Susceptibility of Leishmania amazonensis Axenic Amastigotes to the Calpain Inhibitor MDL28170
Abstract
1. Introduction
2. Materials and Methods
2.1. Chemicals
2.2. Parasite and Cultivation
2.3. Effect of MDL28170 on Axenic Amastigotes Viability
2.4. Effect of MDL28170 on the Ultrastructure of Axenic Amastigotes
2.5. Statistics
3. Results
3.1. Generation of L. amazonensis Axenic Amastigote Forms
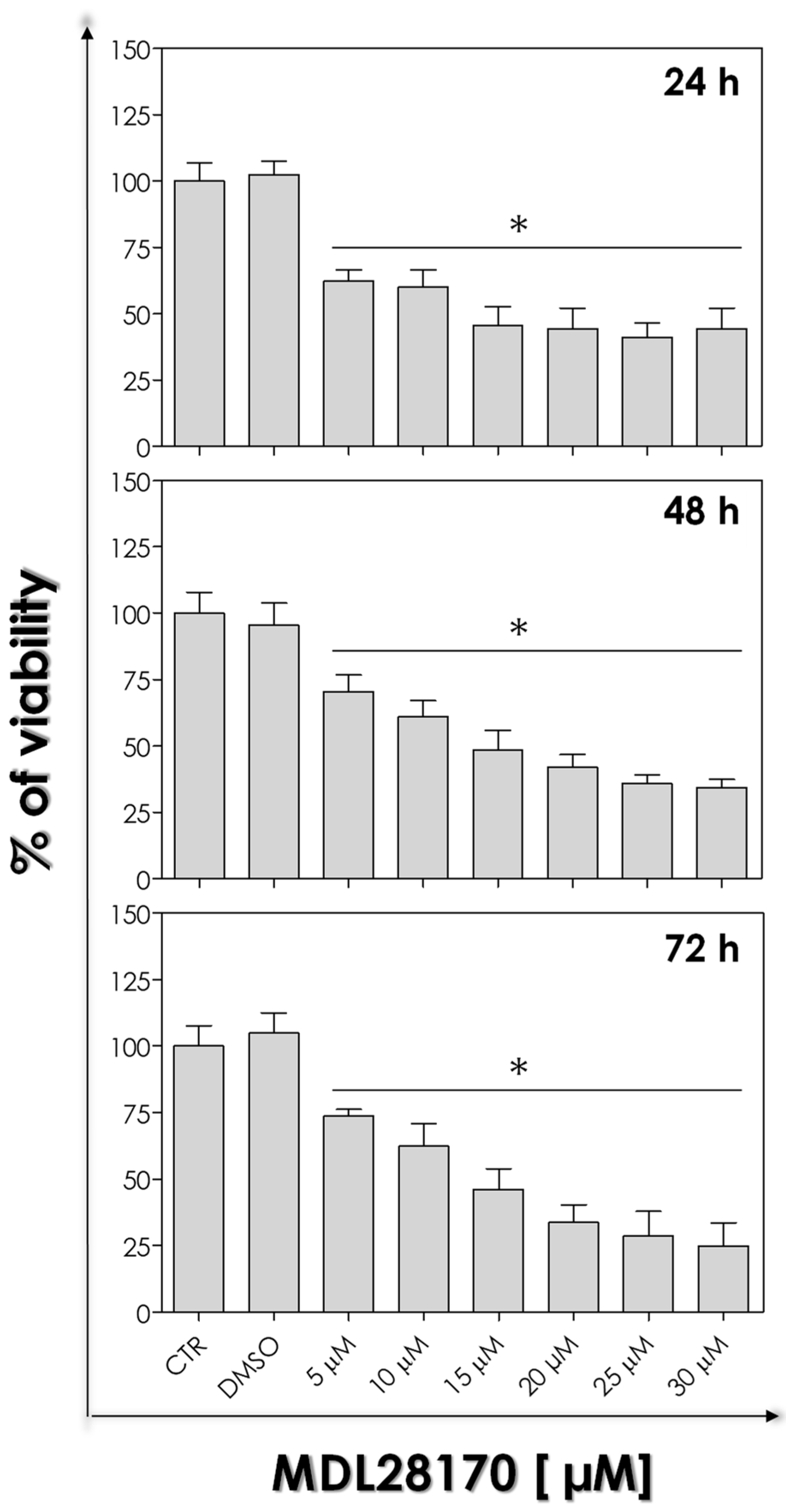
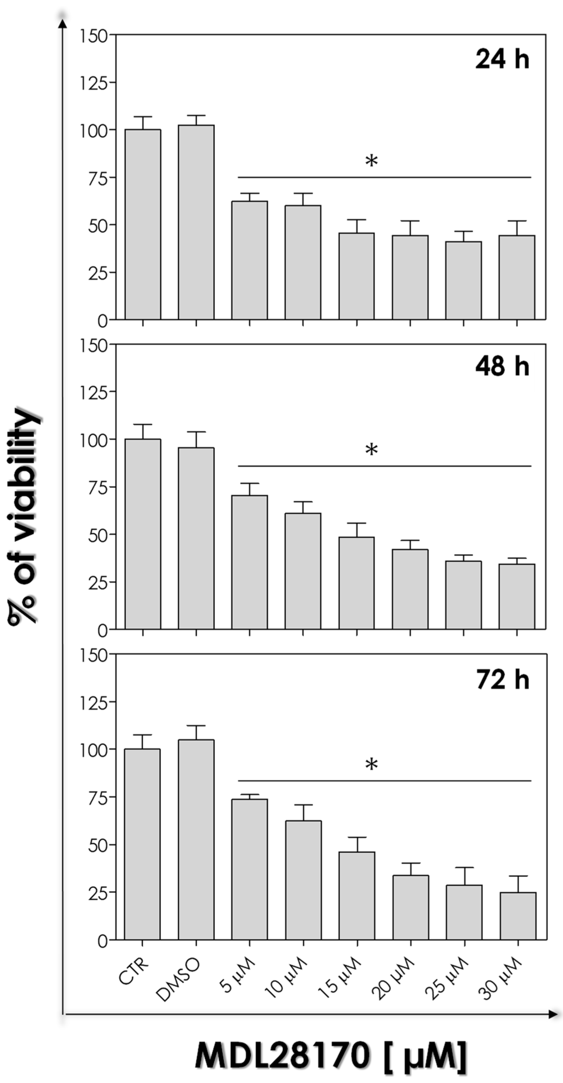
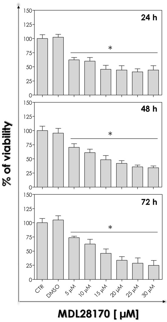
3.2. Effects of MDL28170 on the Viability of L. amazonensis Axenic Amastigotes
3.3. Effects of MDL28170 on L. amazonensis Axenic Amastigotes Ultrastructure
4. Discussion
Author Contributions
Funding
Institutional Review Board Statement
Informed Consent Statement
Data Availability Statement
Acknowledgments
Conflicts of Interest
References
- Burza, S.; Croft, S.L.; Boelaert, M. Leishmaniasis. Lancet 2018, 392, 1951–1970. [Google Scholar] [CrossRef] [PubMed]
- World Health Organization. Leishmaniasis. 2024. Available online: https://www.who.int/health-topics/leishmaniasis#tab=tab_1 (accessed on 31 July 2024).
- Georgiadou, S.P.; Makaritsism, K.P.; Dalekos, G.N. Leishmaniasis revisited: Current aspects on epidemiology, diagnosis and treatment. J. Transl. Int. Med. 2015, 3, 43–50. [Google Scholar] [CrossRef] [PubMed]
- De Rycker, M.; Wyllie, S.; Horn, D.; Read, K.D.; Gilbert, I.H. Anti-trypanosomatid drug discovery: Progress and challenges. Nat. Rev. Microbiol. 2023, 21, 35–50. [Google Scholar] [CrossRef] [PubMed]
- Kumari, D.; Perveen, S.; Sharma, R.; Singh, K. Advancement in leishmaniasis diagnosis and therapeutics: An update. Eur. J. Pharmacol. 2021, 910, 174436. [Google Scholar] [CrossRef] [PubMed]
- Sundar, S.; Sing, R. Emerging therapeutic targets for treatment of leishmaniasis. Expert Opin. Ther. Targets 2018, 22, 467–486. [Google Scholar] [CrossRef]
- Ersfeld, K.; Barraclough, H.; Gull, K. Evolutionary relationships and protein domain architecture in an expanded calpain superfamily in kinetoplastid parasites. J. Mol. Evol. 2005, 61, 742–757. [Google Scholar] [CrossRef]
- Ennes-Vidal, V.; Branquinha, M.H.; Santos, A.L.S.; d’Avila-Levy, C.M. The diverse calpain family in Trypanosomatidae: Functional proteins devoid of proteolytic activity? Cells 2021, 10, 299. [Google Scholar] [CrossRef]
- Donkor, I.O. An updated on the therapeutic potential of calpain inhibitors: A patent review. Expert Opin. Ther. Pat. 2020, 30, 659–675. [Google Scholar] [CrossRef]
- Branquinha, M.H.; Mariho, F.A.; Sangenito, L.S.; Oliveira, S.S.C.; Gonçalves, K.C.; Ennes-Vidal, V.; D’Avila-Levy, C.M.; Santos, A.L.S. Calpains: Potential targets to alternative chemoterapeutic intervention against human patogenic trypanosomatids. Curr. Med. Chem. 2013, 20, 3174–3185. [Google Scholar] [CrossRef]
- D’Avila-Levy, C.M.; Marinho, F.A.; Santos, L.O.; Martins, J.L.; Santos, A.L.S.; Branquinha, M.H. Antileishmanial activity of MDL 28170, a potent calpain inhibitor. Int. J. Antimicrob. Agents 2006, 28, 138–142. [Google Scholar] [CrossRef]
- Marinho, F.A.; Gonçalves, K.C.; Oliveira, S.S.C.; Gonçalves, D.S.; Matteoli, F.P.; Seabra, S.H.; Oliveira, A.C.; Bellio, M.; Oliveira, S.S.; Souto-Padrón, T.; et al. The calpain inhibitor MDL28170 induces the expression of apoptotic markers in Leishmania amazonensis promastigotes. PLoS ONE 2014, 9, e87659. [Google Scholar] [CrossRef] [PubMed]
- Marinho, F.A.; Sangenito, L.S.; Oliveira, S.C.C.; De Arruda, L.B.; D’Avila-Levy, C.M.; Santos, A.L.S.; Branquinha, M.H. The potent cell permeable calpain inhibitor MDL28170 affects the interaction of Leishmania amazonensis with macrophages and shows anti-amastigotes activity. Parasitol. Int. 2017, 66, 579–583. [Google Scholar] [CrossRef] [PubMed]
- Araújo, P.S.S.; Oliveira, S.S.C.; d’Avila-Levy, C.M.; Santos, A.L.S.; Branquinha, M.H. Susceptibility of promastigotes and intracellular amastigotes from distinct Leishmania species to the calpain inhibitor MDL28170. Parasitol. Res. 2018, 117, 2085–2094. [Google Scholar] [CrossRef] [PubMed]
- Santarém, N.; Cunha, J.; Silvestre, R.; Silva, C.; Moreira, D.; Ouellette, M.; Cordeiro-DaSilva, A. The impact of distinct culture media in Leishmania infantum biology and infectivity. Parasitology 2014, 141, 192–205. [Google Scholar] [CrossRef] [PubMed]
- Vermeersch, M.; da Luz, R.I.; Toté, K.; Timmermans, J.P.; Cos, P.; Maes, L. In vitro susceptibilities of Leishmania donovani promastigote and amastigote stages to antileishmanial reference drugs: Practical relevance of stage-specific differences. Antimicrob. Agents Chemother. 2009, 53, 3855–3859. [Google Scholar] [CrossRef]
- Callahan, H.L.; Portal, A.C.; Devereaux, R.; Grogl, M. An axenic amastigote system for drug screening. Antimicrob. Agents Chemother. 1997, 41, 818–822. [Google Scholar] [CrossRef]
- Sereno, D.; Cavaleyra, M.; Zemzoumi, K.; Maquaire, S.; Ouaissi, A.; Lemesre, J.L. Axenically grown amastigotes of Leishmania infantum used as an in vitro model to investigate the pentavalent antimony mode of action. Antimicrob. Agents Chemother. 1998, 42, 3097–3102. [Google Scholar] [CrossRef]
- Teixeira, M.C.; Jesus Santos, R.; Sampaio, R.B.; Pontes-de-Carvalho, L.; dos-Santos, W.L. A simple and reproducible method to obtain large numbers of axenic amastigotes of different Leishmania species. Parasitol. Res. 2002, 88, 963–968. [Google Scholar] [CrossRef]
- Tiuman, T.S.; Ueda-Nakamura, T.; Alonso, A.; Nakamura, C.V. Cell death in amastigote forms of Leishmania amazonensis induced by parthenolide. BMC Microbiol. 2014, 14, 152. [Google Scholar] [CrossRef]
- Almeida-Souza, F.; Oliveira, A.E.R.; Abreu-Silva, A.L.; Calabrese, K.S. In vitro activity of Morinda citrifolia Linn. fruit juice against the axenic amastigote form of Leishmania amazonensis and its hydrogen peroxide induction capacity in BALB/c peritoneal macrophages. BMC Res. Notes 2018, 11, 492. [Google Scholar] [CrossRef]
- Dias-Lopes, G.; Peñafiel, A.Z.; Albuquerque-Melo, B.C.; Souza-Silva, F.; Canto, L.M.; Finkelstein, L.C.; Alves, C.R. Axenic amastigotes of Leishmania species as a suitable model for in vitro studies. Acta Trop. 2021, 220, 105956. [Google Scholar] [CrossRef] [PubMed]
- Mondal, S.; Roy, J.J.; Bera, T. Characterization of mitochondrial bioenergetic functions between two forms of Leishmania donovani—A comparative analysis. J. Bioenerg. Biomembr. 2014, 46, 395–402. [Google Scholar] [CrossRef] [PubMed]
- Chaves, C.S.; Soares, D.C.; Da Silva, R.P.; Saraiva, E.M. Characterization of the species- and stage-specificity of two monoclonal antibodies against Leishmania amazonensis. Exp. Parasitol. 2003, 103, 152–159. [Google Scholar] [CrossRef] [PubMed]
- Toté, K.; Vandenberghe, V.; Levecque, S.; Bénéré, E.; Mae, L.; Cos, P. Evaluation of hydrogen peroxide-based disinfectants in a new resazurin microplate method for rapid efficacy testing of biocides. J. Appl. Microbiol. 2009, 107, 606–615. [Google Scholar] [CrossRef] [PubMed]
- Gupta, N.; Goyal, N.; Rastogi, A.K. In vitro cultivation and characterization of axenic amastigotes of Leishmania. Trends Parasitol. 2001, 17, 150–153. [Google Scholar] [CrossRef]
- Debrabant, A.; Joshi, M.B.; Pimenta, P.F.; Dwyer, D.M. Generation of Leishmania donovani axenic amastigotes: Their growth and biological characteristics. Int. J. Parasitol. 2004, 4, 205–217. [Google Scholar] [CrossRef]
- Ramírez-Macías, I.; Marín, C.; Chahboun, R.; Olmo, F.; Messouri, I.; Huertas, O.; Rosales, M.J.; Gutierrez-Sánchez, R.; Alvarez-Manzaneda, E.; Sánchez-Moreno, M. In vitro evaluation of new terpenoid derivatives against Leishmania infantum and Leishmania braziliensis. Mem. Inst. Oswaldo Cruz 2012, 107, 370–376. [Google Scholar] [CrossRef]
- Bates, P.A. Axenic culture of Leishmania amastigotes. Parasitol. Today 1993, 9, 143–146. [Google Scholar] [CrossRef]
- Zilberstein, D.; Shapira, M. The role of pH and temperature in the development of Leishmania parasites. Annu. Rev. Microbiol. 1994, 48, 449–470. [Google Scholar] [CrossRef]
- Pinto-da-Silva, L.H.; Fampa, P.; Soares, D.C.; Oliveira, S.M.; Souto-Padron, T.; Saraiva, E.M. The 3A1-La monoclonal antibody reveals key features of Leishmania (L.) amazonensis metacyclic promastigotes and inhibits procyclics attachment to the sand fly midgut. Int. J. Parasitol. 2005, 35, 757–764. [Google Scholar] [CrossRef]
- Menna-Barreto, R.F.S.; Salomão, K.; Dantas, A.P.; Santa-Rita, R.M.; Soares, M.H.; Barbosa, H.S.; de Castro, S.L. Different cell death pathways induced by drugs in Trypanosoma cruzi: An ultrastructural study. Micron 2009, 20, 157–168. [Google Scholar] [CrossRef] [PubMed]
- Menna-Barreto, R.F.S. Cell death pathways in pathogenic trypanosomatids: Lessons of (over) kill. Cell Death Dis. 2019, 10, 93. [Google Scholar] [CrossRef] [PubMed]
- Brennand, A.; Rico, E.; Michels, P.A. Autophagy in trypanosomatids. Cells 2012, 1, 346–371. [Google Scholar] [CrossRef] [PubMed]
- Besteiro, S.; Williams, R.A.; Morrison, L.S.; Coombs, G.H.; Mottram, J.C. Endosome sorting and autophagy are essential for differentiation and virulence of Leishmania major. J. Biol. Chem. 2006, 281, 11384–11396. [Google Scholar] [CrossRef]
- Ennes-Vidal, V.; Vitório, B.D.S.; Menna-Barreto, R.F.S.; Pitaluga, A.N.; Gonçalves-da-Silva, S.A.; Branquinha, M.H.; Santos, A.L.S.; d’Avila-Levy, C.M. Calpains of Leishmania braziliensis: Genome analysis, differential expression, and functional analysis. Mem. Inst. Oswaldo Cruz 2019, 114, e190147. [Google Scholar] [CrossRef]
- Ennes-Vidal, V.; Menna-Barreto, R.F.S.; Santos, A.L.S.; Branquinha, M.H.; d’Avila-Levy, C.M. MDL28170, a calpain inhibitor, affects Trypanosoma cruzi metacyclogenesis, ultrastructure and attachment to Rhodnius prolixus midgut. PLoS ONE 2011, 6, e18371. [Google Scholar] [CrossRef]
- Oliveira, S.S.; Gonçalves, D.S.; Garcia-Gomes, A.D.; Gonçalves, I.C.; Seabra, S.H.; Menna-Barreto, R.F.S.; Lopes, A.H.; D’Avila-Levy, C.M.; Santos, A.L.S.; Branquinha, M.H. Susceptibility of Phytomonas serpens to calpain inhibitors in vitro: Interference on the proliferation, ultrastructure, cysteine peptidase expression and interaction with the invertebrate host. Mem. Inst. Oswaldo Cruz 2017, 112, 31–43. [Google Scholar] [CrossRef][Green Version]
- Agliarulo, I.; Parashuraman, S. Golgi apparatus regulates plasma membrane composition and function. Cells 2022, 11, 368. [Google Scholar] [CrossRef]



Disclaimer/Publisher’s Note: The statements, opinions and data contained in all publications are solely those of the individual author(s) and contributor(s) and not of MDPI and/or the editor(s). MDPI and/or the editor(s) disclaim responsibility for any injury to people or property resulting from any ideas, methods, instructions or products referred to in the content. |
© 2024 by the authors. Licensee MDPI, Basel, Switzerland. This article is an open access article distributed under the terms and conditions of the Creative Commons Attribution (CC BY) license (https://creativecommons.org/licenses/by/4.0/).
Share and Cite
Oliveira, S.S.C.; Marinho, F.A.; Sangenito, L.S.; Seabra, S.H.; Menna-Barreto, R.F.; d’Avila, C.M.; Santos, A.L.S.; Branquinha, M.H. Susceptibility of Leishmania amazonensis Axenic Amastigotes to the Calpain Inhibitor MDL28170. Trop. Med. Infect. Dis. 2024, 9, 259. https://doi.org/10.3390/tropicalmed9110259
Oliveira SSC, Marinho FA, Sangenito LS, Seabra SH, Menna-Barreto RF, d’Avila CM, Santos ALS, Branquinha MH. Susceptibility of Leishmania amazonensis Axenic Amastigotes to the Calpain Inhibitor MDL28170. Tropical Medicine and Infectious Disease. 2024; 9(11):259. https://doi.org/10.3390/tropicalmed9110259
Chicago/Turabian StyleOliveira, Simone S. C., Fernanda A. Marinho, Leandro S. Sangenito, Sergio H. Seabra, Rubem F. Menna-Barreto, Claudia M. d’Avila, André L. S. Santos, and Marta H. Branquinha. 2024. "Susceptibility of Leishmania amazonensis Axenic Amastigotes to the Calpain Inhibitor MDL28170" Tropical Medicine and Infectious Disease 9, no. 11: 259. https://doi.org/10.3390/tropicalmed9110259
APA StyleOliveira, S. S. C., Marinho, F. A., Sangenito, L. S., Seabra, S. H., Menna-Barreto, R. F., d’Avila, C. M., Santos, A. L. S., & Branquinha, M. H. (2024). Susceptibility of Leishmania amazonensis Axenic Amastigotes to the Calpain Inhibitor MDL28170. Tropical Medicine and Infectious Disease, 9(11), 259. https://doi.org/10.3390/tropicalmed9110259

