Authoring Moving Parts of Objects in AR, VR and the Desktop
Abstract
:1. Introduction
- The first comparison of AR, VR and desktop for authoring the moving parts of objects;
- The results from a user study to evaluate participants’ performance and preferences.
2. Related Work
2.1. Augmented Reality Authoring Tools
2.2. Virtual Reality Authoring Tools
2.3. Desktop Authoring Tools
2.4. Real and Virtual Objects’ Behaviors
3. Materials and Methods
3.1. System Design
3.1.1. AR Application
3.1.2. VR Application
3.1.3. Desktop Application
3.2. UI Design Considerations
3.2.1. AR/VR Depth Perception
3.2.2. AR/VR Drag and Submit Gestures
3.2.3. Component Selection Cuboid Manipulation
3.3. User Study
3.3.1. Participants and Apparatus
3.3.2. Study Preparation
3.4. Participants’ Tasks in Study
3.4.1. Object Component Selection
3.4.2. Perpendicular Pulling Behavior
3.4.3. Rotational Behavior
3.4.4. Visualize Result
3.5. Study Procedure
4. Results
4.1. Time and Error Rates
4.2. Usability and Perception
- Participants rated the importance of the task on the desktop significantly higher than if performed in AR.
- Participants reported having significantly more prior experience in desktop than in AR and VR.
- There was no significant difference found in how realistic the participants perceived the objects to be in the scene in each condition.
- Pressing buttons in the UI canvas was more difficult in AR than in desktop and VR.
- Desktop was perceived as significantly easier to use to complete the tasks assigned than AR and VR.
- AR was a significantly less enjoyable experience than VR and desktop.
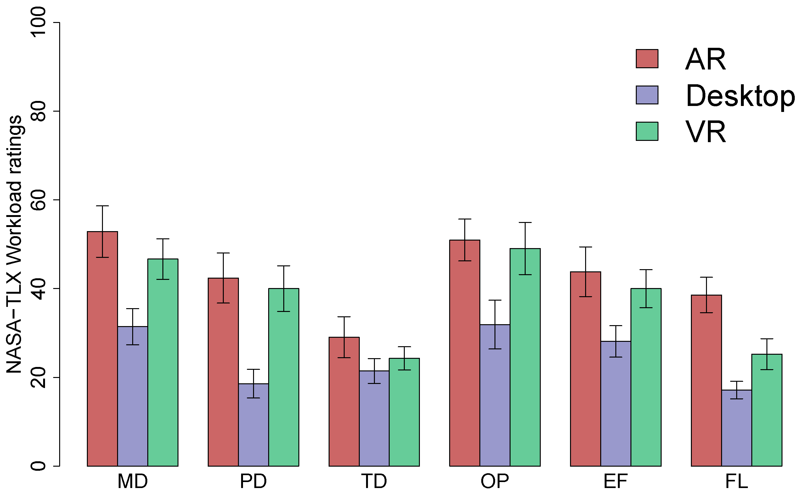
4.3. Workload
- Participants perceived the workload similarly between AR and VR in 5 of 6 factors measured.
- Frustration levels were significantly higher between AR and VR.
- AR and VR, when compared to desktop, showed significantly higher workload ratings in 4 of 6 factors measured.
- Performance was perceived significantly better when using the desktop condition than AR.
- No significant difference in temporal demand was found across conditions.
4.4. Preference
5. Discussion
5.1. Authoring Time
User 19: “AR seemed to be more inconsistent with its tracking compared to VR."
User 2: “AR was really hard to realign my hands and do selections."
5.2. Tasks Requiring Precise Interaction
User 13 while in VR: “It was easy to perform the initial interaction with the object. The challenge was lining up the virtual maker points with the objects edges and not performing the gesture."
User 17 in AR: “The easiest was to measure volume. a challenge was trying to get the points exactly where I wanted them to be."
Desktop participant 16: “I found it easy to select the size of the door at first. It was a bit difficult to calculate how far back the cabinet door went."
5.3. Usability
User 4: “authoring through AR and VR seems more immersive and natural rather than desktop, also it resembles a real life experience when it comes to authoring that behavior."
User 2: “Desktop interface is very good! I would use it the most I think. But it is more fun to open a door in 3D. It really feels like I am opening and closing it more there."
User 19: “Authoring in 3D has great advantages from doing the experience. It is a lot easier to navigate to the objects, and with AR, you can physically touch the objects and model them more accurately. I think as tracking improves, it is definitely the next step for modeling objects and is much more intuitive."
5.4. Recommendations for Authoring of Object Components’ Behaviors
User 17: “Augmented reality made it feel more real since real objects were being used, so it was easy visualize it a bit more."
User 14: “AR and VR were pretty similar to me, I feel AR safer since you are interacting with the actual environment but I understand cases were VR would be necessary."
“I think, in AR, it was slightly more difficult to draw the line between reality and what is augmented. In the sense of, I am in this virtual world, but these are real objects made virtual. As a result, the lines were more blurred. In VR, I know it is virtual, even if the world around me is real but I know that I do not have to physically interact with the items. I think that creates a slight mental shift, in terms of accuracy and expected behaviors. For the desktop, I think it is easy to get a feel for the behavior to expect due to the fact that there is no sense of virtual attached to it. It is an item on a desktop and you know what outcome to expect in your behaviors."
6. Limitations
7. Conclusions
Author Contributions
Funding
Institutional Review Board Statement
Informed Consent Statement
Data Availability Statement
Acknowledgments
Conflicts of Interest
References
- Jean, L.; Wenger, E. Situated Learning: Legitimate Peripheral Participation; Cambridge University Press: Cambridge, UK, 1991. [Google Scholar]
- Gonzalez, A.V.; Koh, S.; Kapalo, K.; Sottilare, R.; Garrity, P.; Billinghurst, M.; LaViola, J. A comparison of desktop and augmented reality scenario based training authoring tools. In Proceedings of the 2019 IEEE International Symposium on Mixed and Augmented Reality (ISMAR), Beijing, China, 14–18 October 2019; pp. 339–350. [Google Scholar]
- Qian, X.; He, F.; Hu, X.; Wang, T.; Ipsita, A.; Ramani, K. ScalAR: Authoring Semantically Adaptive Augmented Reality Experiences in Virtual Reality. In Proceedings of the CHI Conference on Human Factors in Computing Systems, New Orleans, LA, USA, 30 April–5 May 2022; pp. 1–18. [Google Scholar]
- Izquierdo-Domenech, J.; Linares-Pellicer, J.; Orta-Lopez, J. Supporting interaction in augmented reality assisted industrial processes using a CNN-based semantic layer. In Proceedings of the 2020 IEEE International Conference on Artificial Intelligence and Virtual Reality (AIVR), Virtual/Online Event, 14–18 December 2020; pp. 27–32. [Google Scholar]
- Masnadi, S.; Vargas, A.; Williamson, B.; LaViola, J. AffordIt!: A Tool for Authoring Object Component Behavior in Virtual Reality. In Proceedings of the 2020 IEEE Conference on Virtual Reality and 3D User Interfaces Abstracts and Workshops (VRW), Atlanta, GA, USA, 22–26 March 2020. [Google Scholar]
- Wang, T.; Qian, X.; He, F.; Hu, X.; Cao, Y.; Ramani, K. GesturAR: An Authoring System for Creating Freehand Interactive Augmented Reality Applications. In Proceedings of the the 34th Annual ACM Symposium on User Interface Software and Technology, Virtual, 10–14 October 2021; pp. 552–567. [Google Scholar]
- MacIntyre, B.; Gandy, M.; Dow, S.; Bolter, J.D. DART: A toolkit for rapid design exploration of augmented reality experiences. In Proceedings of the 17th Annual ACM Symposium on User Interface Software and Technology, Santa Fe, NM, USA, 24–27 October 2004; pp. 197–206. [Google Scholar]
- Seichter, H.; Looser, J.; Billinghurst, M. ComposAR: An intuitive tool for authoring AR applications. In Proceedings of the 7th IEEE/ACM International Symposium on Mixed and Augmented Reality, Cambridge, UK, 15 September 2008; pp. 177–178. [Google Scholar]
- Lucrecia, M.; Cecilia, S.; Patricia, P.; Sandra, B. AuthorAR: Authoring tool for building educational activities based on Augmented Reality. In Proceedings of the Collaboration Technologies and Systems (CTS), 2013 International Conference, San Diego, CA, USA, 20–24 May 2013; pp. 503–507. [Google Scholar]
- Ens, B.; Anderson, F.; Grossman, T.; Annett, M.; Irani, P.; Fitzmaurice, G. Ivy: Exploring Spatially Situated Visual Programming for Authoring and Understanding Intelligent Environments. In Proceedings of the 43rd Graphics Interface Conference, School of Computer Science, University of Waterloo, Waterloo, ON, Canada, 16–19 May 2017; pp. 156–162. [Google Scholar] [CrossRef]
- Winterbottom, C.; Blake, E. Designing a VR interaction authoring tool using constructivist practices. In Proceedings of the 3rd International Conference on Computer Graphics, Virtual Reality, Visualisation and Interaction in Africa, Stellenbosch, South Africa, 3–5 November 2004; pp. 67–71. [Google Scholar]
- Hayatpur, D.; Heo, S.; Xia, H.; Stuerzlinger, W.; Wigdor, D. Plane, Ray, and Point: Enabling Precise Spatial Manipulations with Shape Constraints. In Proceedings of the 32nd Annual ACM Symposium on User Interface Software and Technology, New Orleans, LA, USA, 20–23 October 2019; pp. 1185–1195. [Google Scholar]
- Ng, G.; Shin, J.G.; Plopski, A.; Sandor, C.; Saakes, D. Situated game level editing in augmented reality. In Proceedings of the Twelfth International Conference on Tangible, Embedded, and Embodied Interaction, Stockholm, Sweden, 18–21 March 2018; pp. 409–418. [Google Scholar]
- Lee, G.A.; Nelles, C.; Billinghurst, M.; Kim, G.J. Immersive authoring of tangible augmented reality applications. In Proceedings of the 3rd IEEE/ACM international Symposium on Mixed and Augmented Reality, Arlington, VA, USA, 2–5 November 2004; pp. 172–181. [Google Scholar]
- Kim, H.; Hong, S.; Kim, J.; Jang, T.; Woo, W.; Heo, S.; Lee, B. RealityBrush: An AR authoring system that captures and utilizes kinetic properties of everyday objects. Multimed. Tools Appl. 2021, 80, 31135–31158. [Google Scholar] [CrossRef]
- Holm, R.; Stauder, E.; Wagner, R.; Priglinger, M.; Volkert, J. A combined immersive and desktop authoring tool for virtual environments. In Proceedings of the IEEE Virtual Reality 2002, Orlando, FL, USA, 24–28 March 2002; pp. 93–100. [Google Scholar]
- Gruenefeld, U.; Auda, J.; Mathis, F.; Schneegass, S.; Khamis, M.; Gugenheimer, J.; Mayer, S. VRception: Rapid Prototyping of Cross-Reality Systems in Virtual Reality. In Proceedings of the 2022 CHI Conference on Human Factors in Computing Systems, New Orleans, LA, USA, 30 April–5 May 2022; pp. 1–15. [Google Scholar]
- Kallmann, M.; Thalmann, D. Modeling objects for interaction tasks. In Computer Animation and Simulation’98; Springer: Berlin/Heidelberg, Germany, 1999; pp. 73–86. [Google Scholar]
- Kallmann, M.; Thalmann, D. A behavioral interface to simulate agent-object interactions in real time. In Proceedings of the Proceedings Computer Animation 1999, Geneva, Switzerland, 26–29 May 1999; pp. 138–146. [Google Scholar]
- Kallmann, M.; Thalmann, D. Modeling behaviors of interactive objects for real-time virtual environments. J. Vis. Lang. Comput. 2002, 13, 177–195. [Google Scholar] [CrossRef]
- Kallmann, M. Interaction with 3-d objects. In Handbook of Virtual Humans; Wiley: Hoboken, NJ, USA, 2004; pp. 303–322. [Google Scholar]
- Chidambaram, S.; Huang, H.; He, F.; Qian, X.; Villanueva, A.M.; Redick, T.S.; Stuerzlinger, W.; Ramani, K. Processar: An augmented reality-based tool to create in-situ procedural 2d/3d ar instructions. In Proceedings of the Designing Interactive Systems Conference 2021, Virtual, 28 June–2 July 2021; pp. 234–249. [Google Scholar]
- George, D.; Xie, X.; Tam, G.K. 3D mesh segmentation via multi-branch 1D convolutional neural networks. Graph. Model. 2018, 96, 1–10. [Google Scholar] [CrossRef]
- Shamir, A. A survey on mesh segmentation techniques. Proc. Comput. Graph. Forum 2008, 27, 1539–1556. [Google Scholar] [CrossRef]
- Valentin, J.; Vineet, V.; Cheng, M.M.; Kim, D.; Shotton, J.; Kohli, P.; Nießner, M.; Criminisi, A.; Izadi, S.; Torr, P. Semanticpaint: Interactive 3d labeling and learning at your fingertips. ACM Trans. Graph. (TOG) 2015, 34, 154. [Google Scholar] [CrossRef]
- Nguyen, D.T.; Hua, B.S.; Yu, L.F.; Yeung, S.K. A robust 3d-2d interactive tool for scene segmentation and annotation. IEEE Trans. Vis. Comput. Graph. 2017, 24, 3005–3018. [Google Scholar] [CrossRef] [PubMed]
- Thalmann, D. Geometric issues of object manipulation in task animation and virtual reality. In Expanding the Frontiers of Visual Analytics and Visualization; Springer: Berlin/Heidelberg, Germany, 2012; pp. 339–362. [Google Scholar]
- Masnadi, S.; LaViola, J.J., Jr.; Zhu, X.; Desingh, K.; Jenkins, O.C. A Sketch-Based System for Human-Guided Constrained Object Manipulation. arXiv 2019, arXiv:1911.07340. [Google Scholar]
- Hart, S.; Dinh, P.; Hambuchen, K. The affordance template ROS package for robot task programming. In Proceedings of the 2015 IEEE International Conference on Robotics and Automation (ICRA), Seattle, WA, USA, 26–30 May 2015; pp. 6227–6234. [Google Scholar]
- Jamone, L.; Ugur, E.; Cangelosi, A.; Fadiga, L.; Bernardino, A.; Piater, J.; Santos-Victor, J. Affordances in psychology, neuroscience, and robotics: A survey. IEEE Trans. Cogn. Dev. Syst. 2016, 10, 4–25. [Google Scholar] [CrossRef]
- Poupyrev, I.; Tan, D.; Billinghurst, M.; Kato, H.; Regenbrecht, H.; Tetsutani, N. Tiles: A mixed reality authoring interface. In Proceedings of the (2001) INTERACT 2001 Conference on Human Computer Interaction, Tokyo, Japan, 9–13 July 2001. [Google Scholar]
- Rajaram, S.; Nebeling, M. Paper Trail: An Immersive Authoring System for Augmented Reality Instructional Experiences. In Proceedings of the CHI Conference on Human Factors in Computing Systems, New Orleans, LA, USA, 30 April–5 May 2022; pp. 1–16. [Google Scholar]
- Nebeling, M.; Lewis, K.; Chang, Y.C.; Zhu, L.; Chung, M.; Wang, P.; Nebeling, J. XRDirector: A role-based collaborative immersive authoring system. In Proceedings of the 2020 CHI Conference on Human Factors in Computing Systems, Honoluly, HI, USA, 25–30 April 2020; pp. 1–12. [Google Scholar]
- Lavric, T.; Bricard, E.; Preda, M.; Zaharia, T. An ar work instructions authoring tool for human-operated industrial assembly lines. In Proceedings of the 2020 IEEE International Conference on Artificial Intelligence and Virtual Reality (AIVR), Virtual, 14–18 December 2020; pp. 174–183. [Google Scholar]
- Jasche, F.; Hoffmann, S.; Ludwig, T.; Wulf, V. Comparison of different types of augmented reality visualizations for instructions. In Proceedings of the 2021 CHI Conference on Human Factors in Computing Systems, Virtual, 8–13 May 2021; pp. 1–13. [Google Scholar]
- Ipsita, A.; Li, H.; Duan, R.; Cao, Y.; Chidambaram, S.; Liu, M.; Ramani, K. VRFromX: From scanned reality to interactive virtual experience with human-in-the-loop. In Proceedings of the Extended Abstracts of the 2021 CHI Conference on Human Factors in Computing Systems, Virtual, 8–13 May 2021; pp. 1–7. [Google Scholar]
- Zhang, L.; Oney, S. Flowmatic: An immersive authoring tool for creating interactive scenes in virtual reality. In Proceedings of the 33rd Annual ACM Symposium on User Interface Software and Technology, Virtual, 20–23 October 2020; pp. 342–353. [Google Scholar]
- Steed, A.; Slater, M. A dataflow representation for defining behaviours within virtual environments. In Proceedings of the IEEE 1996 Virtual Reality Annual International Symposium, Santa Clara, CA, USA, 30 March–3 April 1996; pp. 163–167. [Google Scholar]
- Kato, H. ARToolKit: Library for Vision-based Augmented Reality. IEICE Tech. Rep. 2002, 101, 79–86. [Google Scholar]
- Kato, H.; Billinghurst, M.; Poupyrev, I.; Imamoto, K.; Tachibana, K. Virtual object manipulation on a table-top AR environment. In Proceedings of the IEEE and ACM International Symposium on Augmented Reality (ISAR 2000), Munich, Germany, 5–6 October 2000; pp. 111–119. [Google Scholar]
- Zhang, Z.; Li, Z.; Han, M.; Su, Z.; Li, W.; Pan, Z. An augmented reality-based multimedia environment for experimental education. Multimed. Tools Appl. 2021, 80, 575–590. [Google Scholar] [CrossRef]
- Radu, I. AR SPOT: An Augmented-Reality Programming Environment for Children. 2020. Available online: http://ael.gatech.edu/lab/research/arspot (accessed on 10 October 2022).
- Maloney, J.; Burd, L.; Kafai, Y.; Rusk, N.; Silverman, B.; Resnick, M. Scratch: A sneak preview [education]. In Proceedings of the Second International Conference on Creating, Connecting and Collaborating through Computing, 2004, Kyoto, Japan, 29–30 January 2004; pp. 104–109. [Google Scholar]
- Resnick, M.; Maloney, J.; Monroy-Hernández, A.; Rusk, N.; Eastmond, E.; Brennan, K.; Millner, A.; Rosenbaum, E.; Silver, J.; Silverman, B.; et al. Scratch: Programming for all. Commun. ACM 2009, 52, 60–67. [Google Scholar] [CrossRef]
- Smith, G.; Stürzlinger, W. Integration of constraints into a VR environment. In Proceedings of the VRIC’01: Proc. of the Virtual Reality Int’l Conf, Yokohama, Japan, 13–17 March 2001; pp. 103–110. [Google Scholar]
- Uthor, A. 3D scene manipulation with 2D devices and constraints. In Proceedings of the Graphics Interface, Citeseer, Ottawa, ON, Canada, 7–9 June 2001; pp. 135–142. [Google Scholar]
- Oh, J.Y.; Stuerzlinger, W. Moving objects with 2D input devices in CAD systems and desktop virtual environments. In Proceedings of the Graphics Interface 2005. Canadian Human-Computer Communications Society, Victoria, BC, Canada, 9–11 May 2005; pp. 195–202. [Google Scholar]
- Nebeling, M.; Speicher, M. The trouble with augmented reality/virtual reality authoring tools. In Proceedings of the 2018 IEEE International Symposium on Mixed and Augmented Reality Adjunct (ISMAR-Adjunct), Munich, Germany, 17 October 2018; pp. 333–337. [Google Scholar]
- Unity3D. The World’s Leading Platform for Real-Time Content Creation. 2021. Available online: https://unity.com/ (accessed on 10 October 2022).
- Unreal. The World’s Most Open and Advanced Real-Time 3D Creation Tool. 2021. Available online: https://www.unrealengine.com/en-US (accessed on 10 October 2022).
- AR, S. WORKLINK Create Your Own SMART Instructions. 2019. Available online: https://www.scopear.com/products/worklink/ (accessed on 10 October 2022).
- Kaas, E. The NGRAIN Technology Difference Explained a Whitepaper for Technical Evaluators of Visualization and Simulation Technologies; NGRAIN Corporation: Vancouver, BC, Canada.
- Lee, G.A.; Kim, G.J.; Park, C.M. Modeling virtual object behavior within virtual environment. In Proceedings of the ACM Symposium on Virtual Reality Software and Technology, Hong Kong, China, 11–13 November 2002; pp. 41–48. [Google Scholar]
- Pellens, B.; De Troyer, O.; Bille, W.; Kleinermann, F. Conceptual modeling of object behavior in a virtual environment. In Proceedings of the Virtual Concept, Biarritz, France, 8–10 November 2005; pp. 93–94. [Google Scholar]
- Marion, P.; Fallon, M.; Deits, R.; Valenzuela, A.; Pérez D’Arpino, C.; Izatt, G.; Manuelli, L.; Antone, M.; Dai, H.; Koolen, T.; et al. Director: A user interface designed for robot operation with shared autonomy. J. Field Robot. 2017, 34, 262–280. [Google Scholar] [CrossRef]
- Ultraleap. Digital Worlds That Feel Human. 2022. Available online: https://www.ultraleap.com/ (accessed on 10 October 2022).
- Shneiderman, B. Designing the User Interface: Strategies for Effective Human-Computer Interaction, 3rd ed.; Addison-Wesley Longman Publishing Co., Inc.: Boston, MA, USA, 1997. [Google Scholar]
- Apple Computer, I. Macintosh Human Interface Guidelines; Addison-Wesley Publishing Company: Boston, MA, USA, 1992. [Google Scholar]
- Microsoft. Fluent Design System. 2022. Available online: https://www.microsoft.com/design/fluent/ (accessed on 10 October 2022).
- Masnadi, S.; Pfeil, K.; Sera-Josef, J.V.T.; LaViola, J. Effects of Field of View on Egocentric Distance Perception in Virtual Reality. In Proceedings of the CHI Conference on Human Factors in Computing Systems, New Orleans, LA, USA, 30 April–5 May 2022; pp. 1–10. [Google Scholar]
- Pfeil, K.; Masnadi, S.; Belga, J.; Sera-Josef, J.V.T.; LaViola, J. Distance perception with a video see-through head-mounted display. In Proceedings of the 2021 CHI Conference on Human Factors in Computing Systems, Virtual, 8–13 May 2021; pp. 1–9. [Google Scholar]
- Microsoft. Design for Mixed Reality. 2018. Available online: https://docs.microsoft.com/en-us/windows/mixed-reality/design (accessed on 10 October 2022).
- Hart, S.G.; Staveland, L.E. Development of NASA-TLX (Task Load Index): Results of empirical and theoretical research. In Advances in Psychology; Elsevier: Amsterdam, The Netherlands, 1988; Volume 52, pp. 139–183. [Google Scholar]
- Brooke, J. SUS-A quick and dirty usability scale. Usability Eval. Ind. 1996, 189, 4–7. [Google Scholar]
- Davis, F.D. Perceived usefulness, perceived ease of use, and user acceptance of information technology. MIS Q. 1989, 319–340. [Google Scholar] [CrossRef]
- Rantamaa, H.R.; Kangas, J.; Kumar, S.K.; Mehtonen, H.; Järnstedt, J.; Raisamo, R. Comparison of a VR Stylus with a Controller, Hand Tracking, and a Mouse for Object Manipulation and Medical Marking Tasks in Virtual Reality. Appl. Sci. 2023, 13, 2251. [Google Scholar] [CrossRef]
- Franzluebbers, A.; Johnsen, K. Performance benefits of high-fidelity passive haptic feedback in virtual reality training. In Proceedings of the 2018 ACM Symposium on Spatial User Interaction, Berlin, Germany, 13–14 October 2018; pp. 16–24. [Google Scholar]


















| # | Question |
|---|---|
| Q1 | Rate the importance of the task using current technology. |
| Q2 | Rate your prior experience using the technology in this study. |
| Q3 | How realistic did you find the virtual objects in the scene? |
| * Q4 | How much did the weight of the headset affected you? |
| * Q5 | How accurate did the hand tracking feel? |
| Q6 | How easy was it to press buttons in the UI? |
| Q7 | How easy was it to define the region for object component selection? |
| Q8 | How easy was it to add a rotation behavior to the selected part of the object? (a) Mini-fridge, (b) cabinet. |
| Q9 | How easy was it to add a perpendicular pull behavior to the selected part of the object? |
| Q10 | I enjoyed using the system overall. |
| # | Friedman’s Test | AR vs. VR | AR vs. Desktop | VR vs. Desktop |
|---|---|---|---|---|
| Q1 | ||||
| Q2 | ||||
| Q3 | ||||
| Q6 | ||||
| Q7 | ||||
| Q8a | ||||
| Q8b | ||||
| Q9 | ||||
| Q10 |
| # | Friedman’s Test | AR vs. VR | AR vs. Desktop | VR vs. Desktop |
|---|---|---|---|---|
| MD | ||||
| PD | ||||
| TD | ||||
| OP | ||||
| EF | ||||
| FL |
Disclaimer/Publisher’s Note: The statements, opinions and data contained in all publications are solely those of the individual author(s) and contributor(s) and not of MDPI and/or the editor(s). MDPI and/or the editor(s) disclaim responsibility for any injury to people or property resulting from any ideas, methods, instructions or products referred to in the content. |
© 2023 by the authors. Licensee MDPI, Basel, Switzerland. This article is an open access article distributed under the terms and conditions of the Creative Commons Attribution (CC BY) license (https://creativecommons.org/licenses/by/4.0/).
Share and Cite
Vargas González, A.N.; Williamson, B.; LaViola, J.J., Jr. Authoring Moving Parts of Objects in AR, VR and the Desktop. Multimodal Technol. Interact. 2023, 7, 117. https://doi.org/10.3390/mti7120117
Vargas González AN, Williamson B, LaViola JJ Jr. Authoring Moving Parts of Objects in AR, VR and the Desktop. Multimodal Technologies and Interaction. 2023; 7(12):117. https://doi.org/10.3390/mti7120117
Chicago/Turabian StyleVargas González, Andrés N., Brian Williamson, and Joseph J. LaViola, Jr. 2023. "Authoring Moving Parts of Objects in AR, VR and the Desktop" Multimodal Technologies and Interaction 7, no. 12: 117. https://doi.org/10.3390/mti7120117
APA StyleVargas González, A. N., Williamson, B., & LaViola, J. J., Jr. (2023). Authoring Moving Parts of Objects in AR, VR and the Desktop. Multimodal Technologies and Interaction, 7(12), 117. https://doi.org/10.3390/mti7120117

