Abstract
While the world is still struggling to recover from the harm caused by the widespread COVID-19 pandemic, the monkeypox virus now poses a new threat of becoming a pandemic. Although it is not as dangerous or infectious as COVID-19, new cases of the disease are nevertheless being reported daily from many countries. In this study, we have used public datasets provided by the European Centre for Disease Prevention and Control for developing a prediction model for the spread of the monkeypox outbreak to and throughout the USA, Germany, the UK, France and Canada. We have used certain effective neural network models for this purpose. The novelty of this study is that a neural network model for a time series monkeypox dataset is developed and compared with LSTM and GRU models using an adaptive moment estimation (ADAM) optimizer. The Levenberg–Marquardt (LM) learning technique is used to develop and validate a single hidden layer artificial neural network (ANN) model. Different ANN model architectures with varying numbers of hidden layer neurons were trained, and the K-fold cross-validation early stopping validation approach was employed to identify the optimum structure with the best generalization potential. In the regression analysis, our ANN model gives a good R-value of almost 99%, the LSTM model gives almost 98% and the GRU model gives almost 98%. These three model fits demonstrated that there was a good agreement between the experimental data and the forecasted values. The results of our experiments show that the ANN model performs better than the other methods on the collected monkeypox dataset in all five countries. To the best of the authors’ knowledge, this is the first report that has used ANN, LSTM and GRU to predict a monkeypox outbreak in all five countries.
1. Introduction
Almost all countries in the world were impacted by the COVID-19 pandemic that started in December 2019 in Wuhan, China. The onset of monkeypox in 2022, as reported by several nations, is another concern worldwide. The infectious condition known as monkeypox is brought on by the Zoonotic Ortho-poxvirus, a member of the Poxviridae family and the genus Ortho-poxvirus. It is closely linked to both cowpox and smallpox [1,2]. It is primarily transmitted by monkeys and rodents, although human-to-human transmission is also very common [3,4]. In a Copenhagen, Denmark lab in 1958, the virus was found for the first time in a monkey’s body [5,6]. During a stepped-up drive to eliminate smallpox in 1970, the Democratic Republic of the Congo observed the first instance of monkeypox in a person [7,8]. Monkeypox often affects a large number of people who live close to tropical rainforests in central and western Africa. When a person comes into intimate touch with another infected individual, animal or object, the virus itself spreads. Direct bodily contact, animal bites, respiratory droplets or mucus from the eyes, nose or mouth can all spread the disease [9,10,11]. Fever, bodily pains and exhaustion are a few of the warning symptoms of a monkeypox infection in patients, with a red bump on the skin being the long-term result [12,13]. Although COVID-19 has been found to be more contagious than monkeypox so far, the number of cases is still increasing. Only 50 cases of monkeypox were reported in West and Central Africa in 1990 [14,15]. However, in 2020, there were 5000 instances. In the past, monkeypox was thought to exist solely in Africa, but, in 2022, numerous additional non-African nations in Europe and the United States reported finding cases of the virus [16,17]. As a result, people are gradually becoming more and more anxious and afraid, which is frequently reflected in people’s opinions on social media.
The first monkeypox outbreak was found in the UK on 6 May 2022. At the time of this writing, there are a total of 52,379 cases globally. The top five nations where it is more extreme are the USA (19,355 cases), Germany (3480 cases), the UK (3419 cases), France (3547) and Canada (1286) [18]. Despite the worldwide vaccination efforts, 17 people have died due to the virus, demonstrating that it is not fatal but is very infectious and evolves into other sub-variants. If not treated properly and controlled, the world may continue to see more new instances and deaths.
The Centers for Disease Control and Prevention (CDC) stated that there is currently no completely effective therapy for the monkeypox virus [19,20]. The CDC approved two oral medications, Brin-cidofovir and Tecovirimat, which had mostly been used to treat the smallpox virus but have now been utilized to treat the monkeypox virus in order to meet the urgent demand [21]. Although vaccinations against the monkeypox virus are available and have received FDA approval, they have not yet been used on humans in the United States. The vaccinations for the smallpox virus are used to treat the monkeypox virus in other nations [20].
Regression techniques using ANN methods are commonly used in order to predict future patient issues related to a particular disease [22]. Using the aforementioned methods, several research studies have been carried out to anticipate the range of devastation caused by diseases such as breast cancer, cardiovascular disease and COVID-19. The primary objective of this study is to forecast the confirmed cases of monkeypox in real-time. It also examines the early surveillance and prediction of the monkeypox pandemic [23]. Such real-time prediction systems could be very helpful for healthcare professionals and government agencies in guiding early responses for the very successful and timely management of this diseases. The decisions to control current possibilities can be made using these systems.
The actual number of monkeypox infection data indicates a set of observations that have been chronologically ordered. Time-series prediction techniques originated in statistics. Machine learning-based techniques, meta-predictors, structure-based techniques and ANNs also exist for this purpose [14,15]. ANNs are frequently employed for time series predictions [24]. One of the main benefits of an ANN approach is that it may be fed with unprocessed data that can automatically identify the necessary representation [25]. The ANN produces trustworthy outcomes based on a number of variables, including performance, accuracy, latency, speed, convergence and size. The USA, Germany, the UK, France and Canada are five of the nations with the highest number of monkeypox illnesses. No extensive works have been done on the monkeypox outbreak to the best of our knowledge.
The main contribution of this paper is that we have developed a forecasting model of the monkeypox time series dataset in the five countries mentioned above by employing state-of-the-art ANN models such as the LSTM and GRU. This study uses the ANN with an LM optimizer and the LSTM and GRU uses an ADAM optimizer. It further predicts the number of monkeypox cases directly resulting from this disease using NNs. These NNs used the existing datasets that contained all the available data related to the monkeypox epidemic in countries such as the USA, Germany, the UK, France and Canada.
The comparative study of these five countries will help the healthcare authorities to prepare for the necessary actions that need to be taken based on our model predictions. A summary of monkeypox from 6 May 2022 to 24 August 2022 in the USA, Germany, the UK, France and Canada has been considered.
The rest of the paper is organized as follows. The methods and materials are shown in Section 2, followed by a description of the ANN, LSTM and GRU structures, along with the LM and ADAM optimizers. The results are presented and analyzed in Section 3. We come to certain conclusions in Section 4.
Related Works
Many researchers, including data scientists, have expended a lot of efforts to forecast the spread of this disease. By creating prediction models that emphasize the likely behaviors of this virus, data scientists may significantly advance the knowledge by improving our ability to forecast how the virus will spread. As a result, ANN models are thought of as precise tools that may aid in creating prediction models. In fact, several neural networks (NNs) have been developed in the past [26], as shown in Table 1.
Table 1.
Summary of related work.
2. Methods and Materials
2.1. Artificial Neural Network
The ANN is a simple imitation of the neuron structure of the human brain [34]. Basic scalar messages, simple processing components, a high degree of interconnection and adoptive interaction between the units are the things which make them a type of multi-processor computer system [35]. Actually, the ANN provides a reasonably quick and flexible way of modelling, so it is appropriate for a rainfall-runoff prediction [36]. Layers of neurons make up an ANN. One or more hidden layers of neurons connect the input layer of neurons to the output layer of neurons. The interconnecting link between the neuron layers is made up of connection weights. This method changes its weights throughout the training phase to reduce the errors between the projected result and the actual output using the Back Propagation algorithm [37]. To get the best topology and weights, an ANN is trained using experimental data (called training data) and then evaluated with more experimental data (test-data). The accuracy of the model is checked using validation data. Bias refers to the weight that is provided directly to one neuron without being coupled to the prior neuron in specific circumstances. The most common type of ANN is the multilayer perceptron (MLP). It also has one or more hidden layers in the feed forward neural network.
A data structure that may operate like a neuron is constructed in ANNs with the use of programming skills. A node is a kind of data structure [38,39]. The network connecting these nodes is trained in this structure using a standard training technique like gradient descend. The nodes have two active states (on or off) and one inactive state (off or 0) in this memory or neural network, and each edge (synapse or link between nodes) has a weight. Negative weights inactivate or inhibit the following linked node (if active), whereas positive weights stimulate or activate the next inactive node [40,41,42,43]. The input dp reaches the neuron c from the preceding neuron p in the ANN architecture. Tc is the total of the products of the inputs and their weights from Equation (1) [44], and wpc is the weight of the input dp with regard to cell c.
The sigmoid function was chosen as the activation function and is applied to Tc. As a result, Equation (2) [44] is used to compute dc:
Likewise, the weights of the dcn are wcn, which is the output of c to n, which are computed. In a set, W is the sum of all the weights of the neural network, and kw(x) is the neural network’s output for input x and output y. The key purpose is to figure out these weights so that the error values between y and kw (x) are reduced. That is, the aim is to reduce the cost function E(W) (Equation (3)) to the smallest possible value [44]:
In this study, the ANN with LM optimizer [38], one of the most commonly used varieties of ANN, was utilized to forecast the epidemic. ANN was trained on a dataset using the LM algorithm. The optimum response was achieved by training the network with selected inner neurons. To minimize the cost function value, the results were calculated using the RMSE and correlation coefficient. The ANNs architecture is shown in Figure 1.
Figure 1.
Architecture of an artificial neural network.
2.2. Levenberg–Marquardt Algorithm (LM)
The LM approach applies another approximation to the Hessian matrix in order to ensure that the estimated Hessian matrix JTJ is invertible [45].
Here, μ is called the combination coefficient and is always positive and I is the identity matrix.
The components on the basic diagonal of the estimated Hessian matrix will be bigger than zero, as shown in Equation (5). As a result of this approximation (Equation (5)), the invertibility of matrix H can be guaranteed [46].
The update rule of the LM algorithm could be represented by merging Equations (4) and (5) as follows.
Here, the weight vector is V and the error vector is ek.
The LM algorithm shifts between the two techniques throughout the training phase, using a mix of the steepest descent algorithm and the Gauss–Newton algorithm. Equation (5) is the Gauss–Newton procedure, which is utilized when the combination coefficient is very tiny [47] (almost 0). Equation (5) approximates Equation (4), and the steepest descent approach is applied when the combination coefficient is extremely big. We explain the stepwise procedure of the LM algorithm in Figure 2.
Figure 2.
Stepwise Levenberg–Marquardt algorithm procedure.
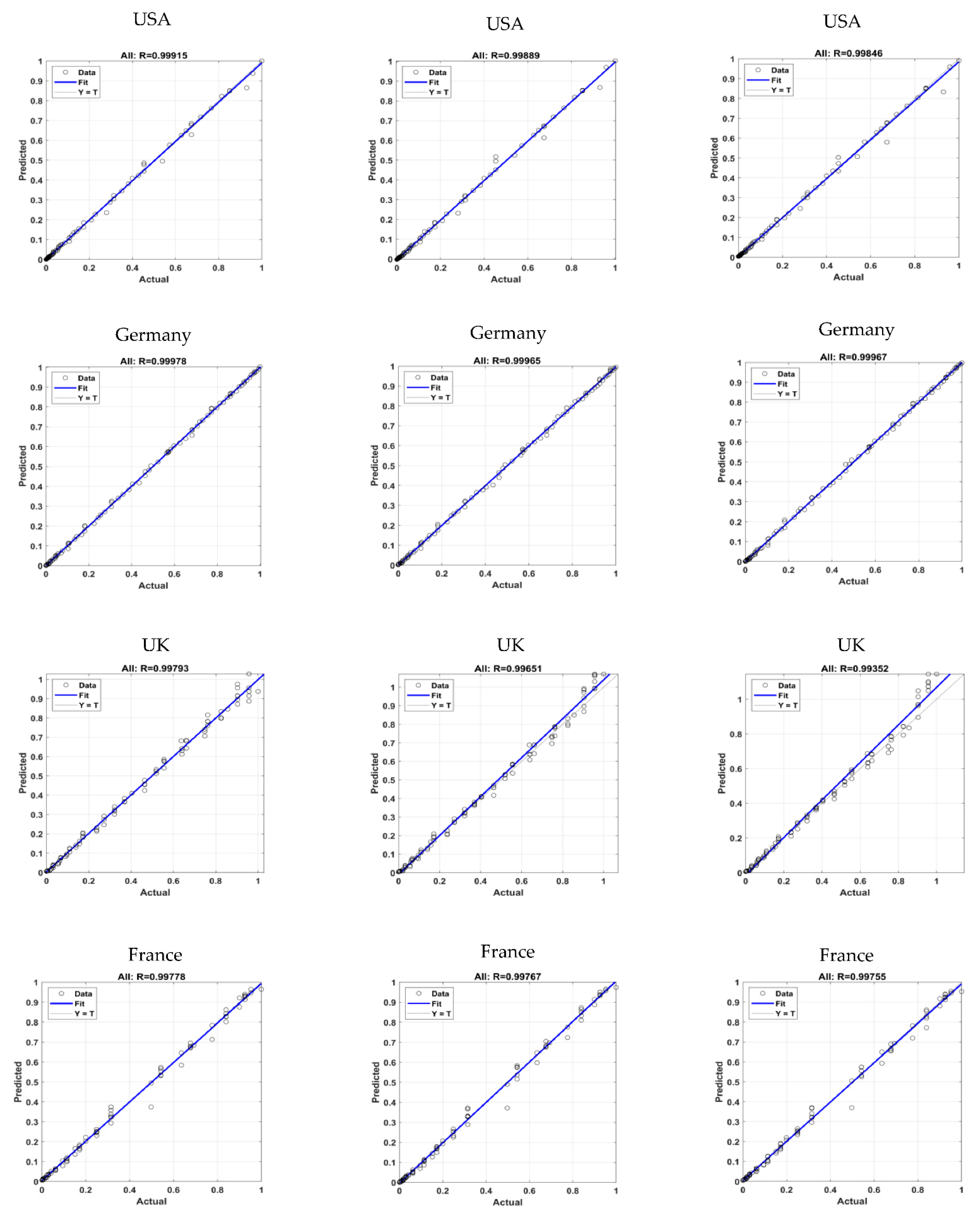
2.3. Long Short-Term Memory (LSTM)
The LSTM networks are made up of different gates that store information about the prior state. These data are either written, saved or retrieved from a cell that functions as a memory. When the cell reads, writes and erases using the gates that open and close, it determines whether to save the incoming information. They act depending on the signals they receive, blocking or passing on information according to its strength and import by filtering with their own weights. These weights are similar to those used to regulate the input and hidden states via the network’s training process [48]. This study proposes a LSTM network with an input layer, a hidden layer and an output layer. Figure 3 depicts an LSTM model with an input gate it, output gate ot, forget gate ft and cell state, ct.
Figure 3.
Long Short-Term Memory (LSTM) gates.
Memory blocks, which were designed to deal with disappearing gradients by remembering network parameters for long periods of time, are the most basic components of LSTM networks. Memory blocks in the LSTM architecture are analogous to digital systems’ differential storage structures [49]. The activation functions (sigmoid and tansig) used by the gates in LSTM aids in the processing of information, and the output is either 0 or 1. Because we need to transfer only positive values to the following gates in order to produce a clear output, we employ sigmoid and tansig as activation functions [50]. The following Equations (6)–(11) represent the three gates of the LSTM network:
Matrices Wq and uq contain the weights of the input and recurrent connections, where the index can be the input gate i, output gate o, the forgetting gate f or the memory cell c, depending on the activation being calculated. Ct is not just a cell of an LSTM unit, but contains h cells of the LSTM units, while it, ot and ft represent the activations of, respectively, the input, output and forget gates, at time step t, where:
it = input gate function;
ft = forget gate function;
ot = output gate function;
ht = hidden state function, also known as the output gate of the LSTM unit;
= cell input activation state;
Ct = cell state vector;
ht−1 = the result from the prior time step;
where W, u and b are the weight matrices and bias vector parameters which need to be learned during the training.
2.4. Gated Recurrent Unit (GRU)
The GRU is one of the variants of the RNN which was introduced by Cho et al. [28]. The update gate and resets gate are the two gates that the GRU utilizes. These gates employ activation functions similarly to the LSTM. The information from earlier time steps is added to the input data for time step t before being delivered to the update gate. This gate determines how much of this data flow needs to be sent on to the future and functions similarly to how the input gate and forget gate combine in the LSTM network. The reset gate determines how much of the previously computed state should be forgotten and stores the necessary data. The update gate determines what to collect from the previous steps and the current memory content to calculate the output of the current unit [49,51].
Figure 4 shows the internal architecture of a GRU unit cell. The mathematical Equations (12)–(15) are used to calculate these respective gates:
where Wz, Wr and W denote the weight matrices for the corresponding connected input vector. uz, ur and u represent the weight matrices of the previous time step and br, bz and b are the bias. The σ denotes the logistic sigmoid function, rt denotes the reset gate, zt denotes the update gate and t denotes the candidate hidden layer.
Figure 4.
Gated Recurrent Unit (GRU) gates.
Deep learning networks are very sensitive to hyperparameters. The forecasted output will oscillate at high frequencies when the hyperparameters are wrongly configured [52]. The number of hidden neurons in the recurrent layers, the number of dropouts and the value of the learning rate are essential hyperparameters for GRU network models.
2.5. Adaptive Moment Estimation Optimization (ADAM)
Classification can be difficult when dealing with problems relating to the learning process. Several approaches have been proposed to help us arrive at an optimal learning level. The ADAM optimization algorithm is a deep learning extension of the stochastic gradient descent algorithm, which has recently been used in a variety of applications on the Internet of Things (IoT), text detection and so on [53].
ADAM is a famous optimizer that combines a gradient descent with momentum and the RMSprop optimizer [54]. The weights are updated using:
where and are the bias correction for the first and second moments, respectively:
In Equation (19), mt is the first moment that represents the running average of the gradients, whereas in Equation (20), vt is the second moment that represents the running average of the squared gradients.
2.6. Network Modelling Process
The NN modelling procedure was carried out in two stages, including training and testing. The data must fall inside a narrow range to hasten the model convergence and improve the forecast accuracy. The study’s input data were either in the tens of thousands or single digits. As a result, the min–max approach (Equation (21)), which requires that all input data points fall inside the range [0,1], was used using the following transformation.
When “xi, j” refers to “xi”, the actual value of the input variable ‘i’ is normalized. The minimum and maximum values of the input variable ‘i’ are, respectively, “xi, min” and “xi, max”. Similar to this, Equation (21) was used to normalize the target values so that they would fall inside the [0,1] operating range of the activation function.
The complete dataset was divided into two separate subsets after the data normalization. The workflow of the research methodology is shown in Figure 5.
Figure 5.
The flowchart of the research methodology workflow.
- (1)
- Training dataset: in order to reduce the error function, the model’s synaptic weights were adjusted to correspond to the perfect number of hidden layer neurons. The cross-validation method was used to further split the training dataset into “K” subsets in order to find the ideal number of iterations (or “epochs”) before the model training should be terminated.
- (2)
- Testing dataset: following the training phase, it was used to evaluate the model’s accuracy and forecasting capability.
2.7. Data Preparation
This study used daily confirmed cases data from the USA, Germany, the UK, France and Canada that are available from the “Global. Health” team website. First off, the researchers used data from 6 May 2022—the first case reported—to 31 August 2022 [55]. It was 2.5 MB in size and included 100 records, which is shown in Table 2. The following split of the data for that time period was utilized to discover the right parameters for the models: 80% for training and 20% for testing. Testing was the next stage after training. Figure 6 presents the trend of the daily confirmed cases of monkeypox for the five nations, which include the aforementioned countries.
Table 2.
Data description.
Figure 6.
Daily confirmed cases for the USA, Germany, the UK, France and Canada—Monkeypox.
2.8. Netwok Model Evaluation
NN model training is an iterative procedure through which the model learns the input–output behavior. The LM learning method (Equations (4) and (5)) was utilized during the training stage. Two statistical indices were used to evaluate the performance of the model: the coefficient of determination (R2), which is a measure of the model’s goodness-of-fit, and the root mean squared error (RMSE), which represents the square root of the average squared differences between the target value and the model output value. These two statistical indices are defined by Equations (22) and (23), respectively. The better the model fits the data, the R2 is nearer to unity and the RMSE value is lower (nearer to zero). In other words, when R2 equals 1.0 and RMSE equals 0, the model completely fits the data.
where Y^ represents the predicted values and Y represents the actual values, and represents the mean of the all the values and n denotes the number of values.
2.9. K-Fold Cross-Validation
The issue of when to end the training stage of an ANN model is a major conundrum since an overtrained model may perform poorly on an unknown dataset because it has learned the noise instead of the signals. One of the most popular techniques to prevent the model from overtraining is the stop-training criteria based on the k-fold cross-validation [56,57]. The k-fold cross-validation begins with the data being divided into K groups at random, after which the subsequent processes are carried out for each group.
- (1)
- Each fold in the “K” disjoint fold partition of the training dataset has the same number of samples.
- (2)
- In each of the “K” iterations, the model has trained on the first (K-1) folds.
- (3)
- The trained model is subsequently assessed on the final fold (also known as the validation fold) in order to calculate its RMSE.
- (4)
- The number of epochs versus the average RMSE is displayed on the validation folds.
The averaged RMSE typically falls during the early training phase and continues to rise after the network starts over-fitting the data. The RMSE should cease declining while the number of epochs rises, so that the training phase can be terminated.
2.10. Network Model Testing
After the model training stage was finished, the trained model was evaluated against the test dataset (which was hidden throughout the training phase) to determine the model’s capacity for prediction. It should be noted that the output values are anti-normalized to their true values once the model training and testing phases are finished.
3. Results and Discussion
We analyzed the prediction performance of the three neural network models (ANN, LSTM and GRU) on data from five countries, namely the USA, Germany, the UK, France and Canada. The model performances are trained on data from 6 May to 9 August 2022 and evaluated using the test data from 10 August to 31 August 2021. The prediction performance of the models on the test data for all the models is shown in Figure 7.
Figure 7.
The performance plot of NN training by optimizer mean squared error (MSE) vs. iterations-monkeypox. (a) ANN; (b) LSTM; (c) GRU.
Before beginning the hybrid modelling process, firstly a perceptron ANN with a single hidden layer and two hidden layers are developed [58,59]. For a sophisticated nonlinear issue, one or two hidden layers will be sufficient to train the ANN [60,61]. In addition, the Levenberg–Marquardt (LM) algorithm is used for the network training. The LM method has been shown to be one of the best and most flexible training algorithms, and as it avoids computing the Hessian Matrix, it could be viewed as the fastest backpropagation technique [15,58,62]. The standard approach described in the literature [63,64] is used to figure out the appropriate number of hidden neurons. In this regard, 1 to 24 ANN models (that means different hidden layers) are developed as shown in Table 3. Each model is categorized according to R2 and the RMSE as a result of choosing the best option. A higher number is preferred for R2. As a result, under this ranking method, the model with the highest R2 obtains the highest score (i.e., the maximum score is 24). On the other hand, a smaller RMSE number will be suitable. Therefore, the model with the lowest RMSE value receives the highest ranking. Moreover, for each model, the overall rank is calculated by adding the two statistics for the training, validation and test stages, independently. Accordingly, in Table 3 the overall ranks attributable to the simulated models are calculated. As can be regarded, model no. 20 with 20 neurons has acquired the maximum total score. It can be claimed that the R2 (RMSE) in this model reaches its maximum (minimum) in the training stage. From this point on, the R2 will decrease as the number of neurons increases. Subsequently, based on the overall score, this model is picked as the optimal simulation.
Table 3.
Selecting the optimal ANN model with respect to single hidden layer and neurons for the USA dataset.
In Table 3, we have developed the ANN with a single hidden layer. Based on the highest score, the best architecture of the neural network has been decided for the USA dataset. As per Table 3, we have developed the ANN with two hidden layers (in Table 4) and the models are presented based on the top five highest score. As a result, in Table 3 and Table 4, the best architecture of the neural network has been decided for the USA dataset. For Germany, the UK, France and Canada, we present the top five highest score models in Table 5, Table 6, Table 7 and Table 8, respectively.
Table 4.
Selecting the optimal ANN model with respect to two hidden layer and neurons for the USA dataset.
Table 5.
Selecting the optimal ANN model with respect to hidden layers and neurons for the Germany dataset.
Table 6.
Selecting the optimal ANN model with respect to hidden layers and neurons for the UK dataset.
Table 7.
Selecting the optimal ANN model with respect to hidden layers and neurons for the France dataset.
Table 8.
Selecting the optimal ANN model with respect to hidden layers and neurons for the Canada dataset.
Table 3, Table 4, Table 5, Table 6, Table 7 and Table 8 were compared, and we found that single hidden layers performed better than two hidden layers. Therefore, based on the ranking and overall score, the perfect ANN structure was determined for each country using ANN-LM models, i.e., for the USA 5-20-1 (5 neurons in the input layer, 20 neurons in the Hidden layer and 1 neuron in the output layer), for Germany (5-24-1), for the UK (5-18-1), for France (5-5-1) and for Canada (5-16-1).
After acquiring the ANN model’s ideal structure for all the countries’, i.e., 5-20-1 (the USA), 5-24-1 (Germany), 5-18-1 (the UK), 5-5-1 (France) and 5-16-1 (Canada) topology, it was then determined whether the model had been successfully trained or whether an undertraining or overtraining had taken place. A poor training performance is caused by undertraining, and the generalizability of the model might sometimes suffer from overtraining. In other words, the number of epochs at which the training phase is interrupted affects the model’s performance and capacity to generalize. A five-fold cross-validation procedure was used on the training dataset to determine when it is optimal to cease the ANN model’s training. The training MSE curve and the validation MSE curve, both calculated by the five-fold cross-validation, are shown in Figure 7a as functions of the number of training iterations.
3.1. Observing the Monkeypox Outbreak Using the ANN-LM Models in the Five Countries
The training performance of an ANN with an LM optimizer is shown in Figure 7a for all five countries. It is clear that at iteration four, the MSE drops drastically to its lowest level, after which the error essentially stays the same. With the best achievement being 0.00001 at iteration 14, the training continues until iteration 50. It is demonstrated that while the adjustment procedure is extremely slow, the LM optimizer always converges extremely quickly by observing all the training processes of an ANN with LM.
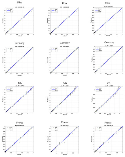
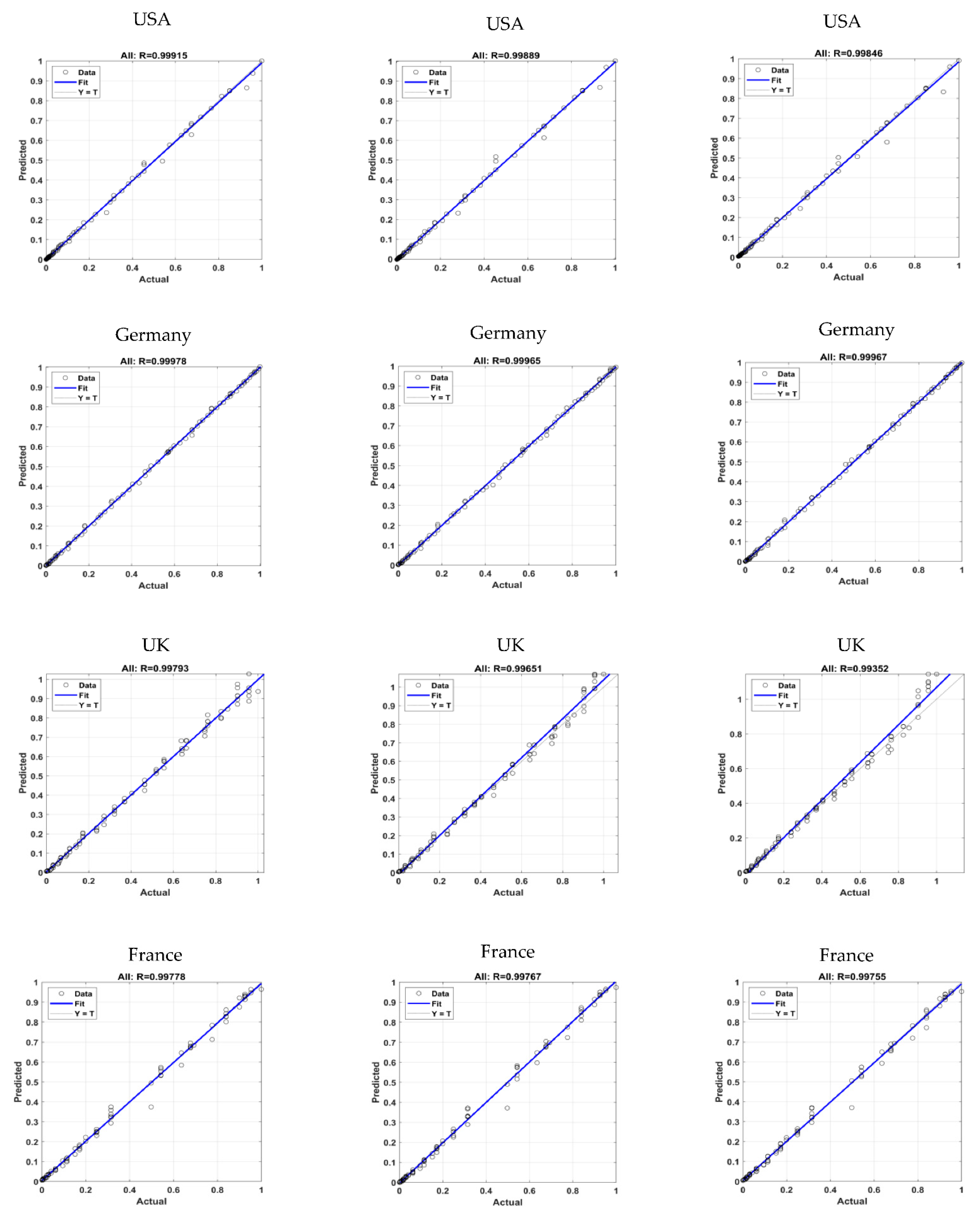
Regression plots are used to validate the network’s performance, that show the network’s output in terms of targets for training, validation, testing and overall datasets. The entire validation dataset is used by the ANN for training as well. Generally, in a regression plot, if the R-value is nearly 1, that means that the model is perfect (Figure 8a). As the R-value is 0.999 or above in each country, we can see that the fit is quite good (R-value) for the USA, Germany, the UK, France and Canada (0.99915, 0.99978, 0.99793, 0.99778 and 0.99917). Only the ANN-LM algorithm gives the best R-value of almost 0.99999 on the monkeypox outbreak.

Figure 8.
The proposed regression analysis (actual vs. predicted) of neural networks optimal models in predicting—monkeypox.
The error histogram is the histogram of the errors between the target values and predicted values after training a neural network. These can be negative as these error values indicate how predicted values differ from the target values. For the ANN-LM model, Figure 9a shows the training data as blue bars, testing data as red bars and validation data as green bars. The graphs are created using the error range (maximum negative error to maximum positive error), which is divided into 20 bins. The histogram makes it possible to spot outliers, which are data points where the fit is noticeably worse than the majority of the data. For the USA, Germany, the UK, France and Canada, Figure 9a shows that more errors in this instance are between −0.00111 and 0.00111, −0.0012 and 0.0012, −0.00383 and 0.00383, −0.0006 and 0.0006 and −0.00112 and 0.00112, respectively. However, there is one learning point (zero line) with 0.003851, 0.001147, 0.000899, 0.008544 and 0.00274 errors, respectively. In this case, we can see that the ANN-LM method gives better results on a monkeypox outbreak.

Figure 9.
The error histogram of NN optimal model in predicting—monkeypox.
In Figure 10a, the predicted and actual monkeypox incidence time trends are compared for the model’s performance and accuracy. Plots that compared the observed (target) values to the model-calculated (output) values against time allowed us to observe how the network, outputs and targets responded to the inputs. Additionally, displayed are the errors that were discovered during the process. The ANN-LM model is capable of representing and simulating the desired output, and it provides a good representation of the overall trend of a monkeypox incidence. In addition, the majority of the estimation errors with respect to the time were between −0.02 and 0.02 for all five countries. The results indicate that our model selection was reasonably good.

Figure 10.
The responds plot of NN optimal model in predicting—Monkeypox.
3.2. Observing the Monkeypox Outbreak Using the LSTM-ADAM Models in the Five Countries
The training performance of an LSTM with an ADAM optimizer is shown in Figure 7b for all five countries in same figure. It is clear that at iteration 10, the MSE drops dramatically to its lowest level, after which the error essentially stays the same. With the best achievement being 0.1 at iteration 20, training continues until Iteration 50. It is demonstrated that while the adjustment procedure is extremely slow, the ADAM optimizer always converges extremely quickly by observing all the training processes of an LSTM with ADAM.
As the R-values are (0.99889, 0.99965, 0.99651, 0.99767 and 0.99895), we can see that the fit is quite good (Figure 8b) for all five countries. The LSTM-ADAM model gives the better R-value of almost 0.9888 on the monkeypox outbreak.
For the five countries, Figure 9b shows that more errors are between −0.00377 and 0.00377, −0.00073 and 0.00073, −0.00199 and 0.00199, −0.00675 and 0.00675 and −0.00324 and 0.00324, respectively. However, there is one learning point (zero line) with a 0.002506, 0.002086, 0.003127, 0.002399 and 0.000954 error, respectively. In this case, we can see that the LSTM-ADAM method provides better results on a monkeypox outbreak.
In Figure 10b, the predicted and actual monkeypox incidence time trends are compared for the model’s performance and accuracy. The LSTM-ADAM model is capable of representing and simulating the desired output, and it provides a good representation of the overall trend of a monkeypox incidence. In addition, the majority of the estimation errors with respect to time were between −0.05 and 0.05 for all five countries. We conclude that our model selection was reasonable.
3.3. Observing the Monkeypox Outbreak Using the GRU-ADAM Models in the Five Countries
The training performance of GRU with an ADAM optimizer is shown in Figure 7c for all five countries. It is clear that at iteration 15, the MSE drops dramatically to its lowest level, after which the error essentially stays the same. With the best achievement being 0.1 at iteration 25, training continues until iteration 50. It is demonstrated that while the adjustment procedure is extremely slow, the ADAM optimizer always converges extremely quickly by observing all the training processes of GRU with ADAM.
As the R-values are (0.99846, 0.99967, 0.99352, 0.99755 and 0.99904), we can see that the fit is quite good (Figure 8c) for all five countries. The GRU-ADAM model gives the better R-value of almost 0.9888 on the monkeypox outbreak.
For the GRU-ADAM model, Figure 9c shows that more errors in this instance are between −0.0019 and 0.0019, −0.00175 and 0.00175, −0.0041 and 0.0041, −0.00588 and 0.00588 and −0.00106 and 0.00106, respectively. However, there is one learning point (zero line) with a 0.005381, 0.00077, 0.001159, 0.003276 and 0.003471 error, respectively. In this case, we can see that the GRU-ADAM method provides better results on a monkeypox outbreak.
In Figure 10c, the predicted and actual monkeypox incidence time trends are compared for the model’s performance and accuracy. The GRU-ADAM model is capable of representing and simulating the desired output, and it provides a good representation of the overall trend of a monkeypox incidence. In addition, the majority of the estimation errors with respect to the time were between −0.05 and 0.05 for all five countries. We conclude that our model selection was reasonable as a result.
4. Conclusions
The monkeypox epidemic has significantly impacted the lives of many people in several nations. This epidemic is becoming worse in certain places. There is currently no treatment for this infection, and there is little chance of accurately forecasting how severe it could be. So, in order to forecast this disease, we designed a neural network model using a time series monkeypox dataset and compared it with the LSTM and GRU models. We used the time series datasets, gathered from the five nations (the USA, Germany, the UK, France and Canada) impacted mostly by monkeypox. The LM learning technique was used to develop and validate a single hidden layer ANN model. Different ANN model architectures with varying numbers of hidden layer neurons were trained, and the K-fold cross-validation early stopping validation approach was employed to identify the optimum structure with the best generalization potential. In the regression analysis, the ANN-LM model gives a good R-value of almost 99%, the LSTM model gives almost 98% and the GRU model gives almost 98%. These three model fittings demonstrated that there was a good agreement between the experimental data and the forecasted values. The results of our experiments show that the ANN model performed better than the other methods on the collected monkeypox dataset in all five countries.
Author Contributions
Conceptualization, B.M. and R.D.; methodology, B.M.; validation, B.M. and R.D.; formal analysis, B.M.; investigation, R.D.; resources, B.M.; writing original draft preparation, B.M.; writing review and editing, B.M. and R.D.; visualization, R.D.; supervision, R.D.; project administration, R.D. All authors have read and agreed to the published version of the manuscript.
Funding
This research received no external funding.
Institutional Review Board Statement
Not applicable.
Informed Consent Statement
Not applicable.
Data Availability Statement
The data used in this paper is available in the references in Section 2.7.
Conflicts of Interest
The authors declare no conflict of interest.
References
- McCollum, A.M.; Damon, I.K. Human Monkeypox. Clin. Infect. Dis. 2014, 58, 260–267. [Google Scholar] [CrossRef] [PubMed]
- Ola, P. What Predicts the Severity of Monkeypox and Other Infections? Available online: https://osf.io/phgfq/ (accessed on 8 October 2022). [CrossRef]
- Alakunle, E.; Moens, U.; Nchinda, G.; Viruses, M.O. Monkeypox Virus in Nigeria: Infection Biology, Epidemiology, and Evolution. Viruses 2020, 12, 1257. [Google Scholar] [CrossRef] [PubMed]
- Rahmanian, V.; Jahanbin, K.; Jokar, M. Using twitter and web news mining to predict the monkeypox outbreak. Asian Pac. J. Trop. Med. 2022, 15, 236. [Google Scholar] [CrossRef]
- Moore, M.J.; Rathish, B.; Zahra, F. Monkeypox; StatPearls: Treasure Island, FL, USA, 2022. [Google Scholar]
- Chen, H.; Shen, J.; Wang, L.; Song, J. A Framework towards Data Analytics on Host–Pathogen Protein–Protein Interactions. J. Ambient. Intell. Humaniz. Comput. 2020, 11, 4667–4679. [Google Scholar] [CrossRef]
- Nolen, L.D.; Osadebe, L.; Katomba, J.; Likofata, J.; Mukadi, D.; Monroe, B.; Doty, J.; Hughes, C.M.; Kabamba, J.; Malekani, J.; et al. Extended Human-to-Human Transmission during a Monkeypox Outbreak in the Democratic Republic of the Congo. Emerg. Infect. Dis. 2016, 22, 1014–1021. [Google Scholar] [CrossRef]
- Wang, L.; Shang, J.; Weng, S.; Aliyari, S.R.; Ji, C.; Cheng, G.; Wu, A. Genomic Annotation and Molecular Evolution of Monkeypox Virus Outbreak in 2022. J. Med. Virol. 2022, 95, e28036. [Google Scholar] [CrossRef]
- Yinka-Ogunleye, A.; Aruna, O.; Ogoina, D.; Aworabhi, N.; Eteng, W.; Badaru, S.; Mohammed, A.; Agenyi, J.; Etebu, E.N.; Numbere, T.-W.; et al. Reemergence of Human Monkeypox in Nigeria, 2017. Emerg. Infect. Dis. 2018, 24, 1149–1151. [Google Scholar] [CrossRef]
- Nguyen, P.Y.; Ajisegiri, W.S.; Costantino, V.; Chughtai, A.A.; MacIntyre, C.R. Reemergence of Human Monkeypox and Declining Population Immunity in the Context of Urbanization, Nigeria, 2017–2020. Emerg. Infect. Dis. 2021, 27, 1007–1014. [Google Scholar] [CrossRef]
- Thomassen, H.A.; Fuller, T.; Asefi-Najafabady, S.; Shiplacoff, J.A.G.; Mulembakani, P.M.; Blumberg, S.; Johnston, S.C.; Kisalu, N.K.; Kinkela, T.L.; Fair, J.N.; et al. Pathogen-Host Associations and Predicted Range Shifts of Human Monkeypox in Response to Climate Change in Central Africa. PLoS ONE 2013, 8, e66071. [Google Scholar] [CrossRef]
- Thornhill, J.P.; Barkati, S.; Walmsley, S.; Rockstroh, J.; Antinori, A.; Harrison, L.B.; Palich, R.; Nori, A.; Reeves, I.; Habibi, M.S.; et al. Monkeypox Virus Infection in Humans across 16 Countries—April–June 2022. N. Engl. J. Med. 2022, 387, 679–691. [Google Scholar] [CrossRef]
- Chen, H.; Zhao, H.; Shen, J.; Zhou, R.; Zhou, Q. Supervised Machine Learning Model for High Dimensional Gene Data in Colon Cancer Detection. In Proceedings of the 2015 IEEE International Congress on Big Data, New York, NY, USA, 27 June–2 July 2015; pp. 134–141. [Google Scholar]
- Ahsan, M.M.; Uddin, M.R.; Farjana, M.; Sakib, A.N.; Momin, K.A.l.; Luna, S.A. Image Data Collection and Implementation of Deep Learning-Based Model in Detecting Monkeypox Disease Using Modified VGG16. arXiv 2022, arXiv:2206.01862. [Google Scholar]
- Saba, A.I.; Elsheikh, A.H. Forecasting the prevalence of COVID-19 outbreak in Egypt using nonlinear autoregressive artificial neural networks. Process. Saf. Environ. Prot. 2020, 141, 1–8. [Google Scholar] [CrossRef]
- Chavda, V.P.; Vora, L.K.; Apostolopoulos, V. Monkeypox: A new face of outbreak. Expert Rev. Vaccines 2022, 21, 1537–1540. [Google Scholar] [CrossRef]
- Mohbey, K.K.; Meena, G.; Kumar, S.; Lokesh, K. A CNN-LSTM-Based Hybrid Deep Learning Approach to Detect Sentiment Polarities on Monkeypox Tweets. arXiv 2022, arXiv:2208.12019. [Google Scholar]
- Mathieu, E.; Spooner, F.; Dattani, S.; Ritchie, H.; Roser, M. Monkeypox. Our World in Data. 2022. Available online: https://ourworldindata.org/monkeypox (accessed on 8 October 2022).
- Petersen, B.W.; Harms, T.J.; Reynolds, M.G.; Harrison, L.H. Use of Vaccinia Virus Smallpox Vaccine in Laboratory and Health Care Personnel at Risk for Occupational Exposure to Orthopoxviruses—Recommendations of the Advisory Committee on Immunization Practices (ACIP), 2015. MMWR Morb. Mortal. Wkly. Rep. 2016, 65, 257–262. [Google Scholar] [CrossRef] [PubMed]
- Ogoina, D.; Iroezindu, M.; James, H.I.; Oladokun, R.; Yinka-Ogunleye, A.; Wakama, P.; Otike-Odibi, B.; Usman, L.M.; Obazee, E.; Aruna, O.; et al. Clinical Course and Outcome of Human Monkeypox in Nigeria. Clin. Infect. Dis. 2020, 71, e210–e214. [Google Scholar] [CrossRef]
- Adler, H.; Gould, S.; Hine, P.; Snell, L.B.; Wong, W.; Houlihan, C.F.; Osborne, J.C.; Rampling, T.; Beadsworth, M.B.; Duncan, C.J.; et al. Clinical features and management of human monkeypox: A retrospective observational study in the UK. Lancet Infect. Dis. 2022, 22, 1153–1162. [Google Scholar] [CrossRef] [PubMed]
- Meng, F.; Uversky, V.N.; Kurgan, L. Comprehensive Review of Methods for Prediction of Intrinsic Disorder and Its Molecular Functions. Cell. Mol. Life Sci. 2017, 74, 3069–3090. [Google Scholar] [CrossRef]
- Al-Qaness, M.A.A.; Ewees, A.A.; Fan, H.; El Aziz, M.A. Optimization Method for Forecasting Confirmed Cases of COVID-19 in China. J. Clin. Med. 2020, 9, 674. [Google Scholar] [CrossRef]
- Hamadneh, N.N.; Khan, W.A.; Ashraf, W.; Atawneh, S.H.; Khan, I.; Hamadneh, B.N. Artificial Neural Networks for Prediction of Covid-19 in Saudi Arabia. Comput. Mater. Contin. 2021, 66, 2787–2796. [Google Scholar] [CrossRef]
- Wang, L.; Wang, Z.; Qu, H.; Liu, S. Optimal Forecast Combination Based on Neural Networks for Time Series Forecasting. Appl. Soft Comput. 2018, 66, 1–17. [Google Scholar] [CrossRef]
- Apaydin, H.; Feizi, H.; Sattari, M.T.; Colak, M.S.; Shamshirband, S.; Chau, K.-W. Comparative Analysis of Recurrent Neural Network Architectures for Reservoir Inflow Forecasting. Water 2020, 12, 1500. [Google Scholar] [CrossRef]
- Borghi, P.H.; Zakordonets, O.; Teixeira, J.P. A COVID-19 time series forecasting model based on MLP ANN. Procedia Comput. Sci. 2021, 181, 940–947. [Google Scholar] [CrossRef] [PubMed]
- Zeroual, A.; Harrou, F.; Dairi, A.; Sun, Y. Deep learning methods for forecasting COVID-19 time-Series data: A Comparative study. Chaos Solitons Fractals 2020, 140, 110121. [Google Scholar] [CrossRef] [PubMed]
- Hamadneh, N.N.; Tahir, M.; Khan, W.A. Using Artificial Neural Network with Prey Predator Algorithm for Prediction of the COVID-19: The Case of Brazil and Mexico. Mathematics 2021, 9, 180. [Google Scholar] [CrossRef]
- Niazkar, H.R.; Niazkar, M. Application of artificial neural networks to predict the COVID-19 outbreak. Glob. Health Res. Policy 2020, 5, 50. [Google Scholar] [CrossRef]
- Kim, M.H.; Kim, J.H.; Lee, K.; Gim, G.Y. The Prediction of COVID-19 Using LSTM Algorithms. Int. J. Netw. Distrib. Comput. 2021, 9, 59–74. [Google Scholar] [CrossRef]
- Wang, P.; Zheng, X.; Ai, G.; Liu, D.; Zhu, B. Time Series Prediction for the Epidemic Trends of COVID-19 Using the Improved LSTM Deep Learning Method: Case Studies in Russia, Peru and Iran. Chaos Solitons Fractals 2020, 140, 11021. [Google Scholar] [CrossRef]
- Manohar, B.; Das, R. Artificial Neural Networks for Prediction of COVID-19 in India by Using Backpropagation. Expert Syst. 2022, e13105. Available online: https://onlinelibrary.wiley.com/doi/full/10.1111/exsy.13105 (accessed on 14 June 2022). [CrossRef]
- Geirhos, R.; Janssen DH, J.; Schütt, H.H.; Rauber, J.; Bethge, M.; Wichmann, F.A. Comparing Deep Neural Networks against Humans: Object Recognition When the Signal Gets Weaker. arXiv 2017, arXiv:1706.06969. [Google Scholar]
- Rashidi, M.; Ali, M.; Freidoonimehr, N.; Nazari, F. Parametric Analysis and Optimization of Entropy Generation in Unsteady MHD Flow over a Stretching Rotating Disk Using Artificial Neural Network and Particle Swarm optimization algorithm. Energy 2013, 55, 497–510. [Google Scholar] [CrossRef]
- Asadi, S.; Shahrabi, J.; Abbaszadeh, P.; Tabanmehr, S. A new hybrid artificial neural networks for rainfall–runoff process modeling. Neurocomputing 2013, 121, 470–480. [Google Scholar] [CrossRef]
- Aichouri, I.; Hani, A.; Bougherira, N.; Djabri, L.; Chaffai, H.; Lallahem, S. River Flow Model Using Artificial Neural Networks. Energy Procedia 2015, 74, 1007–1014. [Google Scholar] [CrossRef]
- Mirzazadeh, A.; Abdollahpour, S.; Mahmoudi, A.; Bukat, A. Intelligent Modeling of Material Separation in Combine Harvester’s Thresher by ANN. Int. J. Agric. Crop Sci. 2012, 4, 1767–1777. [Google Scholar]
- Khalesi, S.; Mahmoudi, A.; Hosainpour, A.; Alipour, A. Detection of Walnut Varieties Using Impact Acoustics and Artificial Neural Networks (ANNs). Mod. Appl. Sci. 2011, 6, 43. [Google Scholar] [CrossRef][Green Version]
- Hossain, M.A.; Ayodele, B.V.; Cheng, C.K.; Khan, M.R. Artificial neural network modeling of hydrogen-rich syngas production from methane dry reforming over novel Ni/CaFe2O4 catalysts. Int. J. Hydrogen Energy 2016, 41, 11119–11130. [Google Scholar] [CrossRef]
- Taghavifar, H.; Mardani, A. Wavelet Neural Network Applied for Prognostication of Contact Pressure between Soil and Driving Wheel. Inf. Process. Agric. 2014, 1, 51–56. [Google Scholar] [CrossRef][Green Version]
- Sharabiani, V.R.; Kassar, F.H.; Gilandeh, Y.A.; Ardabili, S.F. Application of Soft Computing Methods and Spectral Reflectance Data for Wheat Growth Monitoring. Iraqi J. Agric. Sci. 2019, 50, 1064–1076. [Google Scholar]
- Reshadsedghi, A.; Mahmoudi, A. Detection of Almond Varieties Using Impact Acoustics and Artificial Neural Networks. Int. J. Agric. Crop Sci. 2013, 6, 1008–1017. [Google Scholar]
- Hassoun, M.H. Fundamentals of Artificial Neural Networks; The MIT Press: Cambridge, MA, USA, 1995; Volume 84. [Google Scholar]
- Padhi, P.C.; Mahapatra, S.S.; Yadav, S.N.; Tripathy, D.K. Performance Characteristic Prediction of WEDM Process Using Response Surface Methodology and Artificial Neural Network. Int. J. Ind. Syst. Eng. 2014, 18, 433–453. [Google Scholar] [CrossRef]
- Chalisgaonkar, R.; Kumar, J.; Pant, P. Prediction of Machining Characteristics of Finish Cut WEDM Process for Pure Titanium Using Feed Forward Back Propagation Neural Network. Mater. Today Proc. 2020, 25, 592–601. [Google Scholar] [CrossRef]
- Janmanee, P.; Kumjing, S. A Study of Tungsten Carbide Surfaces during the Electrical Discharge Machining Using Artificial Neural Network Model. Int. J. Appl. Eng. Res. 2017, 12, 3214–3227. [Google Scholar]
- Chimmula, V.K.R.; Zhang, L. Time series forecasting of COVID-19 transmission in Canada using LSTM networks. Chaos Solitons Fractals 2020, 135, 109864. [Google Scholar] [CrossRef] [PubMed]
- Shahid, F.; Zameer, A.; Muneeb, M. Predictions for COVID-19 with Deep Learning Models of LSTM, GRU and Bi-LSTM. Chaos Solitons Fractals 2020, 140, 110212. [Google Scholar] [CrossRef]
- Liu, C.-H.; Gu, J.-C.; Yang, M.-T. A Simplified LSTM Neural Networks for One Day-Ahead Solar Power Forecasting. IEEE Access 2021, 9, 17174–17195. [Google Scholar] [CrossRef]
- Yu, S.; Han, R.; Zheng, Y.; Gong, C. An Integrated AMPSO-CLSTM Model for Photovoltaic Power Generation Prediction. Front. Energy Res. 2022, 10, 264. [Google Scholar] [CrossRef]
- Al-Haija, A.; Gui, G.; Su, R.; Yu, R.; Alsulami, A.A.; Abu Al-Haija, Q.; Alqahtani, A.; Alsini, R. Symmetrical Simulation Scheme for Anomaly Detection in Autonomous Vehicles Based on LSTM Model. Symmetry 2022, 14, 1450. [Google Scholar]
- Amoudi, G.; Albalawi, R.; Baothman, F.; Jamal, A.; Alghamdi, H.; Alhothali, A. Arabic rumor detection: A comparative study. Alex. Eng. J. 2022, 61, 12511–12523. [Google Scholar] [CrossRef]
- GitHub—Globaldothealth/Monkeypox: Monkeypox 2022 Repository. Available online: https://github.com/globaldothealth/monkeypox (accessed on 8 October 2022).
- Fedotenkova, M. Extraction of Multivariate Components in Brain Signals Obtained during General Anesthesia. Ph.D. Thesis, Université de Lorraine, Metz, France, 2016. [Google Scholar]
- Salehi, R.; Lestari, R.A.S. Predicting the performance of a desulfurizing bio-filter using an artificial neural network (ANN) model. Environ. Eng. Res. 2020, 26, 200462. [Google Scholar] [CrossRef]
- Shaibani, M.J.; Emamgholipour, S.; Moazeni, S.S. Investigation of Robustness of Hybrid Artificial Neural Network with Artificial Bee Colony and Firefly Algorithm in Predicting COVID-19 New Cases: Case Study of Iran. Stoch. Environ. Res. Risk Assess. Res. J. 2022, 36, 2461–2476. [Google Scholar] [CrossRef]
- Silitonga, P.; Bustamam, A.; Muradi, H.; Mangunwardoyo, W.; Dewi, B.E. Comparison of Dengue Predictive Models Developed Using Artificial Neural Network and Discriminant Analysis with Small Dataset. Appl. Sci. 2021, 11, 943. [Google Scholar] [CrossRef]
- Karsoliya, S. Approximating Number of Hidden Layer Neurons in Multiple Hidden Layer BPNN Architecture. Int. J. Eng. Trends Technol. 2012, 3, 714–717. [Google Scholar]
- Laureano-Rosario, A.E.; Duncan, A.P.; Mendez-Lazaro, P.A.; Garcia-Rejon, J.E.; Gomez-Carro, S.; Farfan-Ale, J.; Savic, D.A.; Muller-Karger, F.E. Application of Artificial Neural Networks for Dengue Fever Outbreak Predictions in the Northwest Coast of Yucatan, Mexico and San Juan, Puerto Rico. Trop. Med. Infect. Dis. 2018, 3, 5. [Google Scholar] [CrossRef] [PubMed]
- Gülcü, Ş. Training of the feed forward artificial neural networks using dragonfly algorithm. Appl. Soft Comput. 2022, 124, 109023. [Google Scholar] [CrossRef]
- Yarsky, P. Using a genetic algorithm to fit parameters of a COVID-19 SEIR model for US states. Math. Comput. Simul. 2021, 185, 687–695. [Google Scholar] [CrossRef]
- Zorlu, K.; Gokceoglu, C.; Ocakoglu, F.; Nefeslioglu, H.; Acikalin, S. Prediction of uniaxial compressive strength of sandstones using petrography-based models. Eng. Geol. 2008, 96, 141–158. [Google Scholar] [CrossRef]
- Koopialipoor, M.; Noorbakhsh, A.; Ghaleini, E.N.; Armaghani, D.J.; Yagiz, S. A new approach for estimation of rock brittleness based on non-destructive tests. Nondestruct. Test. Evaluation 2019, 34, 354–375. [Google Scholar] [CrossRef]
Publisher’s Note: MDPI stays neutral with regard to jurisdictional claims in published maps and institutional affiliations. |
© 2022 by the authors. Licensee MDPI, Basel, Switzerland. This article is an open access article distributed under the terms and conditions of the Creative Commons Attribution (CC BY) license (https://creativecommons.org/licenses/by/4.0/).












