doi.org/10.3390/fractalfract5030131
APA StyleSrivastava, H. M., Alomari, A.-K. N., Saad, K. M., & Hamanah, W. M. (2021). Some Dynamical Models Involving Fractional-Order Derivatives with the Mittag-Leffler Type Kernels and Their Applications Based upon the Legendre Spectral Collocation Method. Fractal and Fractional, 5(3), 131. https://doi.org/10.3390/fractalfract5030131

