Introducing Friction of Space into the Geography of Cultural Consumption
Abstract
1. Introduction
2. Literature Background
3. Data
3.1. Data Sources
3.2. Data Preparation
3.3. Dataset
3.4. Spatial Partitioning
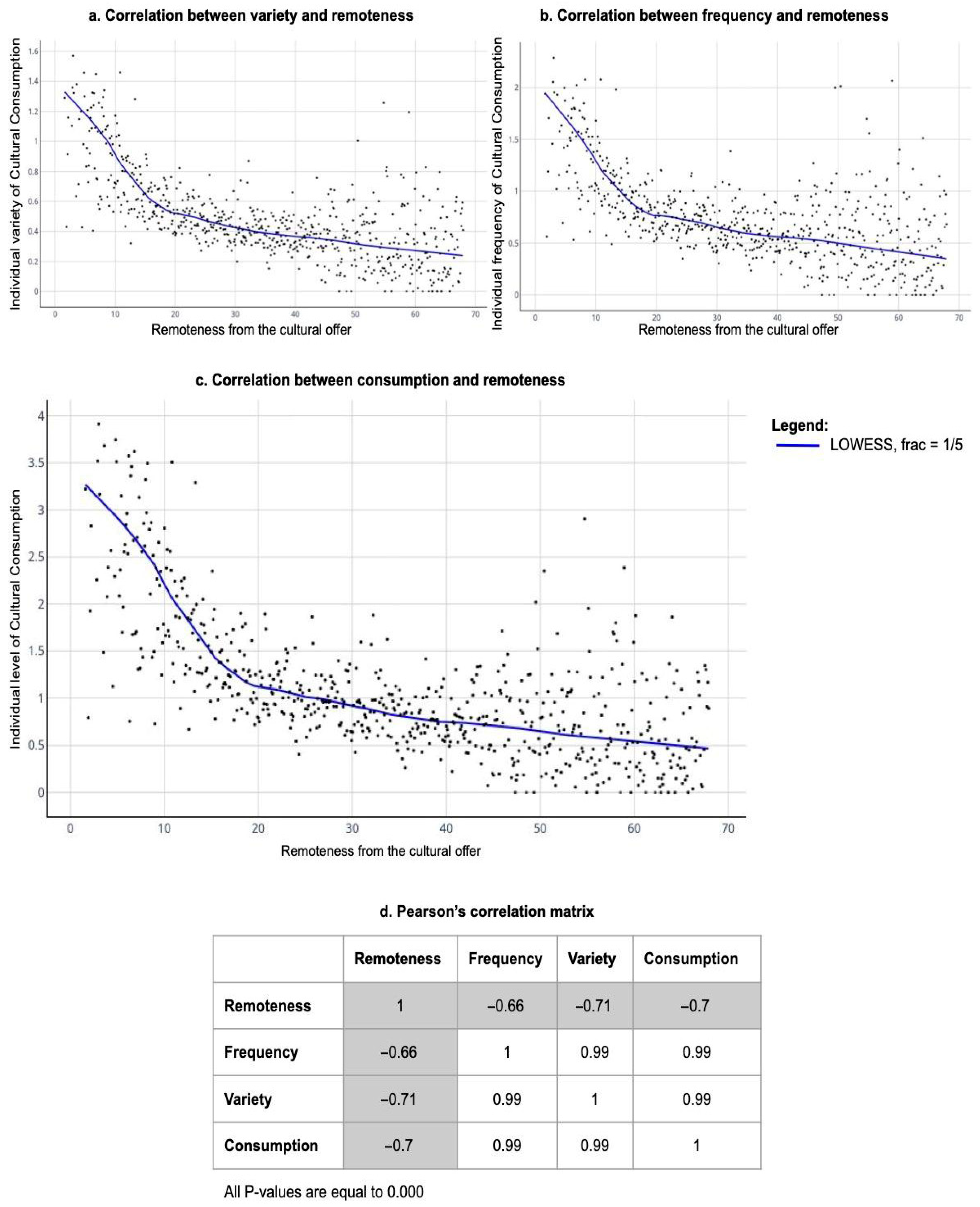
4. Methods
- The overall frequency of cultural consumption (fi), or how many times each individual visited a cultural POI:where represents the number of times user visited cultural amenity , represents the number of cultural amenities visited by user , and represents the number of each individual’s active days.
- The variety of cultural amenities visited, calculated as the number of different categories of cultural POIs visited by each individual:where represents a unique category of cultural amenities visited, represents the number of categories visited at least once by user , and represents the number of each individual’s active days.
- The remoteness (Ri) of cultural amenities from the user’s home location, calculated as the average distance of the 20 nearest cultural POIs from the user’s home location.where represents the time needed to reach the 20 nearest cultural amenities from the centroid of the hexagon in which the home location of the user is registered. Therefore, values are the same for all users with a home location in the same hexagon , and . This remoteness measure is used as a proxy of the average proximity of each neighbourhood with the cultural offer of the city and theoretically derives from the 15 min city theory [23,24]. The travel time is estimated through the OSRM algorithm. The choice of considering the 20 nearest cultural POIs reflects a balance between capturing a representative local offer and ensuring comparability across heterogeneous spatial contexts [66].
5. Analysis
- Places on average inhabited by individuals with high consumption levels (4) that are spatially closer to cultural amenities (3), generally concentrated around the core of the main urban centres;
- Places on average inhabited by individuals with low consumption levels (4) that are spatially far from cultural amenities (3), generally concentrated in the peripheries of the main urban centres.
- Consumers, behaving according to aggregate flows. Individuals who have consumption levels higher than the sample’s mean and a remoteness from cultural amenities lower than the sample’s mean;
- Non-consumers, behaving according to aggregate flows. Individuals who have consumption levels lower than the sample’s mean and a remoteness from cultural amenities higher than the sample’s mean;
- Averse individuals, behaving differently from aggregate flows. Individuals who have consumption levels lower than the sample’s mean and a remoteness from cultural amenities lower than the sample’s mean;
- Prone individuals, behaving differently from aggregate flows. Individuals who have consumption levels higher than the sample’s mean and a remoteness from cultural amenities higher than the sample’s mean.
6. Discussion and Conclusions
- By using HFLB data on individual mobility towards cultural amenities as a proxy for the level of individual cultural consumption, it is possible to overcome the limitations of traditional survey data [25];
- By modelling cultural consumption levels through a power law function, it is possible to operationalise the method in different urban and non-urban settings and to understand to what extent metrics such as the slope of the power-law fit (intended as a measure of the sensitivity of cultural consumption levels to spatial friction) are related to broader urban socioeconomic characteristics;
- By including neighbourhood-specific data on socioeconomic stratification, it is possible to model demand functions for cultural goods in geographical settings;
- By including individuals’ visiting preferences, it is possible to understand how different neighbourhoods appropriate different types of cultural goods and how such differences influence overall consumption levels;
- By looking for trip-chaining patterns it is possible to understand the effects of other mobility behaviours, such as recreational or work-related ones, on patterns of cultural consumption.
Author Contributions
Funding
Data Availability Statement
Conflicts of Interest
Appendix A. Categorising Cultural Amenities
- Heritage/cultural sites: defined in CCI taxonomies as comprising heritage sites, museums, libraries, and archives, it is split in two main sub-categories, namely heritage and museums, to control for the inclusion of open-air monuments and attractions in the heritage category and their differences from museums.
- Publishing: libraries and archives are removed from the heritage category and inserted in the new category “reading.”
- Performing arts/independent artists, writers, and performers: live entertainment is split in two categories, one for theatre and one for night life, which represents concert halls and clubs, as music consumed in theatres is captured by the theatre category.
- Film/motion picture and video industries: the category is kept as it was in CCI taxonomies, capturing exclusively movie theatres.
| Creative Industries | DCMS (2009) | WIPO (2003) | Eurostat LEG (2000) | KEA (2006) | UNCTAD (2010) | DISCE (2022) | 
|---|---|---|---|---|---|---|
| Printing | X | |||||
| Publishing | X | X | X | X | X | X | 
| Advertising | X | X | X | X | X | X | 
| Architecture | X | X | X | X | X | X | 
| Arts markets | X | X | X | X | X | X | 
| Crafts | X | X | X | X | X | X | 
| Design | X | X | X | X | X | X | 
| Fashion | X | X | X | X | X | X | 
| Film | X | X | X | X | X | X | 
| Music | X | X | X | X | X | X | 
| Performing arts | X | X | X | X | X | X | 
| Photography | X | X | X | X | X | X | 
| Software and VG | X | X | X | X | X | X | 
| Radio and TV | X | X | X | X | X | X | 
| Heritage | X | X | X | |||
| Interactive media | X | X | X | X | ||
| Other visual arts | X | X | X | |||
| Copyright | X | |||||
| Cultural tourism | X | |||||
| Creative R&D | X | X | 
Appendix B. Data Check

Appendix C. Cluster Analysis of Cultural Amenities

Appendix D. Cluster Analysis of Cultural Amenities


References
- Florida, R. The Rise of the Creative Class: And How It’s Transforming Work, Leisure, Community and Everyday Life. Can. Public Policy/Anal. De Polit. 2003, 29, 175–181. [Google Scholar]
- Markusen, A. Urban Development and the Politics of a Creative Class: Evidence from a Study of Artists. Environ. Plan. A Econ. Space 2006, 38, 1921–1940. [Google Scholar] [CrossRef]
- Sacco, P.L.; Crociata, A. A Conceptual Regulatory Framework for the Design and Evaluation of Complex, Participative Cultural Planning Strategies. Int. J. Urban Reg. Res. 2012, 37, 1688–1706. [Google Scholar] [CrossRef]
- Crociata, A.; Agovino, M.; Russo, A.; Quaglieri Dominguez, A. Creative workforce and economic development in precrisis Europe: Main trends and causality relationships. Int. Reg. Sci. Rev. 2018, 41, 448–479. [Google Scholar] [CrossRef]
- Lorenzen, M.; Frederiksen, L. Why do Cultural Industries Cluster? Localization, Urbanization, Products and Projects. In Creative Cities, Cultural Clusters and Local Economic Development; Edward Elgar Publishing: Cheltenham, UK, 2007. [Google Scholar] [CrossRef]
- Amin, A.; Thrift, N. Cultural-economy and Cities. Prog. Hum. Geogr. 2007, 31, 143–161. [Google Scholar] [CrossRef]
- Al, J.; Martin, R.; Sunley, P. The Rise of Cultural Economic Geography. In Economic Geography: Critical Concepts in the Social Sciences—Volume IV: The Cultural Economy; Martin, R.L., Sunley, P.J., Eds.; Routledge: London, UK, 2008; pp. 3–18. [Google Scholar]
- Moldavanova, A.V.; Meloche, L.; Thompson, T.L. Understanding the geography of access to cultural amenities: The case of Metropolitan Detroit. J. Urban Aff. 2021, 44, 614–639. [Google Scholar] [CrossRef]
- Houston, D.; Ong, P. Arts Accessibility to Major Museums and Cultural/Ethnic Institutions in Los Angeles: Can School Tours Overcome Neighborhood Disparities? Environ. Plan. A Econ. Space 2013, 45, 728–748. [Google Scholar] [CrossRef]
- Bertoni, A.; Dubini, P.; Monti, A. Bringing Back in the Spatial Dimension in the Assessment of Cultural and Creative Industries and Its Relationship with a City’s Sustainability: The Case of Milan. Sustainability 2021, 13, 10878. [Google Scholar] [CrossRef]
- Arntz, M.; Brüll, E.; Lipowski, C. Do preferences for urban amenities differ by skill? J. Econ. Geogr. 2022, 23, 541–576. [Google Scholar] [CrossRef]
- van Duijn, M.; Rouwendal, J. Cultural heritage and the location choice of Dutch households in a residential sorting model. J. Econ. Geogr. 2012, 13, 473–500. [Google Scholar] [CrossRef]
- Widdop, P.; Cutts, D. Impact of place on museum participation. Cult. Trends 2012, 21, 47–66. [Google Scholar] [CrossRef]
- de Graaff, T.; Boter, J.; Rouwendal, J. On Spatial Differences in the Attractiveness of Dutch Museums. Environ. Plan. A 2009, 41, 2778–2797. [Google Scholar] [CrossRef]
- Rodríguez-Puello, G.; Iturra, V. Does a higher cultural supply raise cultural consumption? The association between individual and city traits and cultural consumption in Chile. Ann. Reg. Sci. 2022, 72, 65–83. [Google Scholar] [CrossRef]
- Brook, O. Spatial equity and cultural participation: How access influences attendance at museums and galleries in London. Cult. Trends 2016, 25, 21–34. [Google Scholar] [CrossRef]
- Rössel, J.; Weingartner, S. Opportunities for cultural consumption: How is cultural participation in Switzerland shaped by regional cultural infrastructure? Ration. Soc. 2016, 28, 363–385. [Google Scholar] [CrossRef]
- Falk, M.; Katz-Gerro, T. Cultural participation in Europe: Can we identify common determinants? J. Cult. Econ. 2015, 40, 127–162. [Google Scholar] [CrossRef]
- Bello, P.; Garcia, D. Cultural Divergence in popular music: The increasing diversity of music consumption on Spotify across countries. Humanit. Soc. Sci. Commun. 2021, 8, 182. [Google Scholar] [CrossRef]
- Airoldi, M. The techno-social reproduction of taste boundaries on digital platforms: The case of music on YouTube. Poetics 2021, 89, 101563. [Google Scholar] [CrossRef]
- Oghina, A.; Breuss, M.; Tsagkias, M.; de Rijke, M. Predicting IMDB Movie Ratings Using Social Media. In Lecture Notes in Computer Science; Springer: Berlin/Heidelberg, Germany, 2012; pp. 503–507. [Google Scholar] [CrossRef]
- Bail, C.A. The cultural environment: Measuring culture with big data. Theory Soc. 2014, 43, 465–482. [Google Scholar] [CrossRef]
- Moreno, C.; Allam, Z.; Chabaud, D.; Gall, C.; Pratlong, F. Introducing the “15-Minute City”: Sustainability, Resilience and Place Identity in Future Post-Pandemic Cities. Smart Cities 2021, 4, 93–111. [Google Scholar] [CrossRef]
- Bruno, M.; Monteiro Melo, H.P.; Campanelli, B.; Loreto, V. A universal framework for inclusive 15-minute cities. Nat. Cities 2024, 1, 633–641. [Google Scholar] [CrossRef]
- Duranti, C.; Sacco, P.L.; Zarri, L. La domanda di cultura nelle societa’ avanzate: Premesse ad una metodologia transdisciplinare. In AICCON Working Papers 24–2005; Associazione Italiana per la Cultura della Cooperazione e del Non Profit: Forlì, Italy, 2005. [Google Scholar]
- Nathan, M. Creative Class Theory and Economic Performance in UK Cities. In Creative Urban Regions; IGI Global: Hershey, PA, USA, 2008; pp. 80–93. [Google Scholar] [CrossRef][Green Version]
- Knudsen, B.; Florida, R.; Gates, G.; Stolarick, K. Urban Density, Creativity and Innovation. Available online: https://legacy.econ.tuwien.ac.at/hanappi/AgeSo/rp/Knudsen_2007.pdf (accessed on 8 May 2025).[Green Version]
- Evans, G. Participation and provision in arts & culture—Bridging the divide. Cult. Trends 2016, 25, 2–20. [Google Scholar] [CrossRef]
- Hill, D.; Bruno, M.; Melo, H.P.; Takeuchi, Y.; Loreto, V. Cities beyond proximity. Philos. Trans. A 2024, 382, 20240097. [Google Scholar] [CrossRef]
- Tahmasbi, B.; Mansourianfar, B.H.; Haghshenas, H.; Kim, I. Multimodal accessibility-based equity assessment of urban public facilities distribution. Sustain. Cities Soc. 2019, 49, 101633. [Google Scholar] [CrossRef]
- Taleai, M.; Sliuzas, R.; Flacke, J. An integrated framework to evaluate the equity of urban public facilities using spatial multi-criteria analysis. Cities 2014, 40, 56–69. [Google Scholar] [CrossRef]
- Omer, I. Evaluating accessibility using house-level data: A spatial equity perspective. Comput. Environ. Urban Syst. 2006, 30, 254–274. [Google Scholar] [CrossRef]
- Bertoni, A.; Dubini, P.; Monti, A. Participatory Event Platforms in the Urban Context: The Importance of Stakeholders’ Meaning of “Participation”. In Cultural Initiatives for Sustainable Development. Contributions to Management Science; Demartini, P., Marchegiani, L., Marchiori, M., Schiuma, G., Eds.; Springer: Cham, Switzerland, 2021. [Google Scholar] [CrossRef]
- Currid, E.; Williams, S. The geography of buzz: Art, culture and the social milieu in Los Angeles and New York. J. Econ. Geogr. 2009, 10, 423–451. [Google Scholar] [CrossRef]
- Grodach, C. Mapping the arts: Industry concentrations, distribution, and change in the US, 1980–2010. Int. J. Cult. Policy 2014, 22, 353–375. [Google Scholar] [CrossRef]
- Grodach, C.; Currid-Halkett, E.; Foster, N.; Murdoch, J., III. The location patterns of artistic clusters: A metro- and neighborhood-level analysis. Urban Stud. 2014, 51, 2822–2843. [Google Scholar] [CrossRef]
- Brook, O.; Boyle, P.; Flowerdew, R. Geographic Analysis of Cultural Consumption. In Spatial and Social Disparities; Springer: Dordrecht, The Netherlands, 2010; pp. 67–82. [Google Scholar] [CrossRef]
- Foster, N.; Grodach, C.; Murdoch, J., III. Neighborhood Diversity, Economic Health, and The Role of the Arts. J. Urban Aff. 2016, 38, 623–642. [Google Scholar] [CrossRef]
- Galster, G. The mechanism (s) of neighbourhood effects: Theory, evidence, and policy implications. In Neighbourhood Effects Research: New Perspectives; van Ham, M., Manley, D., Bailey, N., Simpson, L., Maclennan, D., Eds.; Springer: Dordrecht, The Netherlands, 2011; pp. 23–56. [Google Scholar]
- Palshikar, G.K. Fuzzy region connection calculus in finite discrete space domains. Appl. Soft Comput. 2004, 4, 13–23. [Google Scholar] [CrossRef]
- Launhardt, W. Mathematische Begrflndung der Volkswirtschaflslehre; Springer: Leipzig, Germany, 1885. [Google Scholar]
- Weber, A. Ueber den Standort der Industrien; JCB Mohr: Tiibingen, Germany, 1909. [Google Scholar]
- Von Thunen, A. Der Isolierte Staat in Beziehung Auflandwirtschafl yon NationalOkonomie; Walter de Gruyter GmbH & Co KG: Hamburg, Germany, 1826. [Google Scholar]
- Bourdieu, P. The Forms of Capital. In Handbook of Theory and Research for the Sociology of Education; Richardson, J.G., Ed.; Greenwood Press: New York, NY, USA, 1983; pp. 241–258. [Google Scholar]
- Belfiore, E. Art as a means of alleviating social exclusion: Does it really work? A critique of instrumental cultural policies and social impact studies in the UK. Int. J. Cult. Policy 2002, 8, 91–106. [Google Scholar] [CrossRef]
- Coffee, K. Cultural inclusion, exclusion and the formative roles of museums. Mus. Manag. Curatorship 2008, 23, 261–279. [Google Scholar] [CrossRef]
- Kavanagh, G. Museums and the First World War: A Social History; A&C Black: London, UK, 2014. [Google Scholar]
- Sandell, R. Museums as agents of social inclusion. Mus. Manag. Curatorship 1998, 17, 401–418. [Google Scholar] [CrossRef]
- Katz-Gerro, T. Cultural consumption research: Review of methodology, theory, and consequence. Int. Rev. Sociol. 2004, 14, 11–29. [Google Scholar] [CrossRef]
- Lizardo, O.; Skiles, S. Musical taste and patterns of symbolic exclusion in the United States 1993–2012: Generational dynamics of differentiation and continuity. Poetics 2015, 53, 9–21. [Google Scholar] [CrossRef]
- Turel, O.; Serenko, A.; Bontis, N. User acceptance of hedonic digital artifacts: A theory of consumption values perspective. Inf. Manag. 2010, 47, 53–59. [Google Scholar] [CrossRef]
- Ferraro, A.; Cerciello, M.; Agovino, M.; Garofalo, A. The role of cultural consumption in reducing social exclusion: Empirical evidence from Italy in a spatial framework. Econ. Politica 2019, 36, 139–166. [Google Scholar] [CrossRef]
- Crociata, A.; Agovino, M.; Sacco, P.L. Recycling waste: Does culture matter? J. Behav. Exp. Econ. 2015, 55, 40–47. [Google Scholar] [CrossRef]
- Quaglione, D.; Cassetta, E.; Crociata, A.; Sarra, A. Exploring additional determinants of energy-saving behaviour: The influence of individuals’ participation in cultural activities. Energy Policy 2017, 108, 503–511. [Google Scholar] [CrossRef]
- Schläpfer, M.; Dong, L.; O’Keeffe, K.; Santi, P.; Szell, M.; Salat, H.; Anklesaria, S.; Vazifeh, M.; Ratti, C.; West, G.B. The universal visitation law of human mobility. Nature 2021, 593, 522–527. [Google Scholar] [CrossRef]
- Biazzo, I.; Monechi, B.; Loreto, V. General scores for accessibility and inequality measures in urban areas. R. Soc. Open Sci. 2019, 6, 190979. [Google Scholar] [CrossRef]
- Alessandretti, L.; Aslak, U.; Lehmann, S. The scales of human mobility. Nature 2020, 587, 402–407. [Google Scholar] [CrossRef]
- Dong, X.; Morales, A.; Jahani, E.; Moro, E.; Lepri, B.; Bozkaya, B.; Sarraute, C.; Bar-Yam, Y.; Pentland, A. Segregated interactions in urban and online space. EPJ Data Sci. 2020, 9, 20. [Google Scholar] [CrossRef]
- Melo, H.P.; Henriques, J.; Carvalho, R.; Verma, T.; Da Cruz, J.P.; Araújo, N.A.M. Heterogeneous impact of a lockdown on inter-municipality mobility. Phys. Rev. Res. 2021, 3, 013032. [Google Scholar] [CrossRef]
- Arsanjani, J.; Zipf, A.; Mooney, P.; Helbich, M. OpenStreetMap in GIScience: Experiences, Research, and Applications; Springer: Cham, Switzerland, 2015. [Google Scholar]
- Hariharan, R.; Toyama, K. Project Lachesis: Parsing and modeling location histories. In International Conference on Geographic Information Science; Max, E., Freksa, F., Harvey, M., Eds.; Springer: Berlin/Heidelberg, Germany, 2004; pp. 106–124. [Google Scholar]
- OECD. Functional Urban Areas: Italy. 2022. Available online: https://www.oecd.org/en/data/datasets/oecd-definition-of-cities-and-functional-urban-areas.html (accessed on 8 May 2025).
- mapMI|Ask. (n.d.). Available online: https://green.unibocconi.eu/research/research-areas/arts-societies-knowledge-economie-ask/art-histories-heritage-and-cultural (accessed on 8 May 2025).
- d’Ovidio, M.; Cossu, A. Culture is reclaiming the creative city: The case of Macao in Milan, Italy. City Cult. Soc. 2017, 8, 7–12. [Google Scholar] [CrossRef]
- Sacco, P.; Tavano Blessi, G. The Social Viability of Culture-led Urban Transformation Processes: Evidence from the Bicocca District, Milan. Urban Stud. 2009, 46, 1115–1135. [Google Scholar] [CrossRef]
- Biferale, L.; Brandano, M.G.; Crociata, A. The spatial dimensions of cultural consumption: How distance influences consumption levels in a spatial setting. J. Cult. Econ. 2024, 48, 499–525. [Google Scholar] [CrossRef]
- Ritzer, G. Enchanting a Disenchanted World: Revolutionizing the Means of Consumption; Pine Forge Press: Thousand Oaks, CA, USA, 1999. [Google Scholar]
- Meyer, H.-D. Taste Formation in Pluralistic Societies. Int. Sociol. 2000, 15, 33–56. [Google Scholar] [CrossRef]
- Zhao, S.; Elesh, D. The Second Digital Divide: Unequal Access to Social Capital in the Online World. Int. Rev. Mod. Sociol. 2007, 33, 171–192. [Google Scholar]
- Katz-Gerro, T. Highbrow cultural consumption and class distinction in Italy, Israel, West Germany, Sweden, and the United States. Soc. Forces 2002, 81, 207–229. [Google Scholar] [CrossRef]
- Wright, D. Mediating production and consumption: Cultural capital and ‘cultural workers’. Br. J. Sociol. 2005, 56, 105–121. [Google Scholar] [CrossRef] [PubMed]
- Prieur, A.; Savage, M. Emerging forms of cultural capital. Eur. Soc. 2013, 15, 246–267. [Google Scholar] [CrossRef]
- Oakley, K.; O’Brien, D. Learning to labour unequally: Understanding the relationship between cultural production, cultural consumption and inequality. Soc. Identities 2016, 22, 471–486. [Google Scholar] [CrossRef]
- Dobilas, M. LOWESS Regression in Python: How to Discover Clear Patterns in Your Data? Towardsdatascience.com. 2020. Available online: https://towardsdatascience.com/lowess-regression-in-python-how-to-discover-clear-patterns-in-your-data-f26e523d7a35 (accessed on 8 May 2025).
- Pinto, C.M.A.; Mendes Lopes, A.; Machado, J.A.T. A review of power laws in real life phenomena. Commun. Nonlinear Sci. Numer. Simul. 2012, 17, 3558–3578. [Google Scholar] [CrossRef]
- Biferale, L.; Comunian, R.; Dent, T. “Where are culture and creativity in your city?” Chrono-urbanism and the importance of pluralism in defining and understanding cultural opportunities in cities. Cities 2025, 166, 106221. [Google Scholar] [CrossRef]
- Domenech, R.; Lazzeretti, L.; Oliver, J.; Molina, B.; Ruiz, B. Creative clusters in Europe: A microdata approach. In ERSA Conference Papers ersa11p471, Proceedings of the 51st Congress of the European Regional Science Association, Barcelona, Spain, 30 August–3 September 2011; European Regional Science Association: Ottignies, Belgium, 2011. [Google Scholar]
- DISCE. Measuring Creative Economies: A Critical Review of CCI. No. D2.1. 2022. Available online: https://disce.eu/wp-content/uploads/2022/07/DISCE-D2.1-updated.pdf (accessed on 27 November 2022).
- Pratt, A.C. Creative cities: The cultural industries and the creative class. Geogr. Ann. Ser. B Hum. Geogr. 2008, 90, 107–117. [Google Scholar] [CrossRef]
- NIJ. Crimestat III: A Spatial Statistics Program for the Analysis of Crime Incident Locations; The National Institute of Justice: Washington, DC, USA, 2004.
- Lazzeretti, L.; Boix, R.; y Capone, F. Why do creative industries cluster? An analysis of the determinants of clustering of creative industries. In Creative Industries and Innovation in Europe; Lazzeretti, L., Ed.; Routledge: London, UK, 2011. [Google Scholar]





| Category | OSM Tags | 
|---|---|
| Heritage | Historic building; monument; ruins; castle; attraction | 
| Museum | Museum, art gallery, zoo, planetarium, aquarium | 
| Reading | Library | 
| Cinema | Cinema | 
| Theatre | Theatre | 
| Night Life | Concert hall, night club, dance hall | 
| Category | POIs | Unique Users | Trips | 
|---|---|---|---|
| Total POIs | 50,396 | 330,929 | 16,082,194 | 
| Total Cultural POIs | 1070 | 190,149 | 489,130 | 
| Cinema | 86 | 48,553 | 58,481 | 
| Theatre | 112 | 37,864 | 44,605 | 
| Night Life | 86 | 26,966 | 31,548 | 
| Reading | 368 | 107,136 | 160,114 | 
| Museum | 130 | 54,479 | 74,710 | 
| Heritage | 288 | 77,821 | 119,672 | 
| Disclaimer/Publisher’s Note: The statements, opinions and data contained in all publications are solely those of the individual author(s) and contributor(s) and not of MDPI and/or the editor(s). MDPI and/or the editor(s) disclaim responsibility for any injury to people or property resulting from any ideas, methods, instructions or products referred to in the content. | 
© 2025 by the authors. Licensee MDPI, Basel, Switzerland. This article is an open access article distributed under the terms and conditions of the Creative Commons Attribution (CC BY) license (https://creativecommons.org/licenses/by/4.0/).
Share and Cite
Biferale, L.; Crociata, A.; Rossi Mori, L.; Chiappetta, C.; Bruno, M. Introducing Friction of Space into the Geography of Cultural Consumption. Urban Sci. 2025, 9, 316. https://doi.org/10.3390/urbansci9080316
Biferale L, Crociata A, Rossi Mori L, Chiappetta C, Bruno M. Introducing Friction of Space into the Geography of Cultural Consumption. Urban Science. 2025; 9(8):316. https://doi.org/10.3390/urbansci9080316
Chicago/Turabian StyleBiferale, Lorenzo, Alessandro Crociata, Lavinia Rossi Mori, Claudio Chiappetta, and Matteo Bruno. 2025. "Introducing Friction of Space into the Geography of Cultural Consumption" Urban Science 9, no. 8: 316. https://doi.org/10.3390/urbansci9080316
APA StyleBiferale, L., Crociata, A., Rossi Mori, L., Chiappetta, C., & Bruno, M. (2025). Introducing Friction of Space into the Geography of Cultural Consumption. Urban Science, 9(8), 316. https://doi.org/10.3390/urbansci9080316
 
        


 
       