Improving Flat Maxima with Natural Gradient for Better Adversarial Transferability
Abstract
1. Introduction
- We reveal the intrinsic relationship between the attack objectives of SAM and PGN in the context of adversarial attacks, demonstrating that the gradient of PGN can be expressed as a linear combination of the SAM gradient and the original loss gradient. This insight enables the extension of the optimization of adversarial example regions in SAM to PGN.
- We address the issues of the existing flat maxima attack approaches (SAM and PGN) by considering the information geometry of the input space. Specifically, we redefine the neighborhood structure of adversarial examples from the Euclidean space to the manifold defined by the Fisher metric. To the best of our knowledge, this aspect has not been previously studied.
- An approximation of the Fisher information metric is proposed under the model ensemble setting, resulting in the same computational complexity of the proposd attack method as SAM and PGN, , where n represents the image size. This approximation achieves consistent performance as full Fisher matrix without incurring additional computational cost.
2. Related Work
2.1. Transfer-Based Attack
2.2. Flat Loss Surface and Transferability
3. Methodology
3.1. Preliminaries
3.2. Finding Flat Maxima Strategies
3.3. Manifold Extensions Using Natural Gradient
3.4. Approximating Fisher Information Matrix
| Algorithm 1: Calculating Natural Gradient |
| Input: Surrogate networks with parameters ensemble , loss function ; |
| adversarial example ; |
| Output: The direction under the Fisher metric . |
| Algorithm 2: NG-PGN attack method (based on MI-FGSM) |
![]() |
4. Experiment
4.1. Experimental Settings
- (1)
- Dataset: Following the protocol established in previous studies [6,7,9,27], we conduct our experiments on 3 widely used datasets, ImageNet-compatible [35], CIFAR-10 and CIFAR-100. For the ImageNet-compatible dataset, it is comprised of 1000 images with the size of 299 × 299 × 3. For both CIFAR-10 and CIFAR-100, we select 1000 images along with their corresponding true labels from the test set. The image size is 32 × 32 × 3.
- (2)
- Target models: To validate the effectiveness of our methods, we test attack performance in comprehensive models. For the black-box attacks task on the ImageNet-compatible dataset, we select five normally trained models from both Convolutional Neural Networks (CNNs) and Vision Transformers (ViTs): ResNet-152 (Res-152) [38], DenseNet-121 (Dense-121) [52], ViT-Base (ViT-B) [53], Swin-Base (Swin-B) [37], and Deit-Base (Deit-B) [54], all are pretrained and available in Timm [55]. We also consider adversarially trained models, including Inc-v, Inc-v, Inc-v, and Inc-Res-v [36]. Additionally, we evaluate various defense methods, such as HGD [56], RS [57], NRP [58], and Diffpure [59], which have demonstrated robustness against black-box attacks. For adversarial attacks on the CIFAR-10 and CIFAR-100, we select normally trained models, including Inc-v3 [60], MobileNet (Mobile) [61], and Densenet [52] as black-box target models.
- (3)
- Baselines: Since the Empirical Fisher approximation is implemented in the model ensemble setting, we compare the proposed NG-PGN with state-of-the-art gradient optimization attacks under the model ensemble setting, including MI [4], NI [5], PI [62], VMI [6], VNI [6], EMI [7], RAP [9], and recent model ensemble attacks like SVRE [20], AdaEA [21], CWA [22] and SMER [45]. Additionally, we conduct ablation experiments comparing our method to the original PGN and SAM (both implemented under the Euclidean metric) to verify the effectiveness of our manifold.
- (4)
- Hyper-parameters: Following the conventional settings in previous works [4,6,8,9,10,11], we set the maximum perturbation to , the number of iterations , the step size , and the decay factor for MI-FGSM to . The neighborhood size r is set to . For the NG-PGN attack, we set the balancing coefficient . For the compared methods, we use the optimal hyper-parameters as reported in their respective papers. All the experiments were implemented using Pytorch 2.1.2 on an Intel(R) Core(TM) i9-14900K and a NVIDIA GeForce RTX 4090 GPU with 24 GB graph memory.
- (5)
- Metrics: We use the black-box attack success rates (ASR) as the evaluation metric, which is calculated as the percentage of attacks that successfully cause a model to misclassify or generate incorrect outputs. This metric is pivotal in evaluating the robustness of models to adversarial perturbations.
4.2. Attack Results
4.3. Combined with Input Transformation Attacks
4.4. Visualization of Attack Influence
- (1)
- Loss landscape: To validate that our proposed NG-PGN method helps adversarial examples find flatter maxima regions, we compare the loss surface maps of adversarial examples generated by various attack methods on a surrogate model ensemble (Inc-v3, Res-101, Inc-v4, and IncRes-v2). The adversarial example is positioned at the center of the loss landscape. We randomly select one image from the dataset and visualize loss surfaces of corresponding adversarial examples generated by different attack methods in Figure 4. The comparison reveals that the adversarial examples generated by our approach reside in larger and smoother local maxima regions.
- (2)
- Heatmap: Furthermore, to intuitively illustrate the attack performance, we visualize the attention heatmaps of a clean image and adversarial examples generated by different methods under the black-box ResNet-152 model in Figure 5. As shown in Figure 5a, ResNet-152 focuses on the primary object in the clean image. Figure 5b–k demonstrate that although the attention shifts slightly under adversarial perturbations from other attack methods, it still largely aligns with the focus of the clean image. In contrast, as depicted in Figure 5l, the attention induced by adversarial examples generated by NG-PGN deviates significantly, no longer concentrating on semantically relevant regions.
4.5. Quantitative Comparison on Loss Landscape Flatness
4.6. Validation of the Fisher Information Matrix Approximation
4.7. Computational Cost and Efficiency Analysis
4.8. Ablation Study on Metrics
4.9. Ablation Study on Hyper-Parameters
- (1)
- The Balancing Coefficient : As , the proposed attack is termed NG-PGN. According to the Proof in Section 3.2, when is fixed, increasing is equivalent to increasing the weight of the gradient norm penalty term. Conversely, for fixed , increasing is equivalent to reducing the size of the neighborhood. As shown in the following Figure 6a, the attack success rates achieve the peak for these black-box models when setting to .
- (2)
- The maximum perturbation : The impact of perturbation magnitude on the attack success rates of NG-PGN is illustrated in Figure 6b. We observe that a larger perturbation results in higher attack success rates. To balance the attacks success rates and the imperceptibility of adversarial examples, we set the perturbation size to in our experiments.
- (3)
- The size of neighborhood : In SAM, the size of neighborhood constrains the distance between the worst-case and the current point, which also applies to manifolds with non-Euclidean measures. As shown in Figure 6c, we study the influence of the in the NG-PGN and NG-SAM. As we increase from to , the transferability increases and achieves the peak at .
4.10. Further Analysis
- (1)
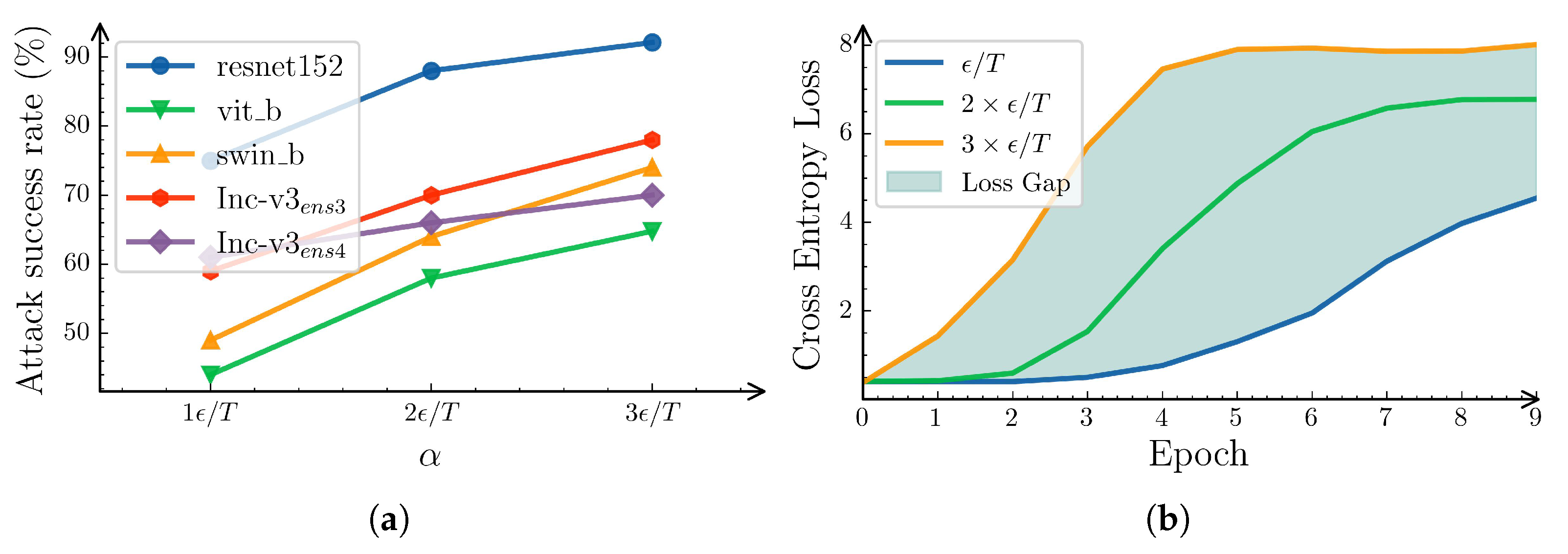
- Whydoes NG-SAM underperform NG-PGN? Under small iteration step sizes, NG-SAM demonstrates poor performance, particularly exhibiting lower transferability on normally trained models. We argue that the SAM strategy primarily guides adversarial examples toward flat regions of the loss landscape, without significantly increasing the loss value. To support this claim, we conducted a comparison experiment with NG-SAM at different step sizes. Figure 7a shows the attack success rates of NG-SAM vary with different values of , and Figure 7b shows the loss gap between NG-SAM using different step sizes. The attack success rates increase as the loss value rises, further confirming our argument.
- (2)
- Attack large visual language models: Furthermore, to illustrate the effectiveness of adversarial examples generated by NG-PGN, we conducted experiments on three large visual language models: GPT-4o (https://chat.openai.com/chat, accessed on 29 December 2025), ChatGLM-4.1v (https://chatglm.cn/main/alltoolsdetail?lang=en, accessed on 29 December 2025), and Google Gemini 2.0 (https://gemini.google.com/app, accessed on 29 December 2025). The surrogate models for generating adversarial examples include ViT-B and Swin-B. As shown in Figure 8, these models are fooled to varying degrees when describing the adversarial images. For instance, ChatGPT-4o and ChatGLM incorrectly identified the species, while Gemini miscounted the number of animals in the adversarial example.
5. Conclusions
Author Contributions
Funding
Data Availability Statement
Conflicts of Interest
References
- Szegedy, C.; Zaremba, W.; Sutskever, I.; Bruna, J.; Erhan, D.; Goodfellow, I.; Fergus, R. Intriguing properties of neural networks. arXiv 2013, arXiv:1312.6199. [Google Scholar]
- Goodfellow, I.J.; Shlens, J.; Szegedy, C. Explaining and harnessing adversarial examples. arXiv 2014, arXiv:1412.6572. [Google Scholar]
- Guo, R.; Chen, Q.; Liu, H.; Wang, W. Adversarial robustness enhancement for deep learning-based soft sensors: An adversarial training strategy using historical gradients and domain adaptation. Sensors 2024, 24, 3909. [Google Scholar] [CrossRef] [PubMed]
- Dong, Y.; Liao, F.; Pang, T.; Su, H.; Zhu, J.; Hu, X.; Li, J. Boosting adversarial attacks with momentum. In Proceedings of the IEEE Conference on Computer Vision and Pattern Recognition, Salt Lake City, UT, USA, 18–22 June 2018; pp. 9185–9193. [Google Scholar]
- Lin, J.; Song, C.; He, K.; Wang, L.; Hopcroft, J.E. Nesterov Accelerated Gradient and Scale Invariance for Adversarial Attacks. In Proceedings of the 8th International Conference on Learning Representations, ICLR 2020, Addis Ababa, Ethiopia, 26–30 April 2020; OpenReview.net: Alameda, CA, USA, 2020. [Google Scholar]
- Wang, X.; He, K. Enhancing the transferability of adversarial attacks through variance tuning. In Proceedings of the IEEE/CVF Conference on Computer Vision and Pattern Recognition, Virtual, 19–25 June 2021; pp. 1924–1933. [Google Scholar]
- Wang, X.; Lin, J.; Hu, H.; Wang, J.; He, K. Boosting adversarial transferability through enhanced momentum. arXiv 2021, arXiv:2103.10609. [Google Scholar] [CrossRef]
- Ge, Z.; Liu, H.; Xiaosen, W.; Shang, F.; Liu, Y. Boosting adversarial transferability by achieving flat local maxima. Adv. Neural Inf. Process. Syst. 2023, 36, 70141–70161. [Google Scholar]
- Qin, Z.; Fan, Y.; Liu, Y.; Shen, L.; Zhang, Y.; Wang, J.; Wu, B. Boosting the transferability of adversarial attacks with reverse adversarial perturbation. Adv. Neural Inf. Process. Syst. 2022, 35, 29845–29858. [Google Scholar]
- Yang, X.; Lin, J.; Zhang, H.; Yang, X.; Zhao, P. Improving the transferability of adversarial examples via direction tuning. arXiv 2023, arXiv:2303.15109. [Google Scholar] [CrossRef]
- Zhu, H.; Ren, Y.; Sui, X.; Yang, L.; Jiang, W. Boosting adversarial transferability via gradient relevance attack. In Proceedings of the IEEE/CVF International Conference on Computer Vision, Paris, France, 2–6 October 2023; pp. 4741–4750. [Google Scholar]
- Liang, L.; Hu, X.; Deng, L.; Wu, Y.; Li, G.; Ding, Y.; Li, P.; Xie, Y. Exploring Adversarial Attack in Spiking Neural Networks with Spike-Compatible Gradient. IEEE Trans. Neural Netw. Learn. Syst. 2023, 34, 2569–2583. [Google Scholar] [CrossRef]
- Chen, J.; Feng, Z.; Zeng, R.; Pu, Y.; Zhou, C.; Jiang, Y.; Gan, Y.; Li, J.; Ji, S. Enhancing Adversarial Transferability with Adversarial Weight Tuning. In Proceedings of the AAAI Conference on Artificial Intelligence, 2025; AAAI Press: Washington, DC, USA, 2025; pp. 2061–2069. [Google Scholar]
- Xie, C.; Zhang, Z.; Zhou, Y.; Bai, S.; Wang, J.; Ren, Z.; Yuille, A.L. Improving transferability of adversarial examples with input diversity. In Proceedings of the IEEE/CVF Conference on Computer Vision and Pattern Recognition, Long Beach, CA, USA, 16–20 June 2019; pp. 2730–2739. [Google Scholar]
- Dong, Y.; Pang, T.; Su, H.; Zhu, J. Evading defenses to transferable adversarial examples by translation-invariant attacks. In Proceedings of the IEEE/CVF Conference on Computer Vision and Pattern Recognition, Long Beach, CA, USA, 16–20 June 2019; pp. 4312–4321. [Google Scholar]
- Wang, X.; He, X.; Wang, J.; He, K. Admix: Enhancing the transferability of adversarial attacks. In Proceedings of the IEEE/CVF International Conference on Computer Vision, Virtual, 11–17 October 2021; pp. 16158–16167. [Google Scholar]
- Wang, X.; Zhang, Z.; Zhang, J. Structure invariant transformation for better adversarial transferability. In Proceedings of the IEEE/CVF International Conference on Computer Vision, Paris, France, 2–6 October 2023; pp. 4607–4619. [Google Scholar]
- Wei, X.; Zhao, S. Boosting adversarial transferability with learnable patch-wise masks. IEEE Trans. Multimed. 2023, 26, 3778–3787. [Google Scholar] [CrossRef]
- Zhang, J.; Huang, J.t.; Wang, W.; Li, Y.; Wu, W.; Wang, X.; Su, Y.; Lyu, M.R. Improving the transferability of adversarial samples by path-augmented method. In Proceedings of the IEEE/CVF Conference on Computer Vision and Pattern Recognition, Vancouver, BC, Canada, 18–22 June 2023; pp. 8173–8182. [Google Scholar]
- Xiong, Y.; Lin, J.; Zhang, M.; Hopcroft, J.E.; He, K. Stochastic variance reduced ensemble adversarial attack for boosting the adversarial transferability. In Proceedings of the IEEE/CVF Conference on Computer Vision and Pattern Recognition, New Orleans, LA, USA, 19–24 June 2022; pp. 14983–14992. [Google Scholar]
- Chen, B.; Yin, J.; Chen, S.; Chen, B.; Liu, X. An adaptive model ensemble adversarial attack for boosting adversarial transferability. In Proceedings of the IEEE/CVF International Conference on Computer Vision, Paris, France, 2–6 October 2023; pp. 4489–4498. [Google Scholar]
- Chen, H.; Zhang, Y.; Dong, Y.; Yang, X.; Su, H.; Zhu, J. Rethinking model ensemble in transfer-based adversarial attacks. arXiv 2023, arXiv:2303.09105. [Google Scholar]
- Huang, H.; Chen, Z.; Chen, H.; Wang, Y.; Zhang, K. T-sea: Transfer-based self-ensemble attack on object detection. In Proceedings of the IEEE/CVF Conference on Computer Vision and Pattern Recognition, Vancouver, BC, Canada, 18–22 June 2023; pp. 20514–20523. [Google Scholar]
- Foret, P.; Kleiner, A.; Mobahi, H.; Neyshabur, B. Sharpness-aware minimization for efficiently improving generalization. arXiv 2020, arXiv:2010.01412. [Google Scholar]
- Si, D.; Yun, C. Practical sharpness-aware minimization cannot converge all the way to optima. Adv. Neural Inf. Process. Syst. 2024, 36, 26190–26228. [Google Scholar]
- Liu, Y.; Mai, S.; Cheng, M.; Chen, X.; Hsieh, C.J.; You, Y. Random sharpness-aware minimization. Adv. Neural Inf. Process. Syst. 2022, 35, 24543–24556. [Google Scholar]
- Zhao, Y.; Zhang, H.; Hu, X. Penalizing gradient norm for efficiently improving generalization in deep learning. In Proceedings of the International Conference on Machine Learning, Baltimore, MD, USA, 17–23 July 2022; PMLR: Cambridge MA, USA, 2022; pp. 26982–26992. [Google Scholar]
- Liang, H.; Zheng, H.; Wang, H.; He, L.; Lin, H.; Liang, Y. Exploring Flatter Loss Landscape Surface via Sharpness-Aware Minimization with Linear Mode Connectivity. Mathematics 2025, 13, 1259. [Google Scholar] [CrossRef]
- Su, D.; Jin, L.; Wang, J. Noise-resistant sharpness-aware minimization in deep learning. Neural Netw. 2025, 181, 106829. [Google Scholar] [CrossRef]
- Zhang, Y.; Hu, S.; Zhang, L.; Shi, J.; Li, M.; Liu, X.; Wan, W.; Jin, H. Why Does Little Robustness Help? A Further Step Towards Understanding Adversarial Transferability. In Proceedings of the 2024 IEEE Symposium on Security and Privacy (SP), Los Alamitos, CA, USA, 19–23 May 2024; p. 10. [Google Scholar] [CrossRef]
- Zhao, C.; Fletcher, P.T.; Yu, M.; Peng, Y.; Zhang, G.; Shen, C. The adversarial attack and detection under the fisher information metric. In Proceedings of the AAAI Conference on Artificial Intelligence, Honolulu, HI, USA, 27 January–1 February 2019; pp. 5869–5876. [Google Scholar]
- Kim, M.; Li, D.; Hu, S.X.; Hospedales, T. Fisher sam: Information geometry and sharpness aware minimisation. In Proceedings of the International Conference on Machine Learning; PMLR: Cambridge MA, USA, 2022; pp. 11148–11161. [Google Scholar]
- Zhong, Q.; Ding, L.; Shen, L.; Mi, P.; Liu, J.; Du, B.; Tao, D. Improving sharpness-aware minimization with fisher mask for better generalization on language models. arXiv 2022, arXiv:2210.05497. [Google Scholar] [CrossRef]
- Chen, Y.; Liu, W. A theory of transfer-based black-box attacks: Explanation and implications. Adv. Neural Inf. Process. Syst. 2023, 36, 13887–13907. [Google Scholar]
- K, A.; Hamner, B.; Goodfellow, I. NIPS 2017: Non-Targeted Adversarial Attack. Kaggle. 2017. Available online: https://kaggle.com/competitions/nips-2017-non-targeted-adversarial-attack (accessed on 29 December 2025).
- Tramèr, F.; Kurakin, A.; Papernot, N.; Goodfellow, I.; Boneh, D.; McDaniel, P. Ensemble adversarial training: Attacks and defenses. arXiv 2017, arXiv:1705.07204. [Google Scholar]
- Liu, Z.; Lin, Y.; Cao, Y.; Hu, H.; Wei, Y.; Zhang, Z.; Lin, S.; Guo, B. Swin transformer: Hierarchical vision transformer using shifted windows. In Proceedings of the IEEE/CVF International Conference on Computer Vision, Montreal, BC, Canada, 11–17 October 2021; pp. 10012–10022. [Google Scholar]
- He, K.; Zhang, X.; Ren, S.; Sun, J. Deep residual learning for image recognition. In Proceedings of the IEEE Conference on Computer Vision and Pattern Recognition, Las Vegas, NV, USA, 27–30 June 2016; pp. 770–778. [Google Scholar]
- Liu, C.; Zhu, L.; Belkin, M. Loss landscapes and optimization in over-parameterized non-linear systems and neural networks. Appl. Comput. Harmon. Anal. 2022, 59, 85–116. [Google Scholar]
- Long, Y.; Zhang, Q.; Zeng, B.; Gao, L.; Liu, X.; Zhang, J.; Song, J. Frequency domain model augmentation for adversarial attack. In Proceedings of the European Conference on Computer Vision; Springer: Berlin/Heidelberg, Germany, 2022; pp. 549–566. [Google Scholar]
- Wang, K.; He, X.; Wang, W.; Wang, X. Boosting adversarial transferability by block shuffle and rotation. In Proceedings of the IEEE/CVF Conference on Computer Vision and Pattern Recognition, Seattle, WA, USA, 16–22 June 2024; pp. 24336–24346. [Google Scholar]
- Liu, Y.; Chen, X.; Liu, C.; Song, D. Delving into transferable adversarial examples and black-box attacks. arXiv 2016, arXiv:1611.02770. [Google Scholar]
- Yang, Z.; Li, L.; Xu, X.; Zuo, S.; Chen, Q.; Zhou, P.; Rubinstein, B.; Zhang, C.; Li, B. Trs: Transferability reduced ensemble via promoting gradient diversity and model smoothness. Adv. Neural Inf. Process. Syst. 2021, 34, 17642–17655. [Google Scholar]
- Li, Q.; Guo, Y.; Zuo, W.; Chen, H. Making substitute models more bayesian can enhance transferability of adversarial examples. arXiv 2023, arXiv:2302.05086. [Google Scholar] [CrossRef]
- Tang, B.; Wang, Z.; Bin, Y.; Dou, Q.; Yang, Y.; Shen, H.T. Ensemble diversity facilitates adversarial transferability. In Proceedings of the IEEE/CVF Conference on Computer Vision and Pattern Recognition, Seattle, WA, USA, 17–21 June 2024; pp. 24377–24386. [Google Scholar]
- Keskar, N.S.; Mudigere, D.; Nocedal, J.; Smelyanskiy, M.; Tang, P.T.P. On large-batch training for deep learning: Generalization gap and sharp minima. arXiv 2016, arXiv:1609.04836. [Google Scholar]
- Neyshabur, B.; Bhojanapalli, S.; McAllester, D.; Srebro, N. Exploring generalization in deep learning. Adv. Neural Inf. Process. Syst. 2017, 30. [Google Scholar] [CrossRef]
- Izmailov, P.; Podoprikhin, D.; Garipov, T.; Vetrov, D.; Wilson, A.G. Averaging weights leads to wider optima and better generalization. arXiv 2018, arXiv:1803.05407. [Google Scholar]
- Jiang, Y.; Neyshabur, B.; Mobahi, H.; Krishnan, D.; Bengio, S. Fantastic generalization measures and where to find them. arXiv 2019, arXiv:1912.02178. [Google Scholar] [CrossRef]
- Qiu, C.; Duan, Y.; Zhao, L.; Wang, Q. Enhancing Adversarial Transferability Through Neighborhood Conditional Sampling. arXiv 2024, arXiv:2405.16181. [Google Scholar] [CrossRef]
- Wu, T.; Luo, T.; Wunsch, D.C. Gnp attack: Transferable adversarial examples via gradient norm penalty. In Proceedings of the 2023 IEEE International Conference on Image Processing (ICIP); IEEE: Piscataway, NJ, USA, 2023; pp. 3110–3114. [Google Scholar]
- Huang, G.; Liu, Z.; Van Der Maaten, L.; Weinberger, K.Q. Densely connected convolutional networks. In Proceedings of the IEEE Conference on Computer Vision and Pattern Recognition, Honolulu, HI, USA, 21–26 July 2017; pp. 4700–4708. [Google Scholar]
- Dosovitskiy, A.; Beyer, L.; Kolesnikov, A.; Weissenborn, D.; Zhai, X.; Unterthiner, T.; Dehghani, M.; Minderer, M.; Heigold, G.; Gelly, S.; et al. An image is worth 16x16 words: Transformers for image recognition at scale. arXiv 2020, arXiv:2010.11929. [Google Scholar]
- Touvron, H.; Cord, M.; Douze, M.; Massa, F.; Sablayrolles, A.; Jégou, H. Training data-efficient image transformers & distillation through attention. In Proceedings of the International Conference on Machine Learning; PMLR: Cambridge MA, USA, 2021; pp. 10347–10357. [Google Scholar]
- Wightman, R. PyTorch Image Models. 2019. Available online: https://github.com/rwightman/pytorch-image-models (accessed on 29 December 2025).
- Liao, F.; Liang, M.; Dong, Y.; Pang, T.; Hu, X.; Zhu, J. Defense against adversarial attacks using high-level representation guided denoiser. In Proceedings of the IEEE Conference on Computer Vision and Pattern Recognition, Salt Lake City, UT, USA, 18–23 June 2018; pp. 1778–1787. [Google Scholar]
- Jia, J.; Cao, X.; Wang, B.; Gong, N.Z. Certified robustness for top-k predictions against adversarial perturbations via randomized smoothing. arXiv 2019, arXiv:1912.09899. [Google Scholar] [CrossRef]
- Naseer, M.; Khan, S.; Hayat, M.; Khan, F.S.; Porikli, F. A self-supervised approach for adversarial robustness. In Proceedings of the IEEE/CVF Conference on Computer Vision and Pattern Recognition, Seattle, WA, USA, 13–19 June 2020; pp. 262–271. [Google Scholar]
- Nie, W.; Guo, B.; Huang, Y.; Xiao, C.; Vahdat, A.; Anandkumar, A. Diffusion models for adversarial purification. arXiv 2022, arXiv:2205.07460. [Google Scholar]
- Szegedy, C.; Vanhoucke, V.; Ioffe, S.; Shlens, J.; Wojna, Z. Rethinking the inception architecture for computer vision. In Proceedings of the IEEE Conference on Computer Vision and Pattern Recognition, Las Vegas, NV, USA, 27–30 June 2016; pp. 2818–2826. [Google Scholar]
- Sandler, M.; Howard, A.; Zhu, M.; Zhmoginov, A.; Chen, L.C. Mobilenetv2: Inverted residuals and linear bottlenecks. In Proceedings of the IEEE Conference on Computer Vision and Pattern Recognition, Salt Lake City, UT, USA, 18–23 June 2018; pp. 4510–4520. [Google Scholar]
- Gao, L.; Zhang, Q.; Song, J.; Liu, X.; Shen, H.T. Patch-wise attack for fooling deep neural network. In Proceedings of the Computer Vision–ECCV 2020: 16th European Conference, Glasgow, UK, August 23–28, 2020, Proceedings, Part XXVIII 16; Springer: Berlin/Heidelberg, Germany, 2020; pp. 307–322. [Google Scholar]
- Szegedy, C.; Ioffe, S.; Vanhoucke, V.; Alemi, A. Inception-v4, inception-resnet and the impact of residual connections on learning. In Proceedings of the AAAI Conference on Artificial Intelligence, San Francisco, CA, USA, 4–9 February 2017. [Google Scholar]
- Simonyan, K.; Zisserman, A. Very deep convolutional networks for large-scale image recognition. arXiv 2014, arXiv:1409.1556. [Google Scholar]
- Hutchinson, M.F. A stochastic estimator of the trace of the influence matrix for Laplacian smoothing splines. Commun. Stat. Simul. Comput. 1989, 18, 1059–1076. [Google Scholar] [CrossRef]








| Attack | Normally Trained Models | Adversarially Trained Models | Defense Methods | ||||||||||
|---|---|---|---|---|---|---|---|---|---|---|---|---|---|
| Res | Dense | ViT-B | Swin-B | Deit-B | Inc-v | Inc-v | Inc-v | Inc-v | HGD | RS | NRP | Diffpure | |
| MI | 69.5 | 75.6 | 27.1 | 31.7 | 31.7 | 35.5 | 31.9 | 31.7 | 20.4 | 28.4 | 31.3 | 37.4 | 21.6 |
| NI | 76.6 | 82.9 | 28.4 | 31.0 | 31.9 | 37.7 | 31.5 | 29.1 | 20.8 | 24.6 | 30.6 | 39.2 | 26.5 |
| PI | 74.9 | 82.4 | 44.8 | 32.0 | 37.9 | 48.6 | 39.5 | 36.4 | 24.6 | 26.2 | 34.5 | 40.7 | 14.1 |
| VMI | 81.5 | 86.9 | 49.3 | 53.6 | 53.3 | 61.3 | 65.1 | 61.3 | 53.7 | 55.3 | 37.1 | 46.5 | 31.7 |
| VNI | 90.5 | 93.4 | 45.9 | 54.5 | 52.7 | 62.4 | 62.3 | 58.9 | 52.7 | 60.8 | 39.4 | 47.9 | 37.2 |
| EMI | 93.9 | 96.2 | 49.5 | 56.6 | 54.0 | 62.5 | 58.3 | 52.4 | 40.5 | 65.2 | 40.1 | 48.8 | 42.9 |
| RAP | 91.2 | 94.6 | 45.4 | 53.1 | 51.7 | 51.2 | 35.0 | 31.3 | 19.1 | 70.4 | 53.4 | 50.2 | 41.2 |
| PGN | 89.3 | 93.0 | 75.5 | 72.5 | 76.1 | 85.5 | 86.5 | 85.4 | 80.7 | 80.2 | 64.2 | 54.9 | 44.6 |
| SVRE | 79.8 | 85.2 | 28.5 | 33.9 | 30.6 | 51.1 | 47.7 | 55.6 | 46.3 | 47.6 | 40.2 | 30.5 | 22.5 |
| AdaEA | 78.2 | 80.6 | 53.6 | 61.5 | 60.3 | 48.3 | 55.2 | 56.2 | 40.3 | 45.8 | 41.6 | 32.6 | 21.4 |
| CWA | 80.5 | 80.2 | 54.7 | 51.2 | 52.9 | 55.0 | 63.5 | 58.8 | 51.7 | 49.8 | 46.2 | 35.9 | 34.9 |
| SMER | 83.2 | 85.0 | 84.0 | 64.7 | 65.1 | 60.9 | 70.2 | 62.0 | 44.5 | 56.3 | 47.5 | 42.1 | 38.7 |
| NG-PGN | 90.6 | 93.6 | 76.5 | 74.8 | 76.2 | 87.6 | 88.0 | 86.9 | 81.8 | 85.4 | 47.1 | 56.2 | 48.3 |
| Attack | Normally Trained Models | Adversarially Trained Models | |||||||||
|---|---|---|---|---|---|---|---|---|---|---|---|
| Res-152 | Dense-121 | Inc-v4 | Swin-B | Deit-B | Avg. | Inc-v | Inc-v | Inc-v | Inc-v | Avg. | |
| MI | 57.3 | 65.0 | 60.6 | 41.2 | 61.2 | 57.1 | 54.3 | 48.4 | 48.7 | 38.7 | 47.5 |
| NI | 64.1 | 72.9 | 69.1 | 41.2 | 59.9 | 61.4 | 62.5 | 54.9 | 52.6 | 41.5 | 52.9 |
| PI | 62.5 | 76.1 | 72.8 | 34.7 | 58.5 | 60.9 | 68.3 | 64.9 | 60.5 | 53.5 | 61.8 |
| VMI | 73.3 | 78.4 | 79.1 | 58.2 | 75.4 | 72.9 | 74.6 | 71.2 | 69.6 | 61.5 | 69.2 |
| VNI | 80.8 | 85.3 | 83.9 | 61.6 | 77.9 | 77.9 | 78.6 | 75.6 | 73.4 | 65.8 | 73.4 |
| EMI | 86.0 | 88.0 | 86.8 | 64.6 | 82.4 | 81.6 | 80.9 | 74.9 | 73.3 | 65.5 | 73.7 |
| RAP | 86.0 | 91.0 | 89.2 | 64.0 | 82.0 | 82.4 | 80.1 | 69.3 | 66.4 | 51.8 | 66.9 |
| PGN | 85.5 | 90.3 | 91.1 | 74.3 | 89.7 | 86.1 | 86.1 | 87.2 | 86.5 | 83.1 | 85.7 |
| SVRE | 62.0 | 68.7 | 63.9 | 40.7 | 54.4 | 57.9 | 63.4 | 55.0 | 53.8 | 42.4 | 53.6 |
| AdaEA | 57.9 | 63.6 | 59.2 | 66.7 | 65.5 | 58.6 | 60.6 | 58.4 | 56.3 | 45.8 | 59.3 |
| CWA | 73.9 | 78.5 | 66.8 | 64.9 | 61.5 | 61.1 | 70.5 | 62.2 | 63.8 | 50.8 | 65.6 |
| SMER | 74.3 | 79.8 | 72.8 | 58.1 | 74.9 | 71.9 | 72.6 | 72.7 | 72.3 | 63.8 | 70.4 |
| NG-PGN | 87.3 | 91.7 | 92.6 | 76.8 | 92.7 | 88.2 | 89.7 | 88.1 | 87.1 | 83.3 | 87.0 |
| Attack | CIFAR-10 | CIFAR-100 | ||||||||||||
|---|---|---|---|---|---|---|---|---|---|---|---|---|---|---|
| VGG | Res-18 | Res-50 | Inc-v3 | Mobile | Densenet | Avg. | VGG | Res-18 | Res-50 | Inc-v3 | Mobile | Densenet | Avg. | |
| MI | 68.7 | 80.1 | 76.0 | 68.5 | 70.7 | 68.2 | 72.0 | 77.1 | 75.0 | 73.9 | 53.3 | 60.7 | 56.6 | 66.1 |
| NI | 84.2 | 92.3 | 88.6 | 75.8 | 80.4 | 77.1 | 82.9 | 79.4 | 78.1 | 76.6 | 53.5 | 63.9 | 57.4 | 68.1 |
| PI | 83.0 | 51.9 | 48.9 | 28.1 | 29.1 | 34.8 | 38.5 | 61.8 | 66.4 | 65.9 | 28.4 | 36.0 | 35.1 | 48.9 |
| VMI | 75.0 | 83.9 | 81.8 | 74.6 | 76.7 | 74.3 | 77.7 | 88.6 | 85.6 | 84.5 | 68.3 | 75.3 | 69.6 | 78.6 |
| VNI | 86.0 | 92.7 | 89.5 | 81.7 | 84.8 | 82.5 | 86.2 | 91.6 | 88.6 | 87.5 | 71.3 | 78.3 | 72.6 | 81.6 |
| EMI | 92.8 | 92.3 | 89.5 | 90.7 | 90.2 | 85.4 | 90.2 | 89.7 | 87.4 | 86.4 | 73.9 | 79.4 | 74.1 | 81.8 |
| RAP | 93.0 | 90.2 | 88.2 | 89.4 | 91.0 | 83.7 | 89.3 | 92.1 | 86.5 | 86.2 | 74.0 | 78.7 | 71.6 | 81.5 |
| PGN | 93.8 | 90.4 | 89.8 | 90.8 | 92.3 | 87.0 | 90.7 | 93.7 | 87.0 | 84.9 | 75.8 | 81.4 | 72.0 | 82.5 |
| SVRE | 91.8 | 90.9 | 88.6 | 81.2 | 84.3 | 81.1 | 86.3 | 88.2 | 86.6 | 86.6 | 63.6 | 75.0 | 67.6 | 77.9 |
| AdaEA | 86.1 | 80.5 | 83.8 | 72.6 | 74.2 | 73.6 | 78.4 | 85.9 | 86.4 | 84.7 | 60.8 | 70.2 | 67.1 | 75.9 |
| CWA | 88.9 | 90.5 | 87.5 | 80.8 | 84.2 | 77.0 | 84.8 | 90.0 | 87.6 | 89.0 | 67.2 | 77.6 | 69.1 | 80.1 |
| NG-PGN | 95.1 | 94.5 | 91.0 | 91.8 | 92.7 | 88.4 | 92.3 | 97.5 | 88.2 | 88.7 | 78.9 | 85.6 | 75.2 | 85.7 |
| Method | MI | RAP | PGN | CWA | NG-PGN |
|---|---|---|---|---|---|
| Hessian Trace | 16.2 | 14.5 | 12.8 | 11.6 | 10.3 |
| Method | Empirical Fisher | Full Fisher Matrix |
|---|---|---|
| Attack success rate (%) ↑ | 92.3 | 93.5 |
| Time cost (s) ↓ | 4.45 | 77.6 |
| Memory usage (GB) ↓ | 0.3 | 12.5 |
| Method | MI | VMI | EMI | RAP | PGN | NG-PGN |
|---|---|---|---|---|---|---|
| Time/Iter (s) | 0.8 | 2.9 | 2.1 | 26.2 | 11.1 | 11.3 |
| Total Attack Time (s) | 8.9 | 30.5 | 20.4 | 269.4 | 110.5 | 112.4 |
| Attack | Res-152 | Dense-121 | ViT-B | Swin-B | Avg. |
|---|---|---|---|---|---|
| SAM | 71.6 | 78.5 | 43.7 | 50.4 | 61.1 |
| NG-SAM | 75.2 | 83.0 | 47.8 | 51.3 | 64.3 |
| Method | PGN | NG-PGN |
|---|---|---|
| Hessian trace ↓ | 12.8 | 10.3 |
| Time complexity | ||
| Computational cost (s) ↓ | 110.5 | 112.4 |
Disclaimer/Publisher’s Note: The statements, opinions and data contained in all publications are solely those of the individual author(s) and contributor(s) and not of MDPI and/or the editor(s). MDPI and/or the editor(s) disclaim responsibility for any injury to people or property resulting from any ideas, methods, instructions or products referred to in the content. |
© 2026 by the authors. Licensee MDPI, Basel, Switzerland. This article is an open access article distributed under the terms and conditions of the Creative Commons Attribution (CC BY) license.
Share and Cite
Long, Y.; Xu, H. Improving Flat Maxima with Natural Gradient for Better Adversarial Transferability. Big Data Cogn. Comput. 2026, 10, 27. https://doi.org/10.3390/bdcc10010027
Long Y, Xu H. Improving Flat Maxima with Natural Gradient for Better Adversarial Transferability. Big Data and Cognitive Computing. 2026; 10(1):27. https://doi.org/10.3390/bdcc10010027
Chicago/Turabian StyleLong, Yunfei, and Huosheng Xu. 2026. "Improving Flat Maxima with Natural Gradient for Better Adversarial Transferability" Big Data and Cognitive Computing 10, no. 1: 27. https://doi.org/10.3390/bdcc10010027
APA StyleLong, Y., & Xu, H. (2026). Improving Flat Maxima with Natural Gradient for Better Adversarial Transferability. Big Data and Cognitive Computing, 10(1), 27. https://doi.org/10.3390/bdcc10010027


