LMI Criteria for Admissibility and Robust Stabilization of Singular Fractional-Order Systems Possessing Poly-Topic Uncertainties
Abstract
1. Introduction
2. Preliminaries
- 1.
- Unforced System (1) with order is admissible.
- 2.
- Some matrices , exist such that Inequalities (2) and (3) hold or Inequalities (2) and (4) hold,
Problem Statement
3. Main Results
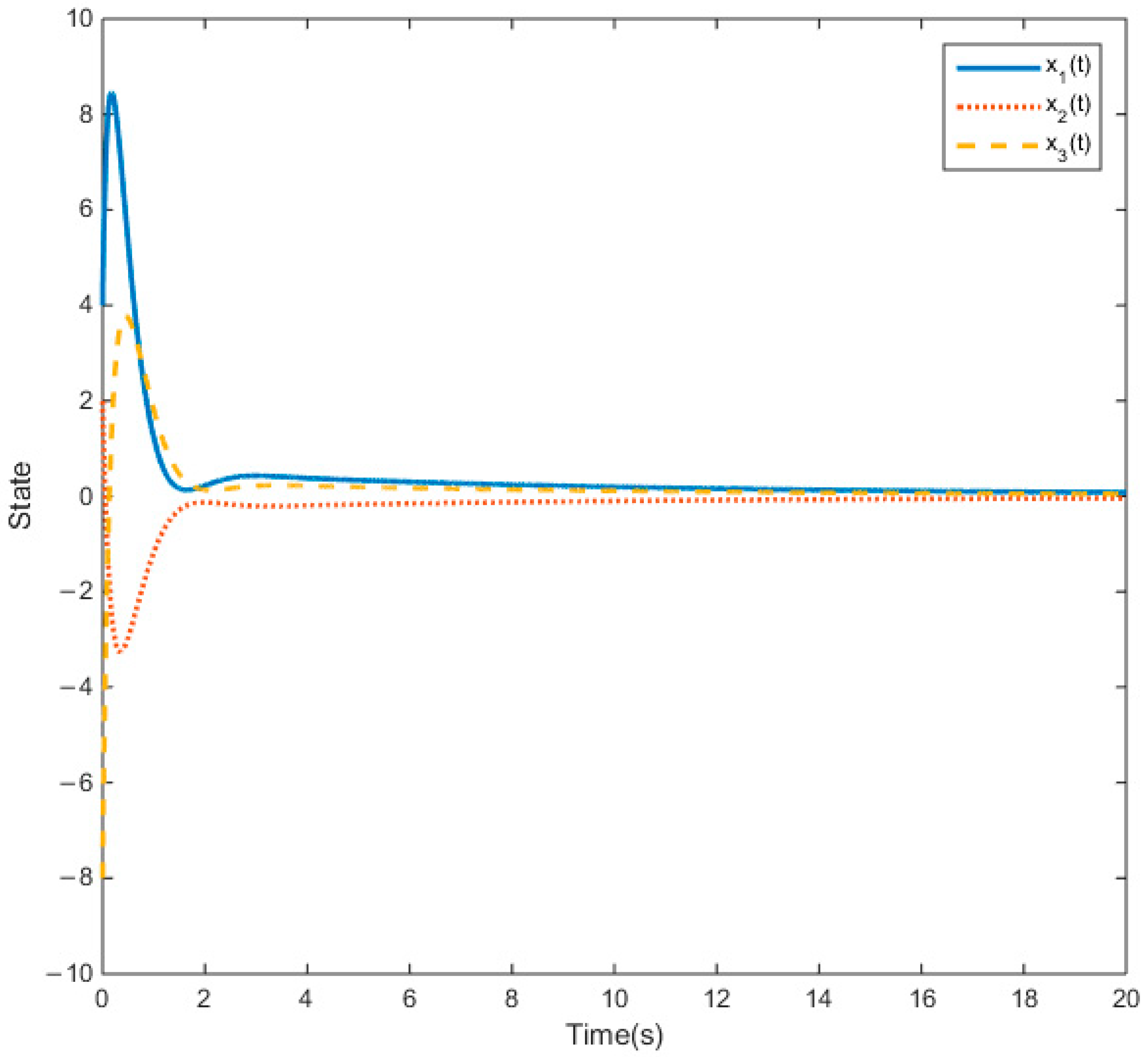
4. Numerical Examples
5. Conclusions
Author Contributions
Funding
Conflicts of Interest
References
- Podlubny, I. Fractional Differential Equations; Academic Press: San Dieage, CA, USA, 1999. [Google Scholar]
- Aguila-Gamacho, N.; Duarte-Mermound, M.A.; Gallegos, J.A. Lyapunov Functions for Fractional Order Systems. Commun. Nonlinear Sci. Numer. Simulat. 2014, 19, 2951–2957. [Google Scholar] [CrossRef]
- Zhang, X.F. Relationship between integer-order systems and fractional-order system and its two applications. IEEE/CAA J. Autom. Sin. 2018, 5, 639–643. [Google Scholar] [CrossRef]
- Zhang, R.M.; Liu, X.Z.; Zeng, D.Q.; Zhong, S.M.; Shi, K.B. A Novel Approach to Stability and Stabilization of Fuzzy Sampled-data Markovian Chaotic Systems. Fuzzy Sets Syst. 2018, 344, 108–128. [Google Scholar] [CrossRef]
- Chen, J.; Zhuang, B.; Chen, Y.Q.; Cui, B.T. Diffusion Control for A Tempered Anomalous Diffusion System Using Fractional-Order PI Controllers. ISA Trans. 2018, 82, 94–106. [Google Scholar] [CrossRef]
- Zhang, J.X.; Yang, G.H. Fault-tolerant output-constrained control of unknown Euler-Lagrange systems with prescribed tracking accuracy. Automatica 2020, 111, 108606. [Google Scholar] [CrossRef]
- Zhang, J.X.; Yang, G.H. Low-complexity tracking control of strict-feedback systems with unknown control directions. IEEE Trans. Autom. Control 2019, 64, 5175–5182. [Google Scholar] [CrossRef]
- Dastjerdi, A.A.; Vinagre, B.M.; Chen, Y.Q.; HosseinNia, S.H. Linear Fractional Order Controllers; A Survey in The Frequency Domain. Annu. Rev. Control 2019, 47, 51–70. [Google Scholar] [CrossRef]
- Talegon, D.F.; Batlle, V.F.; Tejado, I.; Vinagre, B.M.; HosseinNia, S.H. Stable Force Control And Contact Transition of A Single Link Flexible Robot Using A Fractional-Order Controller. ISA Trans. 2019, 89, 139–157. [Google Scholar] [CrossRef]
- Zhang, J.X.; Yang, G.H. Prescribed performance fault-tolerant control of uncertain nonlinear systems with unknown control directions. IEEE Trans. Autom. Control 2017, 62, 6529–6535. [Google Scholar] [CrossRef]
- Matignon, D. Stability Properties for Generalized Fractional Differential Systems. Proc. ESAIM 1998, 5, 145–158. [Google Scholar] [CrossRef]
- Sabatier, J.; Moze, M.; Farges, C. LMI Stability Conditions for Fractional-Order Systems. Comput. Math. Appl. 2010, 59, 1594–1609. [Google Scholar] [CrossRef]
- Lu, J.G.; Chen, G.R. Robust Stability and Stabilization of Fractional-Order Interval Systems: An LMI Approach. IEEE Trans. Autom. Control 2009, 54, 1294–1299. [Google Scholar]
- Lu, J.G.; Chen, Y.Q. Robust Stability and Stabilization of Fractional-Order Interval Systems with the Fractional Order α: The 0 < α < 1 Case. IEEE Trans. Autom. Control 2010, 55, 152–158. [Google Scholar]
- Wei, Y.H.; Tse, P.W.; Yao, Z.; Wang, Y. The Output Feedback Control Synthesis for A Class of Singular Fractional Order Systems. ISA Trans. 2017, 69, 1–9. [Google Scholar] [CrossRef]
- Kai, B.S.; Wang, J.; Zhong, S.M.; Zhang, X.J.; Liu, Y.J.; Cheng, J. New Reliable Nonuniform Sampling Control for Uncertain Chaotic Neural Networks Under Markov Switching Topologies. Appl. Math. Comput. 2019, 347, 169–193. [Google Scholar]
- Chen, Y.Q.; Ahn, H.S.; Podlubny, I. Robust Stability Check of Fractional Order Linear Time Invariant Systems with Interval Uncertainties. Signal Process. 2006, 86, 2611–2618. [Google Scholar] [CrossRef]
- Ahn, H.S.; Chen, Y.Q.; Podlubny, I. Robust Stability Test of A Class of Linear Time- Invariant Interval Fractional-Order System Using Lyapunov Inequality. Comput. Math. Appl. 2007, 187, 27–34. [Google Scholar] [CrossRef]
- Ahn, H.S.; Chen, Y.Q. Necessary And Sufficient Stability Condition of Fractional-Order Interval Linear Systems. Automatica 2008, 44, 2985–2988. [Google Scholar] [CrossRef]
- Lu, J.G.; Chen, Y.Q.; Chen, W.D. Robust Asymptotical Stability of Fractional-Order Linear Systems with Structured Perturbations. Comput. Math. Appl. 2013, 66, 873–882. [Google Scholar] [CrossRef]
- Doyea, I.N.; Darouachb, M.; Zasadzinski, M.; Radhy, N.-E. Robust Stabilization of Uncertain Descriptor Fractional-Order Systems. Automatica 2013, 49, 1907–1913. [Google Scholar]
- Zhang, X.F.; Chen, Y.Q. Remarks on Fractional Order Control Systems. In Proceedings of the 2012 American Control Conference (ACC), Montréal, QC, Canada, 27 June 2012; pp. 5169–5173. [Google Scholar]
- Zhang, X.F.; Chen, Y.Q. D-stability Based LMI Criteria of Stability and Stabilization for Fractional Order Systems. In Proceedings of the International Design Engineering Technical Conferences and Computers and Information in Engineering Conference, Boston, MA, USA, 2–5 August 2015; pp. 1–6. [Google Scholar]
- Carlos, R.; Karina, A.B.; Daniel, C. Robust Filtering for Discrete-Time Linear Parameter-Varying Descriptor Systems. Symmetry 2020, 12, 1871. [Google Scholar]
- Gonzalez, A.; Estrada-Manzo, V.; Guerra, T.M. Gain-scheduled H∞ admissibilisation of LPV discrete-time systems with LPV singular descriptor. Int. J. Syst. Sci. 2017, 48, 3215–3224. [Google Scholar] [CrossRef]
- Jiao, Z.; Zhong, Y.S. Robust Stability for Fractional-Order Systems with Structured and Unstructured Uncertainties. Comput. Math. Appl. 2012, 64, 3258–3266. [Google Scholar] [CrossRef]
- Chen, L.P.; Wu, R.C.; He, Y.G.; Yin, L.S. Robust Stability and stabilization of Fractional-Order Linear Systems with Polytopic Uncertainties. Appl. Math. Comput. 2015, 257, 274–284. [Google Scholar]
- Zhang, X.F.; Chen, Y.Q. Admissibility and Robust Stabilization of Continuous Linear Singular Fractional Order Systems with The Fractional Order α: The 0 < α < 1 Case. ISA Trans. 2018, 82, 42–50. [Google Scholar]
- Israel, A.B. On Error Bounds for Generalized Inverses. SIAM J. Numer. Anal. 1966, 3, 585–592. [Google Scholar] [CrossRef]
- Xu, S.J.; Darouach, M. On The Robustness of Linear Systems with Nonlinear Uncertain Parameters. Automatica 1998, 34, 1005–1008. [Google Scholar] [CrossRef]
- Li, X.; Desouzat, C. Criteria for Robust Stability And Stabilization of Uncertain Linear Systems with State Delay. Automatica 1997, 33, 1657–1662. [Google Scholar] [CrossRef]
- Boyd, S.; Ghaoui, L.; Feron, E.; Balakrishnan, V. Linear Matrix Inequalities in System and Control Theory; Society for Industrial and Applied Mathematics: Philadelphia, PA, USA, 1994. [Google Scholar]
- Kaczorek, T. Descriptor Fractional Linear Systems with Regular Pencils. Asian J. Control 2013, 15, 1051–1064. [Google Scholar] [CrossRef]


Publisher’s Note: MDPI stays neutral with regard to jurisdictional claims in published maps and institutional affiliations. |
© 2020 by the authors. Licensee MDPI, Basel, Switzerland. This article is an open access article distributed under the terms and conditions of the Creative Commons Attribution (CC BY) license (http://creativecommons.org/licenses/by/4.0/).
Share and Cite
Zhang, X.; Dong, J. LMI Criteria for Admissibility and Robust Stabilization of Singular Fractional-Order Systems Possessing Poly-Topic Uncertainties. Fractal Fract. 2020, 4, 58. https://doi.org/10.3390/fractalfract4040058
Zhang X, Dong J. LMI Criteria for Admissibility and Robust Stabilization of Singular Fractional-Order Systems Possessing Poly-Topic Uncertainties. Fractal and Fractional. 2020; 4(4):58. https://doi.org/10.3390/fractalfract4040058
Chicago/Turabian StyleZhang, Xuefeng, and Jia Dong. 2020. "LMI Criteria for Admissibility and Robust Stabilization of Singular Fractional-Order Systems Possessing Poly-Topic Uncertainties" Fractal and Fractional 4, no. 4: 58. https://doi.org/10.3390/fractalfract4040058
APA StyleZhang, X., & Dong, J. (2020). LMI Criteria for Admissibility and Robust Stabilization of Singular Fractional-Order Systems Possessing Poly-Topic Uncertainties. Fractal and Fractional, 4(4), 58. https://doi.org/10.3390/fractalfract4040058

