Challenges in the Diagnostic Performance of Parasitological and Molecular Tests in the Surveillance of African Trypanosomiasis in Eastern Zambia
Abstract
1. Introduction
2. Materials and Methods
2.1. Study Area
2.2. Study Design and Sample Size
2.3. Sample Collection
2.4. Application of Diagnostic Tests
2.4.1. Microscopy
2.4.2. DNA Extraction from Whatman® No. 1 Filter Paper
2.4.3. DNA Extraction from FTA Cards
2.4.4. ITS-PCR
2.5. Data Analysis
3. Results
4. Discussion
5. Conclusions
Author Contributions
Funding
Institutional Review Board Statement
Informed Consent Statement
Acknowledgments
Conflicts of Interest
Abbreviations
| PCR | Polymerase chain reaction |
| AAT | Animal African trypanosomiasis |
| HAT | Human African trypanosomiasis |
| ITS | Internal transcribed spacers |
| FP | Filter paper |
| PCV | Packed cell volume |
| NPV | Negative predictive value |
| PPV | Positive predictive value |
| AUC | Area under curve |
| ROC | Receiver operator curve |
| DNA | Deoxyribonucleic acid |
References
- Welburn, S.C.; Picozzi, K.; Fevre, E.M.; Coleman, P.G.; Odiit, M.; Carrington, M.; Maudlin, I. Identification of human-infective trypanosomes in animal reservoir of sleeping sickness in Uganda by means of serum-resistance-associated (SRA) gene. Lancet 2001, 358, 2017–2019. [Google Scholar] [CrossRef]
- Simukoko, H.; Marcotty, J.; Phiri, I.; Geysen, D.; Vercruysee, J.; Vanden Bossche, P. The comparative role of cattle, goats and pigs in epidemiology of livestock trypanosomiasis on plateau of eastern Zambia. Vet. Parasitol. 2007, 147, 231–238. [Google Scholar] [CrossRef] [PubMed]
- PAAT—Programme Against African Trypanosomiasis. Available online: http://www.fao.org/paat/the-programme/our-structure/es/ (accessed on 29 April 2021).
- FAO (Food and Agriculture Organization of the United Nations). WHO and FAO Step up towards the Elimination of Human African Trypanosomiasis to Ensure Health and Food Security in Africa; FAO: Addis Ababa, Ethopia, 2018. [Google Scholar]
- Katsidzira, L.; Fana, G.T. Pitfalls in the diagnosis of Trypanosomiasis in low endemic countries: A case Report. PLoS Negl. Trop. Dis. 2010, 4, e823. [Google Scholar] [CrossRef]
- Chappuis, S.E.; Adams, K.; Kidane, S.; Pittet, A.; Bovier, P.A. Chappuis F, Stivanello E, Adams K, Ki Card agglutination test for trypanosomisis end-dilution titer and cerebrospinal fluid cell count as predictors of human African trypanosomiasis (T. b. r) among serologically susp. Am. J. Trop. Med. Hyg. 2004, 71, 313–317. [Google Scholar] [CrossRef] [PubMed]
- Cox, A.P.; Tosas, O.; Tilley, A.; Picozzi, K.; Coleman, P.; Hide, G.; Welburn, S.C. Constraints to estimating the prevalence of trypanosome infections in East African zebu cattle. Parasites Vectors 2010, 3, 82. [Google Scholar] [CrossRef]
- Odiit, C.P.; Liu, W.; McDermolt, J.; Fevre, E.; Welburn, S.C.; Woolhouse, M.E.J. Quantifying the level of under detection of T. b. r. sleeping sickness cases. Trop. Med. Int. Health 2005, 10, 840–849. [Google Scholar] [CrossRef]
- Thumbi, M.F.; Mosi, R.O.; Jung’a, J.O. Comparative evaluation of three PCR base diagnostic assays for the detection of pathogenic trypanosomes in cattle blood. Parasites Vectors 2008, 1, 1–46. [Google Scholar] [CrossRef]
- Moti, Y.; Fikru, R.; Buscher, P.; Van Den Abbeele, J.; Duchateau, L.; Delespaux, V. Detection of African animal trypanosomes: The haematocrit centrifugation technique compared to PCR with samples stored on filter paper or in DNA protecting buffer. Vet. Parasitol. 2014, 203, 253–258. [Google Scholar] [CrossRef] [PubMed]
- Cox, A.; Tilley, A.; McOdimba, F.; Fyfe, J.; Eisler, M.; Hide, G.; Welburn, S. A PCR based assay for detection and differentiation of African trypanosome species in blood. Exp. Parasitol. 2005, 22, 24–29. [Google Scholar] [CrossRef]
- Desquesnes, M.; McLaughlin, G.; Zoungrana, A.; Davila, A.M. Detection and identification of Trypanosoma of African livestock through a single PCR based on internal transcribed spacer 1 of rDNA. Int. J. Parasitol. 2001, 31, 610–614. [Google Scholar] [CrossRef]
- Musinguzi, S.P.; Suganuma, K.; Asada, M.; Laohasinnarong, D.; Sivakumar, T.; Yokoyama, N.; Namangala, B.; Sugimoto, C.; Suzuki, Y.; Xuan, X.; et al. A PCR-based survey of animal African trypanosomosis and selected piroplasm parasites of cattle and goats in Zambia. J. Vet. Med. Sci. 2017, 78, 1819–1824. [Google Scholar] [CrossRef]
- Njiru, Z.K.; Mikosza, A.S.; Matovu, E.; Enyaru, J.C.; Ouma, J.O.; Kibona, S.N.; Thompson, R.C.; Ndung’u, J.M. African trypanosomiasis: Sensitive and rapid detection of the sub-genus Trypanozoon by loop-mediated isothermal amplification (LAMP) of parasite DNA. Int. J. Parasitol. 2008, 38, 589–599. [Google Scholar] [CrossRef]
- Solano, J.V.; Guessan, P.N. Comparison of different DNA preparation protocols for PCR diagnosis of HAT in Cote d’ivoire. Acta. Trop. 2002, 82, 349–356. [Google Scholar] [CrossRef]
- Njiru, Z.K.; Constantine, C.C.; Guya, S.; Crowther, J.; Kiragu, J.M.; Thompson, R.C.; Davila, A.M. The use of ITS1 rDNA PCR in detecting pathogenic African trypanosomes. Parasitol. Res. 2005, 95, 186–192. [Google Scholar] [CrossRef]
- Laohasinnarong, D.; Goto, Y.; Asada, M.; Nakao, R.; Hayashida, K.; Kajino, K.; Kawazu, S.; Sugimoto, C.; Inoue, N.; Namangala, B. Studies of trypanosomiasis in the Luangwa valley, north-eastern Zambia. Parasites Vectors 2015, 8, 555. [Google Scholar] [CrossRef]
- Ahmed, H.A.; MacLeod, E.T.; Hide, G.; Welburn, S.C.; Picozzi, K. The best practice for preparation of samples from FTA(R)cards for diagnosis of blood borne infections using African trypanosomes as a model system. Parasites Vectors 2011, 4, 68. [Google Scholar] [CrossRef]
- Chagas, C.R.F.; Binkiene, R.; Ilgunas, M.; Iezhova, T.; Valkiunas, G. The buffy coat method: A tool for detection of blood parasites without staining procedures. Parasites Vectors 2020, 13, 104. [Google Scholar] [CrossRef]
- Mbewe, N.J.; Namangala, B.; Sitali, L.; Vorster, I.; Michelo, C. Prevalence of pathogenic trypanosomes in anaemic cattle from trypanosomosis challenged areas of Itezhi-tezhi district in central Zambia. Parasites Vectors 2015, 8, 638. [Google Scholar] [CrossRef]
- Marcotty, T.; Simukoko, H.; Berkvens, D.; Vercruysse, J.; Praet, N.; Van den Bossche, P. Evaluating the use of packed cell volume as an indicator of trypanosomal infections in cattle in eastern Zambia. Prev. Vet. Med. 2008, 87, 288–300. [Google Scholar] [CrossRef]
- Morrison, L.J.; McCormack, G.; Sweeney, L.; Likeufack, A.C.; Truc, P.; Turner, C.M.; Tait, A.; MacLeod, A. Use of multiple displacement amplification to increase the detection and genotyping of trypanosoma species samples immobilized on FTA filters. Am. J. Trop. Med. Hyg. 2007, 76, 1132–1137. [Google Scholar] [CrossRef][Green Version]
- Gaithuma, A.K.; Yamagishi, J.; Martinelli, A.; Hayashida, K.; Kawai, N.; Marsela, M.; Sugimoto, C. A single test approach for accurate and sensitive detection and taxonomic characterization of Trypanosomes by comprehensive analysis of internal transcribed spacer 1 amplicons. PLoS. Negl. Trop. Dis. 2019, 13, e0006842. [Google Scholar] [CrossRef]
- Ahmed, H.A.; Picozzi, K.; Welburn, S.C.; MacLeod, E.T. A comparative evaluation of PCR- based methods for species- specific determination of African animal trypanosomes in Ugandan cattle. Parasites Vectors 2013. [Google Scholar] [CrossRef]
- Sawitri, D.H.; Wardhana, A.H.; Dewi, D.A.; Ekawasti, F.; Widjaja, E. Application of Dried Blood Sample on Whatman Filter Paper for Detection of Trypanosoma evansi from Cattle in Central Kalimantan by Internal Trascriber Spacer-1 Polymerase Chain Reaction. In Proceedings of the International Seminar on Livestock Production and Veterinary Technology, Bali, Indonesia, 10 August 2016. [Google Scholar] [CrossRef]
- Florkwoski, C. Sensitivity, Specificity, Receiver-Operating Characteristic (ROC) Curves and Likelihood Ratios: Communicating the Performance of Diagnostic Test. Clin. Biochem. Rev. 2008, 29, S83. [Google Scholar]
- Cadioli, F.A.; Fidelis Junior, O.L.; Sampaio, P.H.; dos Santos, G.N.; Andre, M.R.; Castilho, K.J.; Machado, R.Z. Detection of Trypanosoma vivax using PCR and LAMP during aparasitemic periods. Vet. Parasitol. 2015, 214, 174–177. [Google Scholar] [CrossRef] [PubMed]
- de Clare Bronsvoort, B.M.; von Wissmann, B.; Fevre, E.M.; Handel, I.G.; Picozzi, K.; Welburn, S.C. No gold standard estimation of the sensitivity and specificity of two molecular diagnostic protocols for Trypanosoma brucei spp. in Western Kenya. PLoS ONE 2010, 5, e8628. [Google Scholar] [CrossRef]
- Lumsden, W.H.R.; Evans, D.A.; Kimber, C.D. Miniature anion-exchange/centrifugation technique for the diagnosis of microfilaraemia in the field. Trans. R. Soc. Soc. Trop. Med. Hyg. 1980, 74, 40–42. [Google Scholar] [CrossRef]
- Despommier, G.; Hotez, K. The Protozoa. In Parasitic Diseases; Apple Trees Productions: New York, NY, USA, 2005; pp. 32–39. [Google Scholar]
- Muhanguzi, D.; Mugenyi, A.; Bigirwa, G.; Kamusiime, M.; Kitibwa, A.; Akurut, G.G.; Ochwo, S.; Amanyire, W.; Okech, S.G.; Hattendorf, J.; et al. African animal trypanosomiasis as a constraint to livestock health and production in Karamoja region: A detailed qualitative and quantitative assessment. BMC Vet. Res. 2017, 13, 355. [Google Scholar] [CrossRef]
- Simukoko, H.; Marcotty, T.; Vercruysse, J.; Van den Bossche, P. Bovine trypanosomiasis risk in an endemic area on the eastern plateau of Zambia. Res. Vet. Sci. 2011, 90, 51–54. [Google Scholar] [CrossRef]
- Taioe, M.O.; Motloang, M.Y.; Namangala, B.; Chota, A.; Molefe, N.I.; Musinguzi, S.P.; Suganuma, K.; Hayes, P.; Tsilo, T.J.; Chainey, J.; et al. Characterization of tabanid flies (Diptera: Tabanidae) in South Africa and Zambia and detection of protozoan parasites they are harbouring. Parasitology 2017, 144, 1162–1178. [Google Scholar] [CrossRef]
- Namangala, B.; Oparaocha, E.; Kajino, K.; Hayashida, K.; Moonga, L.; Inoue, N.; Suzuki, Y.; Sugimoto, C. Preliminary investigation of trypanosomosis in exotic dog breeds from Zambia’s Luangwa and Zambezi valleys using LAMP. Am. J. Trop. Med. Hyg. 2013, 89, 116–118. [Google Scholar] [CrossRef]
- Ruiz, J.P.; Nyingilili, H.S.; Mbata, G.H.; Malele, I.I. The role of domestic animals in the epidemiology of human African trypanosomiasis in Ngorongoro conservation area, Tanzania. Parasites Vectors 2015, 8, 510. [Google Scholar] [CrossRef] [PubMed]
- Selby, R.; Bardosh, K.; Picozzi, K.; Waiswa, C.; Welburn, S.C. Cattle movements and trypanosomes: Restocking efforts and the spread of Trypanosoma brucei rhodesiense sleeping sickness in post-conflict Uganda. Parasites Vectors 2013, 6, 281. [Google Scholar] [CrossRef] [PubMed]

| Trypanosome Species | PCR-FP | Sample Prevalence % | Confidence Interval at 95% | PCR-FTA | Sample Prevalence % | Confidence Interval at 95% |
|---|---|---|---|---|---|---|
| T. congolense | 7 | 3.1 | 0.8–5.3 | 14 | 6.2 | 3.0–9.3 |
| T. vivax | 39 | 17.2 | 12.3–22.1 | 50 | 22.0 | 16.6–27.4 |
| T. brucei | 1 | 0.4 | −0.4–1.3 | 19 | 8.4 | 4.8–12.0 |
| T. b. rhodesiense | 0 | − | − | 3 | 1.3 | −0.2–2.8 |
| Mixed | 1 | 0.4 | −0.4–1.3 | 9 | 4.0 | 1.4–6.5 |
| TOTAL | 47 | 20.7 | 15.4–26.0 | 83 | 36.6 | 30.3–42.8 |
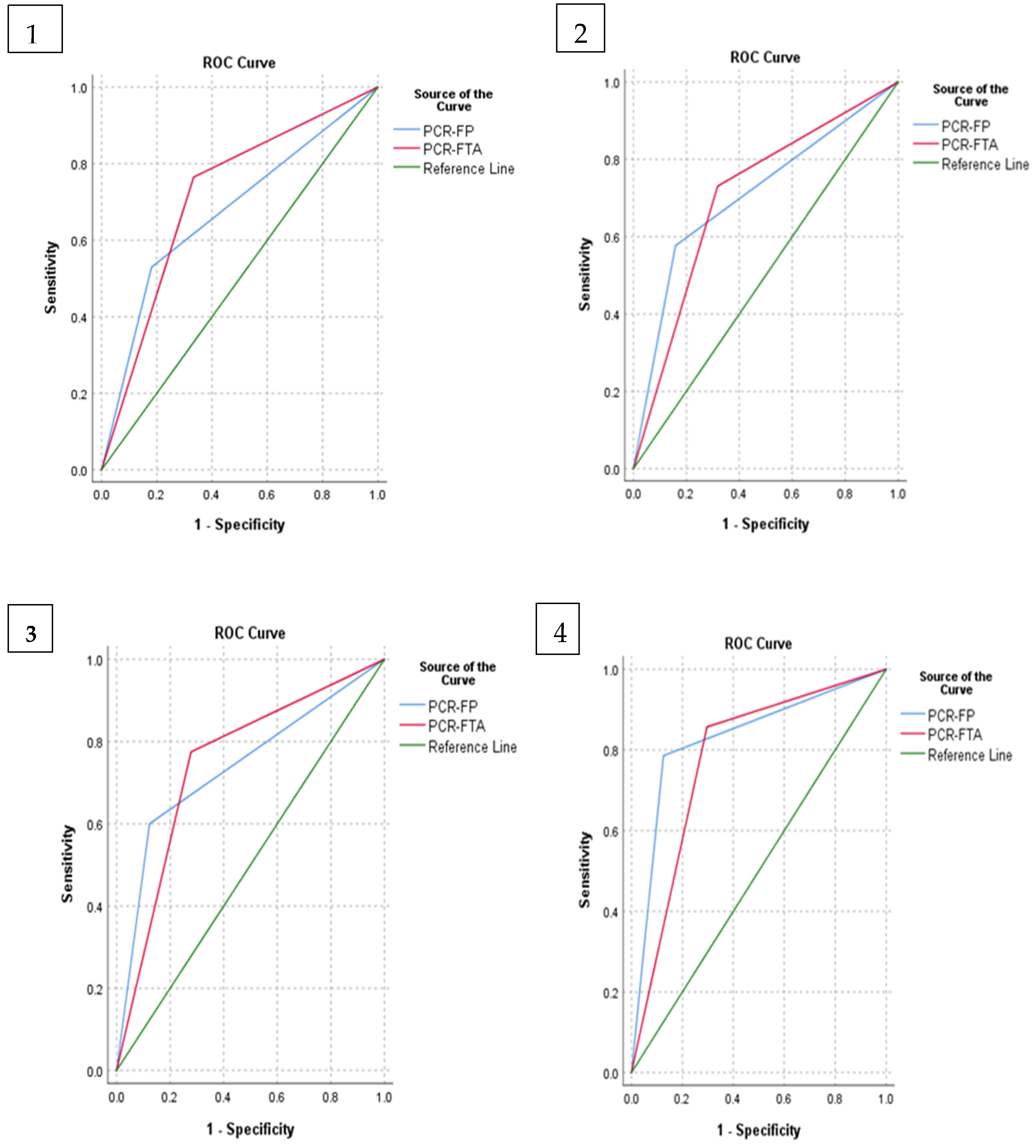
| Reference | Test Result Variable(s) | AUC | Std. Error | p-Value | AUC 95% Confidence Interval | Test Performance Relative to Reference | |
|---|---|---|---|---|---|---|---|
| Lower Bound | Upper Bound | ||||||
| (1) Buffy coat | ITS-PCR-FP | 0.674 | 0.075 | 0.020 | 0.528 | 0.821 | Poor |
| ROC 1 | ITS-PCR-FTA | 0.716 | 0.063 | 0.001 | 0.592 | 0.839 | Fair |
| (2) Thin smear | ITS-PCR-FP | 0.709 | 0.060 | 0.001 | 0.591 | 0.827 | Fair |
| ROC 2 | ITS-PCR-FTA | 0.706 | 0.054 | 0.000 | 0.601 | 0.812 | Fair |
| (3) Thick smear | ITS-PCR-FP | 0.830 | 0.047 | 0.000 | 0.738 | 0.922 | Good |
| ROC 3 | ITS-PCR-FTA | 0.780 | 0.044 | 0.000 | 0.695 | 0.866 | Good |
| (4) Combined Microscopy | ITS-PCR-FP | 0.739 | 0.049 | 0.000 | 0.643 | 0.834 | Fair |
| ROC 4 | ITS-PCR-FTA | 0.748 | 0.043 | 0.000 | 0.665 | 0.832 | Fair |
Publisher’s Note: MDPI stays neutral with regard to jurisdictional claims in published maps and institutional affiliations. |
© 2021 by the authors. Licensee MDPI, Basel, Switzerland. This article is an open access article distributed under the terms and conditions of the Creative Commons Attribution (CC BY) license (https://creativecommons.org/licenses/by/4.0/).
Share and Cite
Mulenga, G.M.; Namangala, B.; Chilongo, K.; Mubamba, C.; Hayashida, K.; Henning, L.; Gummow, B. Challenges in the Diagnostic Performance of Parasitological and Molecular Tests in the Surveillance of African Trypanosomiasis in Eastern Zambia. Trop. Med. Infect. Dis. 2021, 6, 68. https://doi.org/10.3390/tropicalmed6020068
Mulenga GM, Namangala B, Chilongo K, Mubamba C, Hayashida K, Henning L, Gummow B. Challenges in the Diagnostic Performance of Parasitological and Molecular Tests in the Surveillance of African Trypanosomiasis in Eastern Zambia. Tropical Medicine and Infectious Disease. 2021; 6(2):68. https://doi.org/10.3390/tropicalmed6020068
Chicago/Turabian StyleMulenga, Gloria M., Boniface Namangala, Kalinga Chilongo, Chrisborn Mubamba, Kyoko Hayashida, Lars Henning, and Bruce Gummow. 2021. "Challenges in the Diagnostic Performance of Parasitological and Molecular Tests in the Surveillance of African Trypanosomiasis in Eastern Zambia" Tropical Medicine and Infectious Disease 6, no. 2: 68. https://doi.org/10.3390/tropicalmed6020068
APA StyleMulenga, G. M., Namangala, B., Chilongo, K., Mubamba, C., Hayashida, K., Henning, L., & Gummow, B. (2021). Challenges in the Diagnostic Performance of Parasitological and Molecular Tests in the Surveillance of African Trypanosomiasis in Eastern Zambia. Tropical Medicine and Infectious Disease, 6(2), 68. https://doi.org/10.3390/tropicalmed6020068

