Source Term-Based Synthetic Turbulence Generator Applied to Compressible DNS of the T106A Low-Pressure Turbine †
Abstract
1. Introduction
2. Synthetic Eddy Method
2.1. Source-Term Formulation of the SEM
2.2. Source Term
2.3. Compressible Turbulent Plane Channel Flow
3. Methodology
3.1. Low-Pressure Turbine Model
3.2. Numerical Methods
4. Results
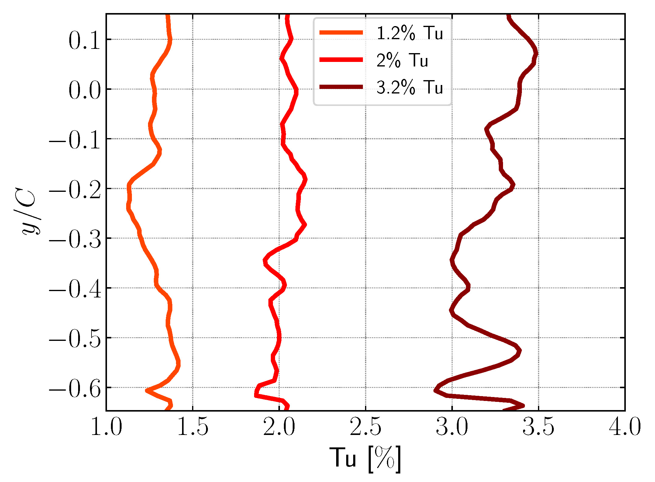
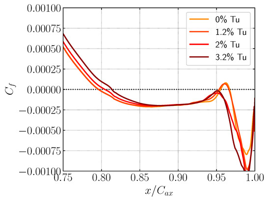
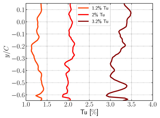
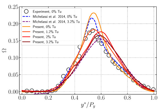
4.1. Dependence on Turbulence Intensity
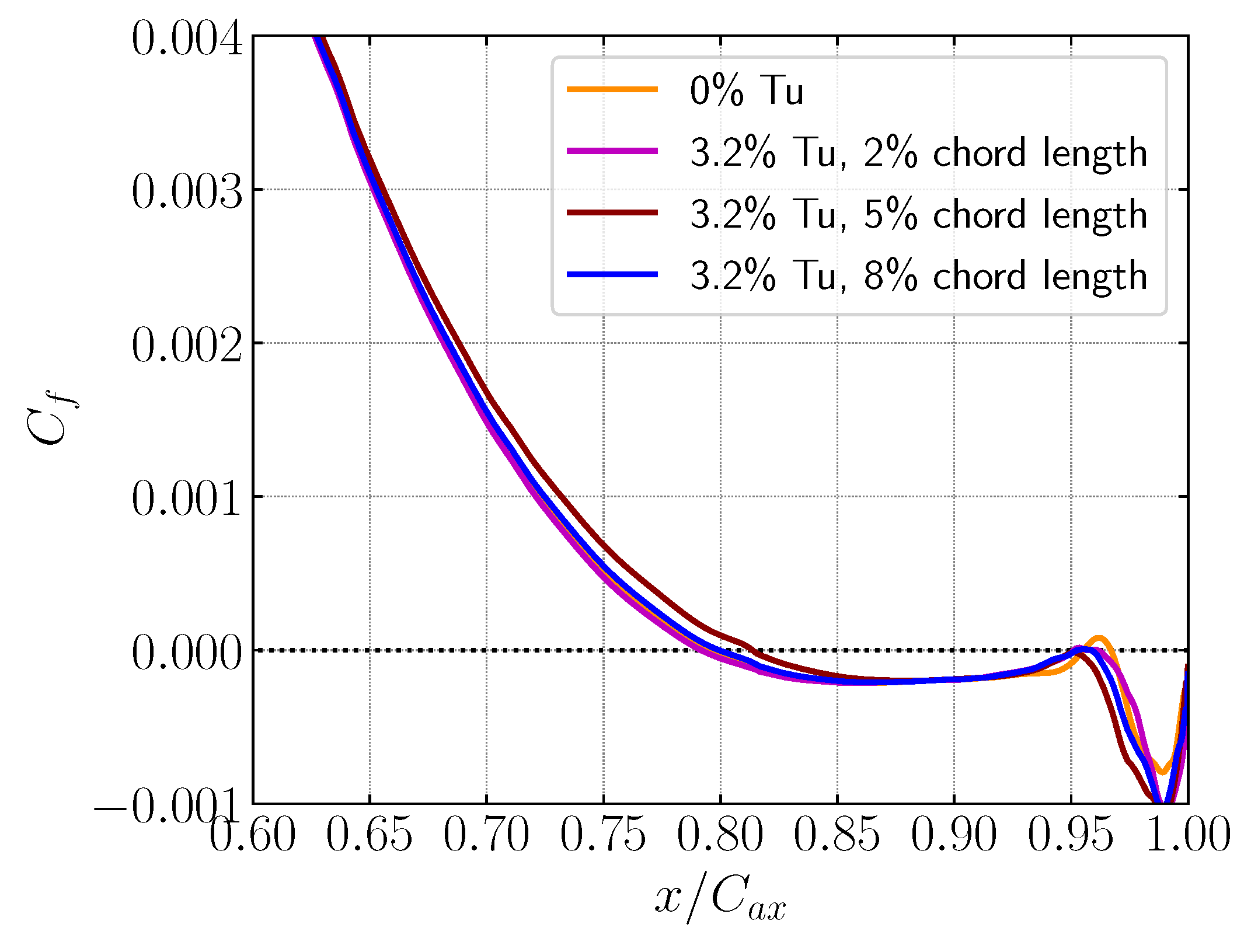
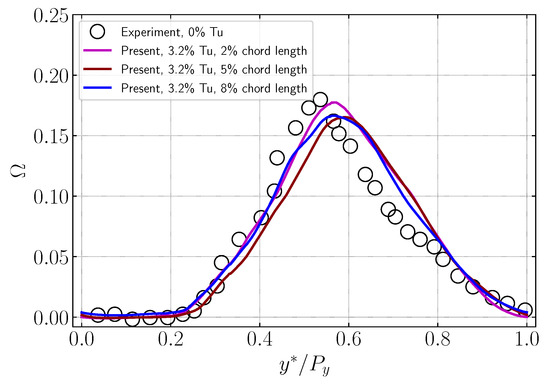
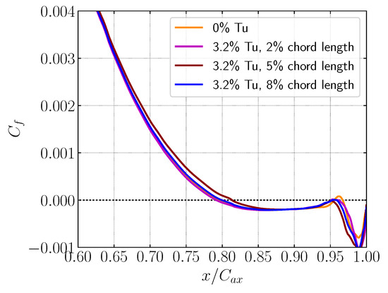
4.2. Dependence on Turbulence Length Scale
5. Conclusions
Author Contributions
Funding
Institutional Review Board Statement
Informed Consent Statement
Data Availability Statement
Acknowledgments
Conflicts of Interest
Abbreviations
| CFL | Courant–Friedrichs–Lewy |
| CTL | Convective Time Length |
| DNS | Direct Numerical Simulation |
| iLES | implicit Large Eddy Simulation |
| SEM | Synthetic Eddy Method |
Nomenclature
| lower triangular Cholesky matrix | |
| C | chord length |
| axial chord | |
| skin friction | |
| pressure distribution | |
| smooth function | |
| shape function | |
| space-dependent anisotropic turbulence length scale | |
| reference length scale | |
| streamwise and spanwise channel length | |
| channel height | |
| exit isentropic Mach number | |
| n | eddy number |
| static pressure | |
| outflow pressure | |
| P | polynomial order |
| pitch of the blade | |
| vector of conservative variables | |
| Reynolds number based on the friction velocity | |
| two-point correlation | |
| S | smooth step function |
| source term | |
| Tu | turbulence intensity |
| stochastic signal | |
| shear stress acting in the x direction | |
| friction velocity | |
| mean velocity | |
| turbulent boundary-layer velocity | |
| bulk velocity | |
| channel half height | |
| eddy sign | |
| wake loss | |
| fluid density | |
| sponge layer | |
| amplitude |
References
- Sandberg, R.; Pichler, R.; Chen, L. Assessing the sensitivity of turbine cascade flow to inflow disturbances using direct numerical simulation. In Proceedings of the 13th International Symposium for Unsteady Aerodynamics, Tokyo, Japan, 11–14 September 2012. [Google Scholar]
- Sandberg, R.D.; Pichler, R.; Chen, L.; Johnstone, R.; Michelassi, V. Compressible direct numerical simulation of low-pressure turbines: Part I—Methodology. In Proceedings of the ASME Turbo Expo 2014, Düsseldorf, Germany, 16–20 June 2014; p. V02DT44A013. [Google Scholar] [CrossRef]
- Michelassi, V.; Johnstone, R.; Pichler, R.; Chen, L.; Sandberg, R.D. Compressible direct numerical simulation of low-pressure turbines: Part II—Effect of inflow disturbances. In Proceedings of the ASME Turbo Expo 2014, Düsseldorf, Germany, 16–20 June 2014; p. V02DT44A014. [Google Scholar] [CrossRef]
- Garai, A.; Diosady, L.T.; Murman, S.M.; Madavan, N.K. DNS of flow in a low-pressure turbine cascade using a discontinuous-Galerkin spectral-element method. In Proceedings of the ASME Turbo Expo 2015, Montréal, QC, Canada, 15–19 June 2015; p. V02BT39A023. [Google Scholar] [CrossRef]
- Garai, A.; Diosady, L.T.; Murman, S.M.; Madavan, N.K. DNS of low-pressure turbine cascade flows with elevated inflow turbulence using a discontinuous-Galerkin spectral-element method. In Proceedings of the ASME Turbo Expo 2016, Seoul, Republic of Korea, 13–17 June 2016; p. V02CT39A025. [Google Scholar] [CrossRef]
- Michelassi, V.; Chen, L.; Pichler, R.; Sandberg, R.D.; Bhaskara, R. High-fidelity simulations of low-pressure turbines: Effect of flow coefficient and reduced frequency on losses. J. Turbomach. 2016, 138, 111006. [Google Scholar] [CrossRef]
- Sandberg, R.D.; Michelassi, V. The current state of high-fidelity simulations for main gas path turbomachinery components and their industrial impact. Flow Turbul. Combust. 2019, 102, 797–848. [Google Scholar] [CrossRef]
- Nakhchi, M.E.; Naung, S.W.; Rahmati, M. Direct numerical simulations of turbulent flow over low-pressure turbine blades with aeroelastic vibrations and inflow wakes. Energies 2023, 16, 2803. [Google Scholar] [CrossRef]
- Bergmann, M.; Morsbach, C.; Klose, B.F.; Ashcroft, G.; Kugeler, E. A numerical test rig for turbomachinery flows based on large eddy simulations with a high-order discontinuous Galerkin scheme—Part I: Sliding interfaces and unsteady row interactions. J. Turbomach. 2023, 146, 021005. [Google Scholar] [CrossRef]
- Morsbach, C.; Bergmann, M.; Tosun, A.; Klose, B.F.; Bechlars, P.; Kugeler, E. A numerical test rig for turbomachinery flows based on large eddy simulations with a high-order discontinuous Galerkin scheme—Part III: Secondary flow effects. J. Turbomach. 2023, 146, 021007. [Google Scholar] [CrossRef]
- Isler, J.; Vivarelli, G.; Cantwell, C.; Montomoli, F.; Sherwin, S.; Frey, Y.; Meyer, M.; Vazquez, R. Source-term based synthetic turbulence generator applied to compressible DNS of the T106A low-pressure turbine. In Proceedings of the 16th European Conference on Turbomachinery Fluid Dynamics & Thermodynamics, Hannover, Germany, 24–28 March 2025. [Google Scholar]
- Wheeler, A.P.S.; Sandberg, R.D.; Sandham, N.D.; Pichler, R.; Michelassi, V.; Laskowski, G. Direct numerical simulations of a high-pressure turbine vane. J. Turbomach. 2016, 138, 071003. [Google Scholar] [CrossRef]
- Klose, B.F.; Morsbach, C.; Bergmann, M.; Hergt, A.; Klinner, J.; Grund, S.; Kugeler, E. A numerical test rig for turbomachinery flows based on large eddy simulations with a high-order discontinuous Galerkin scheme—Part II: Shock capturing and transonic flows. J. Turbomach. 2023, 146, 021006. [Google Scholar] [CrossRef]
- Vivarelli, G.; Isler, J.A.; Williams, T.S.; Montomoli, F.; Sherwin, S.; Adami, P.; Vazquez, R. On the effect of curvature and compressibility in boundary layers over fan blades and engine intakes. In Proceedings of the 15th European Conference on Turbomachinery Fluid Dynamics & Thermodynamics, Budapest, Hungary, 24–28 April 2023. [Google Scholar] [CrossRef]
- Isler, J.; Vivarelli, G.; Montomoli, F.; Sherwin, S.; Adami, P.; Vazquez, R. High fidelity compressible and incompressible flow simulations of a turbomachinery geometrical configuration. In Proceedings of the 15th European Conference on Turbomachinery Fluid Dynamics & Thermodynamics, Budapest, Hungary, 24–28 April 2023. [Google Scholar] [CrossRef]
- Klein, M.; Sadiki, A.; Janicka, J. A digital filter based generation of inflow data for spatially developing direct numerical or large eddy simulations. J. Comput. Phys. 2003, 186, 652–665. [Google Scholar] [CrossRef]
- Davidson, L. Using isotropic synthetic fluctuations as inlet boundary conditions for unsteady simulations. Adv. Appl. Fluid Mech. 2007, 1, 1–35. [Google Scholar]
- Cassinelli, A.; Xu, H.; Montomoli, F.; Adami, P.; Diaz, R.V.; Sherwin, S.J. On the effect of inflow disturbances on the flow past a linear LPT vane using spectral/hp element methods. In Proceedings of the ASME Turbo Expo 2019, Phoenix, AZ, USA, 17–21 June 2019; p. V02CT41A032. [Google Scholar] [CrossRef]
- Vivarelli, G.; Isler, J.A.; Montomoli, F.; Cantwell, C.; Sherwin, J.S.; Frey-Marioni, Y.; Vazquez-Diaz, R. Applications and recent developments of the open-source computational fluid dynamics high-fidelity spectral/hp element framework Nektar++ for turbomachinery configurations. In Proceedings of the ASME Turbo Expo 2024, London, UK, 24–28 June 2024; Volume 88070, p. V12CT32A022. [Google Scholar] [CrossRef]
- Schmidt, S.; Breuer, M. Source term based synthetic turbulence inflow generator for eddy-resolving predictions of an airfoil flow including a laminar separation bubble. Comput. Fluids 2017, 146, 1–22. [Google Scholar] [CrossRef]
- Giangaspero, G.; Withered, F.; Vincent, P. Synthetic turbulence generation for high-order scale-resolving simulations on unstructured grids. AIAA J. 2022, 60, 1032–1051. [Google Scholar] [CrossRef]
- Yan, Z.G.; Pan, Y.; Castiglioni, G.; Hillewaert, K.; Peiró, J.; Moxey, D.; Sherwin, S. Nektar++: Design and implementation of an implicit, spectral/hp element, compressible flow solver using Jacobian-free Newton Krylov approach. Comput. Math. Appl. 2021, 81, 351–372. [Google Scholar] [CrossRef]
- Cantwell, C.D.; Moxey, D.; Comerford, A.; Bolis, A.; Rocco, G.; Mengaldo, G.; De Grazia, D.; Yakovlev, S.; Lombard, J.E.; Ekelschot, D.; et al. Nektar++: An open-source spectral/hp element framework. Comput. Phys. Commun. 2015, 192, 205–219. [Google Scholar] [CrossRef]
- Moxey, D.; Cantwell, C.D.; Bao, Y.; Cassinelli, A.; Castiglioni, G.; Chun, S.; Juda, E.; Kazemi, E.; Lackhove, K.; Marcon, J.; et al. Nektar++: Enhancing the capability and application of high-fidelity spectral/hp element methods. Comput. Phys. Commun. 2020, 249, 107110. [Google Scholar] [CrossRef]
- Lindblad, D.; Isler, J.; Ginard, M.M.; Sherwin, S.J.; Cantwell, C.D. Nektar++: Development of the compressible flow solver for jet aeroacoustics. Comput. Phys. Commun. 2024, 300, 109203. [Google Scholar] [CrossRef]
- Jarrin, N.; Benhamadouche, S.; Laurence, D.; Prosser, R. A synthetic-eddy-method for generating inflow conditions for large-eddy simulations. Int. J. Heat Fluid Flow 2006, 27, 585–593. [Google Scholar] [CrossRef]
- Jarrin, N.; Prosser, R.; Uribe, T.C.; Benhamadouche, S.; Laurence, D. Reconstruction of turbulent fluctuations for hybrid RANS/LES simulations using a synthetic-eddy method. Int. J. Heat Fluid Flow 2009, 30, 435–442. [Google Scholar] [CrossRef]
- Pamiès, M.; Weiss, P.E.; Garnier, E.; Deck, S.; Sagaut, P. Generation of synthetic turbulent inflow data for large eddy simulation of spatially evolving wall-bounded flows. Phys. Fluids 2009, 21, 045103. [Google Scholar] [CrossRef]
- Giangaspero, G.; Amerio, L.; Downie, S.; Zasso, A.; Vincent, P. High-order scale-resolving simulations of extreme wind loads on a model high-rise building. J. Wind Eng. Ind. Aerodyn. 2022, 230, 105169. [Google Scholar] [CrossRef]
- Shen, W.; Wang, Y.; Cui, J. Analysis of the effect of turbulent inflow on the flow-field and noise of supersonic jet flow using large eddy simulation. J. Sound Vib. 2024, 572, 118156. [Google Scholar] [CrossRef]
- Caros, L.; Buxton, O.; Vincent, P. The effects of free-stream eddies on optimized Martian rotorcraft airfoils. In Proceedings of the AIAA SCITECH 2024 Forum, Orlando, FL, USA, 8–12 January 2024. [Google Scholar] [CrossRef]
- Lund, T.S.; Wu, X.; Squires, K.D. Generation of turbulent inflow data for spatially-developing boundary layer simulations. J. Comput. Phys. 1998, 140, 233–258. [Google Scholar] [CrossRef]
- Morkovin, M.V. Effects of compressibility on turbulent flows. Mécanique de la Turbulence 1962, 367, 380. [Google Scholar]
- Kim, J.; Moin, P.; Moser, R. Turbulence statistics in fully developed channel flow at low Reynolds number. J. Fluid Mech. 1987, 177, 133–166. [Google Scholar] [CrossRef]
- Moser, R.; Kim, J.; Mansour, N. Direct numerical simulation of turbulent channel flow up to Reτ=590. Phys. Fluids 1999, 11, 943–945. [Google Scholar] [CrossRef]
- Georgiadis, N.J.; Rizzetta, D.P.; Fureby, C. Large-eddy simulation: Current capabilities, recommended practices, and future research. AIAA J. 2010, 48, 1772–1784. [Google Scholar] [CrossRef]
- Kim, Y.; Castro, I.P.; Xie, Z.T. Divergence-free turbulence inflow conditions for large-eddy simulations with incompressible flow solvers. Comput. Fluids 2013, 84, 56–68. [Google Scholar] [CrossRef]
- Patruno, L.; Miranda, S.D. Unsteady inflow conditions: A variationally based solution to the insurgence of pressure fluctuations. Comput. Methods Appl. Mech. Eng. 2020, 363, 112894. [Google Scholar] [CrossRef]
- Robinson, S. Coherent motions in the turbulent boundary layer. Annu. Rev. Fluid Mech. 1991, 23, 601–639. [Google Scholar] [CrossRef]
- Stadtmuller, P. Investigation of wake-induced transition on the LP turbine cascade T106A-EIZ. In DFG-Verbundprojekt Fo 136//11; University of the Armed Forces: Munich, Germany, 2001; Version 1.0. [Google Scholar]
- Lyu, G.; Chen, C.; Du, X.; Sherwin, S.J. Stable, entropy-pressure compatible subsonic Riemann boundary condition for embedded DG compressible flow simulations. J. Comput. Phys. 2023, 476, 111896. [Google Scholar] [CrossRef]
- Uranga, A.; Persson, P.O.; Drela, M.; Peraire, J. Implicit large eddy simulation of transition to turbulence at low Reynolds numbers using a discontinuous Galerkin method. Int. J. Numer. Methods Eng. 2011, 87, 232–261. [Google Scholar] [CrossRef]

















Disclaimer/Publisher’s Note: The statements, opinions and data contained in all publications are solely those of the individual author(s) and contributor(s) and not of MDPI and/or the editor(s). MDPI and/or the editor(s) disclaim responsibility for any injury to people or property resulting from any ideas, methods, instructions or products referred to in the content. |
© 2025 by the authors. Published by MDPI on behalf of the EUROTURBO. Licensee MDPI, Basel, Switzerland. This article is an open access article distributed under the terms and conditions of the Creative Commons Attribution (CC BY-NC-ND) license (https://creativecommons.org/licenses/by-nc-nd/4.0/).
Share and Cite
Isler, J.; Vivarelli, G.; Cantwell, C.; Montomoli, F.; Sherwin, S.; Frey, Y.; Meyer, M.; Vazquez, R. Source Term-Based Synthetic Turbulence Generator Applied to Compressible DNS of the T106A Low-Pressure Turbine. Int. J. Turbomach. Propuls. Power 2025, 10, 13. https://doi.org/10.3390/ijtpp10030013
Isler J, Vivarelli G, Cantwell C, Montomoli F, Sherwin S, Frey Y, Meyer M, Vazquez R. Source Term-Based Synthetic Turbulence Generator Applied to Compressible DNS of the T106A Low-Pressure Turbine. International Journal of Turbomachinery, Propulsion and Power. 2025; 10(3):13. https://doi.org/10.3390/ijtpp10030013
Chicago/Turabian StyleIsler, João, Guglielmo Vivarelli, Chris Cantwell, Francesco Montomoli, Spencer Sherwin, Yuri Frey, Marcus Meyer, and Raul Vazquez. 2025. "Source Term-Based Synthetic Turbulence Generator Applied to Compressible DNS of the T106A Low-Pressure Turbine" International Journal of Turbomachinery, Propulsion and Power 10, no. 3: 13. https://doi.org/10.3390/ijtpp10030013
APA StyleIsler, J., Vivarelli, G., Cantwell, C., Montomoli, F., Sherwin, S., Frey, Y., Meyer, M., & Vazquez, R. (2025). Source Term-Based Synthetic Turbulence Generator Applied to Compressible DNS of the T106A Low-Pressure Turbine. International Journal of Turbomachinery, Propulsion and Power, 10(3), 13. https://doi.org/10.3390/ijtpp10030013

