Integrating Hyperspectral Reflectance and Physiological Parameters to Detect Urban Tree Stress: A Study of Drought and Simulated Acid Rain
Abstract
1. Introduction
2. Materials and Methods
2.1. Plant Materials and Growth Conditions
2.2. Physiological Measurements
Chl b (mg g−1 FW) = 22.9 × A645 − 4.68 × A663
Chl t (mg g−1 FW) = 20.2 × A645 + 8.02 × A663
2.3. Hyperspectral Reflectance
2.4. Statistical Analysis
3. Results
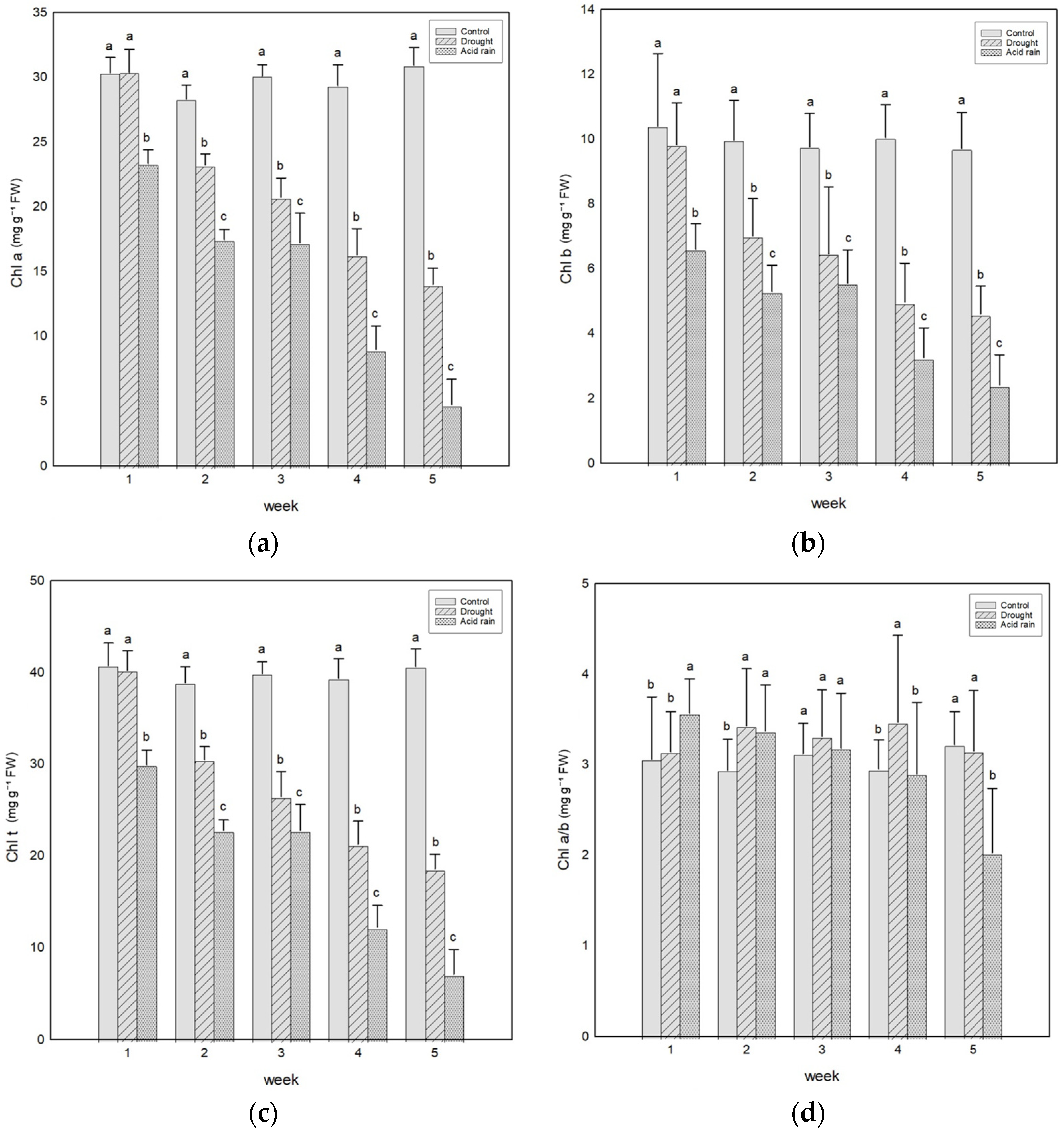
3.1. Chlorophyll Content
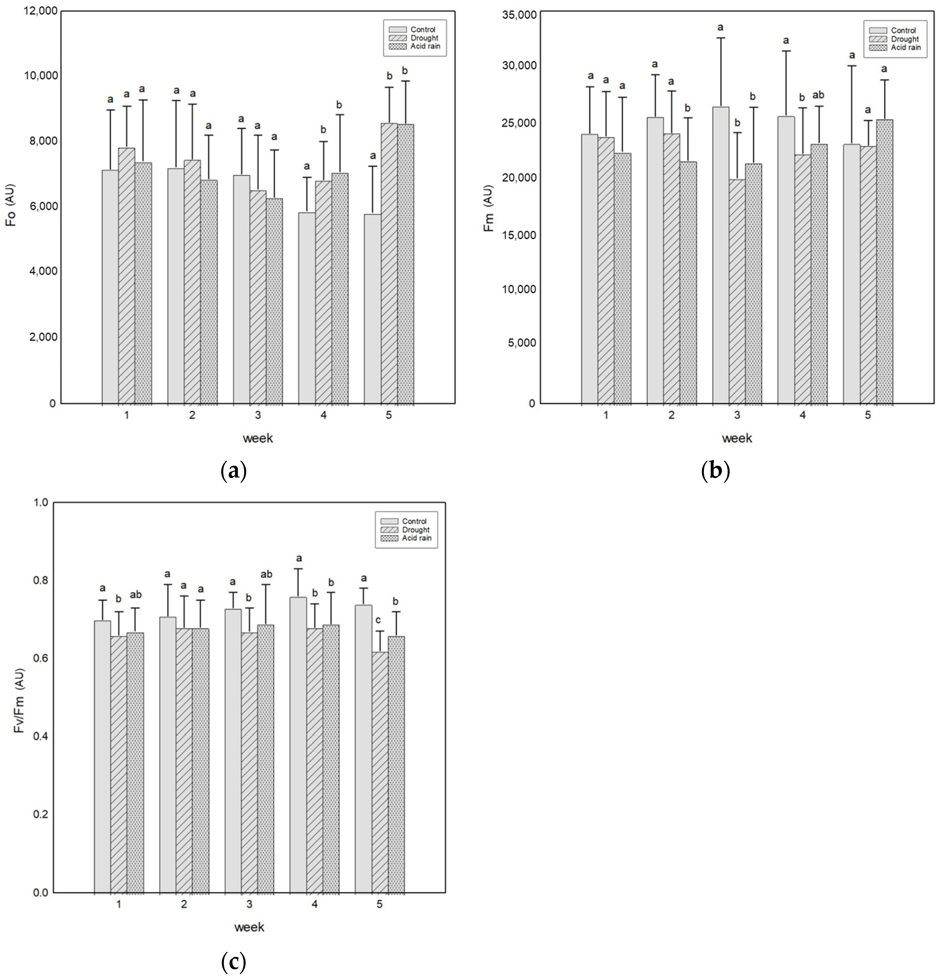
3.2. Chlorophyll Fluorescence
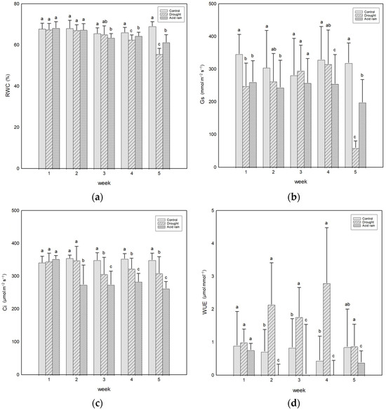
3.3. Leaf Water and Gas Exchange Status
3.4. Hyperspectral Reflectance-Based Classification Model
3.5. Clustering between Physiological Parameters and Selected Bands
4. Discussion
5. Limitations and Future Studies
6. Conclusions
Author Contributions
Funding
Data Availability Statement
Conflicts of Interest
References
- Locosselli, G.M.; de Camargo, E.P.; Moreira, T.C.L.; Todesco, E.; de Fátima Andrade, M.; de André, C.D.S.; de André, P.A.; Singer, J.M.; Ferreira, L.S.; Saldiva, P.H.N.; et al. The role of air pollution and climate on the growth of urban trees. Sci. Total Environ. 2019, 666, 652–661. [Google Scholar] [CrossRef] [PubMed]
- Wadanambi, R.T.; Wandana, L.S.; Chathumini, K.K.G.L.; Dassanayake, N.P.; Preethika, D.D.P.; Arachchige, U.S. The effects of industrialization on climate change. J. Res. Technol. Eng. 2020, 1, 86–94. [Google Scholar]
- Likens, G.E. Acid rain. In Fundamentals of Ecosystem Science, 2nd ed.; Weathers, K.C., Strayer, D.L., Likens, G.E., Eds.; Academic Press: London, UK, 2021; pp. 293–299. [Google Scholar]
- Dyderski, M.K.; Paź, S.; Frelich, L.E.; Jagodziński, A.M. How much does climate change threaten European forest tree species distributions? Glob. Change Biol. 2018, 24, 1150–1163. [Google Scholar] [CrossRef] [PubMed]
- Rötzer, T.; Rahman, M.A.; Moser-Reischl, A.; Pauleit, S.; Pretzsch, H. Process based simulation of tree growth and ecosystem services of urban trees under present and future climate conditions. Sci. Total Environ. 2019, 676, 651–664. [Google Scholar] [CrossRef] [PubMed]
- National Institute of Environmental Research. Annual Report of Air Quality in Korea 2019; National Institute of Environmental Research: Incheon, Republic of Korea, 2020. (In Korean) [Google Scholar]
- Savi, T.; Bertuzzi, S.; Branca, S.; Tretiach, M.; Nardini, A. Drought-induced xylem cavitation and hydraulic deterioration: Risk factors for urban trees under climate change? New Phytol. 2015, 205, 1106–1116. [Google Scholar] [CrossRef] [PubMed]
- Stott, P. How climate change affects extreme weather events. Science 2016, 352, 1517–1518. [Google Scholar] [CrossRef] [PubMed]
- Lee, W.; Choi, H.M.; Kim, D.; Honda, Y.; Guo, Y.L.L.; Kim, H. Synergic effect between high temperature and air pollution on mortality in Northeast Asia. Environ. Res. 2019, 178, 108735. [Google Scholar] [CrossRef] [PubMed]
- Mullaney, J.; Lucke, T.; Trueman, S.J. A review of benefits and challenges in growing street trees in paved urban environments. Landsc. Urban Plan. 2015, 134, 157–166. [Google Scholar] [CrossRef]
- Rahman, M.A.; Moser, A.; Rötzer, T.; Pauleit, S. Microclimatic differences and their influence on transpirational cooling of Tilia cordata in two contrasting street canyons in Munich, Germany. Agric. For. Meteorol. 2017, 232, 443–456. [Google Scholar] [CrossRef]
- Pretzsch, H.; Biber, P.; Uhl, E.; Dahlhausen, J.; Schütze, G.; Perkins, D.; Rötzer, T.; Caldentey, J.; Koike, T.; van Con, T.; et al. Climate change accelerates growth of urban trees in metropolises worldwide. Sci. Rep. 2017, 7, 15403. [Google Scholar] [CrossRef]
- Smardon, R.C. Perception and aesthetics of the urban environment: Review of the role of vegetation. Landsc. Urban Plan. 1988, 15, 85–106. [Google Scholar] [CrossRef]
- Livesley, S.J.; McPherson, E.G.; Calfapietra, C. The urban forest and ecosystem services: Impact on urban water, heat, and pollution cycles at the tree, street, and city scale. J. Environ. Qual. 2016, 45, 119–124. [Google Scholar] [CrossRef] [PubMed]
- Tubby, K.V.; Webber, J.F. Pests and diseases threatening urban trees under a changing climate. For. Int. J. For. Res. 2010, 83, 451–459. [Google Scholar] [CrossRef]
- Wang, X.M.; Wang, X.K.; Su, Y.B.; Zhang, H.X. Land pavement depresses photosynthesis in urban trees especially under drought stress. Sci. Total Environ. 2019, 653, 120–130. [Google Scholar] [CrossRef] [PubMed]
- Bradford, K.J.; Hsiao, T.C. Physiological Responses to Moderate Water Stress. In Physiological Plant Ecology II; Lange, O.L., Nobel, P.S., Osmond, C.B., Ziegler, H., Eds.; Springer: Berlin/Heidelberg, Germany, 1982; pp. 263–324. [Google Scholar]
- Sun, Z.; Wang, L.; Chen, M.; Wang, L.; Liang, C.; Zhou, Q.; Huang, X. Interactive effects of cadmium and acid rain on photosynthetic light reaction in soybean seedlings. Ecotoxicol. Environ. Saf. 2012, 79, 62–68. [Google Scholar] [CrossRef] [PubMed]
- Polishchuk, O.V.; Vodka, M.V.; Belyavskaya, N.A.; Khomochkin, A.P.; Zolotareva, E.K. The effect of acid rain on ultrastructure and functional parameters of photosynthetic apparatus in pea leaves. Cell Tissue Biol. 2016, 10, 250–257. [Google Scholar] [CrossRef]
- Steiner, F. Frontiers in urban ecological design and planning research. Landsc. Urban Plan. 2014, 125, 304–311. [Google Scholar] [CrossRef]
- Kim, J.; Lee, D.K.; Kim, H.G. Suitable trees for urban landscapes in the Republic of Korea under climate change. Landsc. Urban Plan. 2020, 204, 103937. [Google Scholar] [CrossRef]
- Lichtenthaler, H.K. Chlorophylls and carotenoids: Pigments of photosynthetic biomembranes. Methods Enzymol. 1987, 148, 50–382. [Google Scholar]
- Flexas, J.; Galmes, J.; Ribas-Carbo, M.; Medrano, H. The effects of water stress on plant respiration. In Plant Respiration: From Cell to Ecosystem, 1st ed.; Lambers, H., Ribas-Carbo, M., Eds.; Springer: Dordrecht, The Netherlands, 2005; Volume 8, pp. 85–94. [Google Scholar]
- Sreeharsha, R.V.; Mudalkar, S.; Sengupta, D.; Unnikrishnan, D.K.; Reddy, A.R. Mitigation of drought-induced oxidative damage by enhanced carbon assimilation and an efficient antioxidative metabolism under high CO2 environment in pigeonpea (Cajanus cajan L.). Photosynth. Res. 2019, 139, 425–439. [Google Scholar] [CrossRef]
- Gonçalves, A.; Silva, E.; Brito, C.; Martins, S.; Pinto, L.; Dinis, L.T.; Luzio, A.; Martins-Gomes, C.; Fernandes-Silva, A.; Ribeiro, C.; et al. Olive tree physiology and chemical composition of fruits are modulated by different deficit irrigation strategies. J. Sci. Food Agric. 2020, 100, 682–694. [Google Scholar] [CrossRef] [PubMed]
- Zhang, C.; Yi, X.; Gao, X.; Wang, M.; Shao, C.; Lv, Z.; Chen, J.; Liu, Z.; Shen, C. Physiological and biochemical responses of tea seedlings (Camellia sinensis) to simulated acid rain conditions. Ecotoxicol. Environ. Saf. 2020, 192, 110315. [Google Scholar] [CrossRef] [PubMed]
- Ors, S.; Ekinci, M.; Yildirim, E.; Sahin, U.; Turan, M.; Dursun, A. Interactive effects of salinity and drought stress on photosynthetic characteristics and physiology of tomato (Lycopersicon esculentum L.) seedlings. S. Afr. J. Bot. 2021, 137, 335–339. [Google Scholar] [CrossRef]
- Fiorani, F.; Schurr, U. Future scenarios for plant phenotyping. Annu. Rev. Plant Biol. 2013, 64, 267–291. [Google Scholar] [CrossRef] [PubMed]
- Peñuelas, J.; Filella, I. Visible and near-infrared reflectance techniques for diagnosing plant physiological status. Trends Plant Sci. 1998, 3, 151–156. [Google Scholar] [CrossRef]
- Das, A.J.; Wahi, A.; Kothari, I.; Raskar, R. Ultra-portable, wireless smartphone spectrometer for rapid, non-destructive testing of fruit ripeness. Sci. Rep. 2016, 6, 32504. [Google Scholar] [CrossRef] [PubMed]
- Heller, C.R.; Nunez, G.H. Preplant Fertilization Increases Substrate Microbial Respiration but Does Not Affect Southern Highbush Blueberry Establishment in a Coconut Coir-based Substrate. HortScience 2022, 57, 17–21. [Google Scholar] [CrossRef]
- Xavier, J. Effect of heavy metals on the pigmentation and photosynthetic capability in Jacobaea maritima (L.) Pelser & Meijden. Plant Sci. Today 2023, 10, 192–197. [Google Scholar]
- Matsumura, H.; Izuta, T. Effects of simulated acid rain on Asian trees. In Air Pollution Impacts on Plants in East Asia, 1st ed.; Izuta, T., Ed.; Springer: Tokyo, Japan, 2017; pp. 237–247. [Google Scholar]
- Hiscox, J.D.; Israelstam, G.F. A method for the extraction of chlorophyll from leaf tissue without maceration. Can. J. Bot. 1979, 57, 1332–1334. [Google Scholar] [CrossRef]
- Arnon, D.I. Copper enzymes in isolated chloroplasts. Polyphenoloxidase in Beta vulgaris. Plant Physiol. 1949, 24, 1–15. [Google Scholar] [CrossRef]
- Kohno, Y.; Matsumura, H.; Kobayashi, T. Effect of simulated acid rain on the development of leaf injury in tree seedlings. J. Jpn. Soc. Air Pollut. 1994, 29, 206–219. (In Japanese) [Google Scholar]
- Porra, R.J. The chequered history of the development and use of simultaneous equations for the accurate determination of chlorophylls a and b. Photosynth. Res. 2002, 73, 149–156. [Google Scholar] [CrossRef]
- Blackburn, G.A. Hyperspectral remote sensing of plant pigments. J. Exp. Bot. 2007, 58, 855–867. [Google Scholar] [CrossRef]
- Lee, K.C.; Kweon, H.; Sung, J.W.; Kim, Y.S.; Song, Y.G.; Cha, S.; Koo, N. Physiological response analysis for the diagnosis of drought and waterlogging damage in Prunus yedoensis. For. Sci. Technol. 2022, 18, 14–25. [Google Scholar] [CrossRef]
- Morrison, I.K. Acid rain, forests and forestry. In Sixth North American Forest Soils Conference; Stone, E.L., Ed.; University of Tennessee: Knoxville, TN, USA, 1983; pp. 209–219. [Google Scholar]
- Neufeld, H.S.; Jernstedt, J.A.; Haines, B.L. Direct foliar effects of simulated acid rain: I. Damage, growth and gas exchange. New Phytol. 1985, 99, 389–405. [Google Scholar] [CrossRef]
- Sant’Anna-Santos, B.F.; da Silva, L.C.; Azevedo, A.A.; de Araujo, J.M.; Alves, E.F.; da Silva, E.A.M.; Aguiar, R. Effects of simulated acid rain on the foliar micromorphology and anatomy of tree tropical species. J. Exp. Bot. 2006, 58, 158–168. [Google Scholar] [CrossRef]
- Ranjbarfordoei, A.; Samson, R.; Van Damme, P. Chlorophyll fluorescence performance of sweet almond [Prunus dulcis (Miller) D. Webb] in response to salinity stress induced by NaCl. Photosynthetica 2006, 44, 513–522. [Google Scholar] [CrossRef]
- Viljevac Vuletić, M.; Mihaljević, I.; Tomaš, V.; Horvat, D.; Zdunić, Z.; Vuković, D. Physiological response to short-term heat stress in the leaves of traditional and modern plum (Prunus domestica L.) cultivars. Horticulturae 2022, 8, 72. [Google Scholar] [CrossRef]
- Liu, M.H.; Yi, L.T.; Yu, S.Q.; Yu, F.; Yin, X.M. Chlorophyll fluorescence characteristics and the growth response of Elaeocarpus glabripetalus to simulated acid rain. Photosynthetica 2015, 53, 23–28. [Google Scholar] [CrossRef]
- Roháček, K.; Soukupová, J.; Barták, M. Chlorophyll fluorescence: A wonderful tool to study plant physiology and plant stress. In Plant Cell Compartments-Selected Topics; Schoefs, B., Ed.; Research Signpost: Kerala, India, 2008; pp. 41–104. [Google Scholar]
- Kozlowski, T.T.; Pallardy, S.G. Physiological Regulation of Vegetative Growth. In Growth Control in Woody Plants; Kozlowski, T.T., Pallardy, S.G., Eds.; Academic Press: SanDiego, CA, USA, 1997; Volume Physiological Ecology; pp. 73–165. [Google Scholar]
- Chaves, M.M.; Oliveira, M.M. Mechanisms underlying plant resilience to water deficits: Prospects for water-saving agriculture. J. Exp. Bot. 2004, 55, 2365–2384. [Google Scholar] [CrossRef] [PubMed]
- Zhang, Q.; Li, Q.; Zhang, G. Rapid determination of leaf water content using VIS/NIR spectroscopy analysis with wavelength selection. Spectrosc. Int. J. 2012, 27, 93–105. [Google Scholar] [CrossRef]
- Liu, J.; Han, J.; Chen, X.; Shi, L.; Zhang, L. Nondestructive detection of rape leaf chlorophyll level based on Vis-NIR spectroscopy. Spectrochim. Acta A Mol. Biomol. 2019, 222, 117202. [Google Scholar] [CrossRef] [PubMed]
- Jia, M.; Li, D.; Colombo, R.; Wang, Y.; Wang, X.; Cheng, T.; Zhu, Y.; Yao, X.; Xu, C.; Ouer, G.; et al. Quantifying chlorophyll fluorescence parameters from hyperspectral reflectance at the leaf scale under various nitrogen treatment regimes in winter wheat. Remote Sens. 2019, 11, 2838. [Google Scholar] [CrossRef]
- Zheng, W.; Lu, X.; Li, Y.; Li, S.; Zhang, Y. Hyperspectral identification of chlorophyll fluorescence parameters of Suaeda salsa in coastal wetlands. Remote Sens. 2021, 13, 2066. [Google Scholar] [CrossRef]
- Zhuang, J.; Wang, Q. Hyperspectral Indices Developed from Fractional-Order Derivative Spectra Improved Estimation of Leaf Chlorophyll Fluorescence Parameters. Plants 2024, 13, 1923. [Google Scholar] [CrossRef] [PubMed]
- López-Maestresalas, A.; Keresztes, J.C.; Goodarzi, M.; Arazuri, S.; Jarén, C.; Saeys, W. Non-destructive detection of blackspot in potatoes by Vis-NIR and SWIR hyperspectral imaging. Food Control 2016, 70, 229–241. [Google Scholar] [CrossRef]
- Braga, P.; Crusiol, L.G.T.; Nanni, M.R.; Caranhato, A.L.H.; Fuhrmann, M.B.; Nepomuceno, A.L.; Neumaier, N.; Farias, J.R.B.; Koltun, A.; Gonçalves, L.S.A.; et al. Vegetation indices and NIR-SWIR spectral bands as a phenotyping tool for water status determination in soybean. Precis. Agric. 2021, 22, 249–266. [Google Scholar] [CrossRef]
- Vergara-Díaz, O.; Chairi, F.; Vicente, R.; Fernandez-Gallego, J.A.; Nieto-Taladriz, M.T.; Aparicio, N.; Kefauver, S.C.; Araus, J.L. Leaf dorsoventrality as a paramount factor determining spectral performance in field-grown wheat under contrasting water regimes. J. Exp. Bot. 2018, 69, 3081–3094. [Google Scholar] [CrossRef] [PubMed]
- Ajayi, S.; Reddy, S.K.; Gowda, P.H.; Xue, Q.; Rudd, J.C.; Pradhan, G.; Liu, S.; Stewart, B.A.; Biradar, C.; Jessup, K.E. Spectral reflectance models for characterizing winter wheat genotypes. J. Crop Improv. 2016, 30, 176–195. [Google Scholar] [CrossRef]
- Nturambirwe, J.F.I.; Perold, W.J.; Opara, U.L. Classification learning of latent bruise damage to apples using shortwave infrared hyperspectral imaging. Sensors 2021, 21, 4990. [Google Scholar] [CrossRef] [PubMed]
- Salghuna, N.N.; Prasad, P.R.C.; Nidamanuri, R.R. Semi-empirical model for upscaling leaf spectra (SEMULS): A novel approach for modeling canopy spectra from in situ leaf reflectance spectra. Geocarto Int. 2021, 36, 1665–1684. [Google Scholar] [CrossRef]
- Degerickx, J.; Roberts, D.A.; McFadden, J.P.; Hermy, M.; Somers, B. Urban tree health assessment using airborne hyperspectral and LiDAR imagery. Int. J. Appl. Earth Obs. Geoinf. 2018, 73, 26–38. [Google Scholar] [CrossRef]
- Wei, S.; Yin, T.; Yuan, B.; Ow, G.L.F.; Yusof, M.L.M.; Gastellu-Etchegorry, J.P.; Whittle, A.J. Estimation of chlorophyll content for urban trees from UAV hyperspectral images. Int. J. Appl. Earth Obs. Geoinf. 2024, 126, 103617. [Google Scholar] [CrossRef]
- Qamar, F.; Sharma, M.S.; Dobler, G. The impacts of air quality on vegetation health in dense urban environments: A ground-based hyperspectral imaging approach. Remote Sens. 2022, 14, 3854. [Google Scholar] [CrossRef]







| VIS | SWIR | |||||
|---|---|---|---|---|---|---|
| Raw | SNV | SNV + S.G 2nd | Raw | SNV | SNV + S.G 2nd | |
| Num. LVs | 3 | 8 | 4 | 4 | 3 | 4 |
| Sensitivity | 0.935 | 0.970 | 0.945 | 0.815 | 0.680 | 0.850 |
| Specificity | 0.880 | 0.900 | 0.873 | 0.913 | 0.900 | 0.913 |
| Class Error | 0.093 | 0.065 | 0.091 | 0.136 | 0.210 | 0.118 |
| Accuracy | 0.923 | 0.947 | 0.935 | 0.860 | 0.773 | 0.880 |
| Treatment (Class) | Week | VIS | SWIR | ||||
|---|---|---|---|---|---|---|---|
| Raw | SNV | SNV + S.G 2nd | Raw | SNV | SNV + S.G 2nd | ||
| CK (Class 1) | 1 | 0.735 | 0.687 | 0.597 | 0.733 | 0.698 | 0.696 |
| 2 | 0.903 | 0.906 | 0.909 | 0.812 | 0.779 | 0.798 | |
| 3 | 0.956 | 1.00 | 1.00 | 0.807 | 0.778 | 0.848 | |
| 4 | 0.685 | 0.999 | 0.999 | 0.811 | 0.764 | 0.934 | |
| 5 | 0.961 | 0.963 | 0.931 | 0.624 | 0.633 | 0.909 | |
| DT (Class 0) | 1 | 0.835 | 0.898 | 0.861 | 0.688 | 0.536 | 0.715 |
| 2 | 0.682 | 0.959 | 0.786 | 0.846 | 0.737 | 0.872 | |
| 3 | 0.680 | 0.856 | 0.738 | 0.912 | 0.655 | 0.846 | |
| 4 | 0.787 | 0.965 | 0.975 | 0.739 | 0.791 | 0.692 | |
| 5 | 0.914 | 0.989 | 0.985 | 0.864 | 0.837 | 0.852 | |
| SAT (Class 0) | 1 | 0.986 | 0.969 | 0.984 | 0.179 | 0.183 | 0.786 |
| 2 | 0.996 | 0.997 | 0.989 | 0.687 | 0.558 | 0.989 | |
| 3 | 0.974 | 0.984 | 0.978 | 0.921 | 0.699 | 0.967 | |
| 4 | 0.851 | 0.916 | 0.985 | 0.833 | 0.852 | 0.780 | |
| 5 | 0.868 | 0.977 | 0.946 | 0.988 | 0.906 | 0.940 | |
Disclaimer/Publisher’s Note: The statements, opinions and data contained in all publications are solely those of the individual author(s) and contributor(s) and not of MDPI and/or the editor(s). MDPI and/or the editor(s) disclaim responsibility for any injury to people or property resulting from any ideas, methods, instructions or products referred to in the content. |
© 2024 by the authors. Licensee MDPI, Basel, Switzerland. This article is an open access article distributed under the terms and conditions of the Creative Commons Attribution (CC BY) license (https://creativecommons.org/licenses/by/4.0/).
Share and Cite
Jeong, U.; Yun, Y.J.; Cheong, E.J. Integrating Hyperspectral Reflectance and Physiological Parameters to Detect Urban Tree Stress: A Study of Drought and Simulated Acid Rain. Urban Sci. 2024, 8, 106. https://doi.org/10.3390/urbansci8030106
Jeong U, Yun YJ, Cheong EJ. Integrating Hyperspectral Reflectance and Physiological Parameters to Detect Urban Tree Stress: A Study of Drought and Simulated Acid Rain. Urban Science. 2024; 8(3):106. https://doi.org/10.3390/urbansci8030106
Chicago/Turabian StyleJeong, Ukhan, Young Jo Yun, and Eun Ju Cheong. 2024. "Integrating Hyperspectral Reflectance and Physiological Parameters to Detect Urban Tree Stress: A Study of Drought and Simulated Acid Rain" Urban Science 8, no. 3: 106. https://doi.org/10.3390/urbansci8030106
APA StyleJeong, U., Yun, Y. J., & Cheong, E. J. (2024). Integrating Hyperspectral Reflectance and Physiological Parameters to Detect Urban Tree Stress: A Study of Drought and Simulated Acid Rain. Urban Science, 8(3), 106. https://doi.org/10.3390/urbansci8030106

