The Human Influence Experiment (Part 2): Guidelines for Improved Mapping of Local Climate Zones Using a Supervised Classification
Abstract
:1. Introduction
- Can the quality of LCZ training areas be assessed from operator self-assessment or from the training areas themselves?
- Does previous knowledge on LCZ given by the driving test help to correctly classify LCZs?
- How much does the personality of the operator influence the classification quality?
2. Materials and Methods
2.1. Layout of the Experiment
- Agreeableness is the willingness to help other people, act in accordance to other people’s interests and the degree of co-operative, warm and agreeable traits in an individual.
- Conscientiousness can be described as the preference to follow rules and schedules, keep engagements, work hard and organize.
- Participants, which are emotional stable, are characterized by being relaxed and independent, calm, self-confident and self-restrained.
- Extraversion defines the need for human contact, empathy, assertiveness and the wish to inspire people.
- Openness measures the degree to which a participant needs intellectual stimulation, change and variety.
2.2. Participants and Study Sites
2.3. Analysis and Accuracy Assessment
3. Results
3.1. Self-Assessment
3.2. Information from the Training Areas
3.3. Driving Test
3.4. Dedication
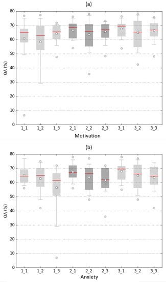
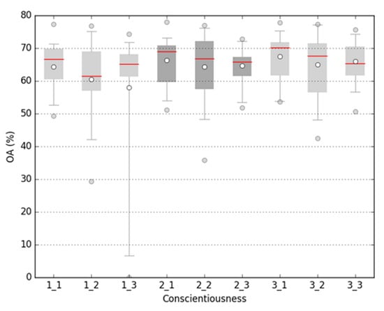
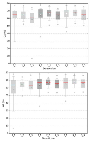
3.5. Personality
3.6. Difficulties According to the Participants
3.7. Time Investment
4. Discussion
5. Conclusions
- Follow the rules of the WUDAPT protocol concerning the size and form of training areas;
- Spend at least 4 hours (for a city similar to Berlin) on the classification without being stressed;
- Carry out the driving test before doing the actual classification;
- The more iterations (at least three) the better the accuracy;
- Submit your LCZ map and training areas to the WUDAPT portal [29], even if your city is already present: combining training areas typically results in an overall better classification.
Author Contributions
Funding
Acknowledgments
Conflicts of Interest
References
- WOS. Web of Science. 2018. Available online: http://apps.webofknowledge.com (accessed on 3 October 2018).
- Stewart, I.D.; Oke, T.R. Local climate zones for urban temperature studies. Bull. Am. Meteorol. Soc. 2012, 93, 1879–1900. [Google Scholar] [CrossRef]
- Stewart, I.D.; Oke, T.R.; Krayenhoff, E.S. Evaluation of the ’local climate zone’ scheme using temperature observations and model simulations. Int. J. Climatol. 2014, 34, 1062–1080. [Google Scholar] [CrossRef]
- Bechtel, B.; Alexander, P.; Böhner, J.; Ching, J.; Conrad, O.; Feddema, J.; Mills, G.; See, L.; Stewart, I. Mapping Local Climate Zones for a Worldwide Database of the form and Function of Cities. ISPRS Int. J. Geo-Inf. 2015, 4, 199–219. [Google Scholar] [CrossRef]
- Bechtel, B.; Daneke, C. Classification of local climate zones based on multiple earth observation data. IEEE J. Sel. Top. Appl. Earth Obs. Remote Sens. 2012, 5, 1191–1202. [Google Scholar] [CrossRef]
- Cai, M.; Ren, C.; Xu, Y.; Lau, K.K.L.; Wang, R. Investigating the relationship between local climate zone and land surface temperature using an improved WUDAPT methodology—A case study of Yangtze River Delta, China. Urban Clim. 2017. [Google Scholar] [CrossRef]
- Ching, J.; Mills, G.; Bechtel, B.; See, L.; Feddema, J.; Wang, X.; Ren, C.; Brousse, O.; Martilli, A.; Neophytou, M.; et al. World Urban Database and Access Portal Tools (WUDAPT), an urban weather, climate and environmental modeling infrastructure for the Anthropocene. Bull. Am. Meteorol. Soc. 2018. [Google Scholar] [CrossRef]
- Goodchild, M.F. Citizens as sensors: The world of volunteered geography. GeoJournal 2007, 69, 211–221. [Google Scholar] [CrossRef]
- See, L.; Mooney, P.; Foody, G.; Bastin, L.; Comber, A.; Estima, J.; Fritz, S.; Kerle, N.; Jiang, B.; Laakso, M.; et al. Crowdsourcing, Citizen Science or Volunteered Geographic Information? The Current State of Crowdsourced Geographic Information. ISPRS Int. J. Geo-Inf. 2016, 5, 55. [Google Scholar] [CrossRef]
- ICUC. 10th International Conference on Urban Climate/14th Symposium on the Urban Environment. 2018. Available online: https://www.urban-climate.org/icuc/ (accessed on 5 October 2018).
- Alexander, P.J.; Fealy, R.; Mills, G.M. Simulating the impact of urban development pathways on the local climate: A scenario-based analysis in the greater Dublin region, Ireland. Landsc. Urban Plan. 2016, 152, 72–89. [Google Scholar] [CrossRef]
- Alexander, P.J.; Mills, G.; Fealy, R. Using LCZ data to run an urban energy balance model. Urban Clim. 2015, 13, 14–37. [Google Scholar] [CrossRef]
- Brousse, O.; Martilli, A.; Foley, M.; Mills, G.; Bechtel, B. WUDAPT, an efficient land use producing data tool for mesoscale models? Integration of urban LCZ in WRF over Madrid. Urban Clim. 2016, 17, 116–134. [Google Scholar] [CrossRef]
- Brousse, O.; Georganos, S.; Demuzere, M.; Vanhuysse, S.; Wouters, H.; Wolff, E.; Linard, C.; Lipzig, N.P.V. Urban Climate Using Local Climate Zones in Sub-Saharan Africa to tackle urban health issues. Urban Clim. 2019, 27, 227–242. [Google Scholar] [CrossRef]
- Leconte, F.; Bouyer, J.; Claverie, R.; Pétrissans, M. Using Local Climate Zone scheme for UHI assessment: Evaluation of the method using mobile measurements. Build. Environ. 2015, 83, 39–49. [Google Scholar] [CrossRef]
- Hammerberg, K.; Brousse, O.; Martilli, A.; Mahdavi, A. Implications of employing detailed urban canopy parameters for mesoscale climate modelling: A comparison between WUDAPT and GIS databases over Vienna, Austria. Int. J. Climatol. 2018, 38, 1241–1257. [Google Scholar] [CrossRef]
- Ching, J. A perspective on urban canopy layer modeling for weather, climate and air quality applications. Urban Clim. 2013, 3, 13–39. [Google Scholar] [CrossRef]
- Siu, L.W.; Hart, M.A. Quantifying urban heat island intensity in Hong Kong SAR, China. Environ. Monit. Assess. 2013, 185, 4383–4398. [Google Scholar] [CrossRef] [PubMed]
- Verdonck, M.; Demuzere, M.; Hooyberghs, H.; Beck, C.; Cyrys, J.; Schneider, A.; Dewulf, R.; Van Coillie, F. The potential of local climate zones maps as a heat stress assessment tool, supported by simulated air temperature data. Landsc. Urban Plan. 2018, 178, 183–197. [Google Scholar] [CrossRef]
- Wouters, H.; Demuzere, M.; Blahak, U.; Fortuniak, K.; Maiheu, B.; Camps, J.; Tielemans, D.; van Lipzig, N.P. Efficient urban canopy parametrization for atmospheric modelling: Description and application with the COSMO-CLM model (version 5.0_clm6) for a Belgian Summer. Geosci. Model Dev. 2016, 9, 3027–3054. [Google Scholar] [CrossRef]
- Fenner, D.; Meier, F.; Bechtel, B.; Otto, M.; Scherer, D. Intra and inter ‘local climate zone’ variability of air temperature as observed by crowdsourced citizen weather stations in Berlin, Germany. Meteorol. Z. 2017, 26, 525–547. [Google Scholar] [CrossRef]
- Verdonck, M.; Okujeni, A.; van der Linden, S.; Demuzere, M.; De Wulf, R.; Van Coillie, F. Influence of neighbourhood information on ‘ Local Climate Zone ’ mapping in heterogeneous cities. Int. J. Appl. Earth Obs. Geoinf. 2017, 62, 102–113. [Google Scholar] [CrossRef]
- Bechtel, B.; Demuzere, M.; Sismanidis, P.; Fenner, D.; Brousse, O.; Beck, C.; Van Coillie, F.; Conrad, O.; Keramitsoglou, I.; Middel, A.; et al. Quality of Crowdsourced Data on Urban Morphology—The Human Influence Experiment (HUMINEX). Urban Sci. 2017, 10, 15. [Google Scholar] [CrossRef]
- Van Coillie, F.M.; Gardin, S.; Anseel, F.; Duyck, W.; Verbeke, L.P.L.; Wulf, R.; De Wulf, R. Variability of operator performance in remote-sensing image interpretation: The importance of human and external factors. Int. J. Remote Sens. 2014, 35, 754–778. [Google Scholar] [CrossRef]
- Sokolova, M.; Lapalme, G. A systematic analysis of performance measures for classification tasks. Inf. Process. Manag. 2009, 45, 427–437. [Google Scholar] [CrossRef]
- Hu, J.; Ghamisi, P.; Zhu, X. Feature Extraction and Selection of Sentinel-1 Dual-Pol Data for Global-Scale Local Climate Zone Classification. Int. J. Geo-Inf. Artic. 2018, 7, 379. [Google Scholar] [CrossRef]
- Demuzere, M.; Bechtel, B.; Mills, G. Global transferability of Local Climate Zone models. Urban Clim. 2019, 27, 46–63. [Google Scholar] [CrossRef]
- Demuzere, M.; Bechtel, B.; Middel, A.; Mills, G. Mapping Europe into Local Climate Zones. PLoS ONE 2019. under review. [Google Scholar]
- Bechtel, B.; Alexander, P.J.; Beck, C.; Brousse, O.; Ching, J.; Demuzere, M.; Gal, T.; Hidalgo, J.; Hoffman, P.; Middel, A.; et al. Generating WUDAPT Level 0 data—Current status of production and evaluation. Urban Clim. 2019, 27, 24–45. [Google Scholar] [CrossRef]










| Category | Metadata Collected |
|---|---|
| General | ID; City name |
| participant | Number of participants per training area set; highest degree (B.Sc./M.Sc./Ph.D.); total years of study (Number of years); University course; Experience with Image Classification (Self-Estimation ); Age; Gender; City of origin |
| LCZ knowledge | Introduction in seminar/course (Yes/No); WUDAPT website visit (Yes/No); study of Stewart and Oke 2012 paper (Yes/No); study of LCZ fact sheets (Yes/No); completion of LCZ Driving test (Yes/No); Numbers of cities classified before (Number of cities); LCZ knowledge self-estimation (0–100%) |
| City knowledge | How long have you lived in the city of interest (Number of years); how long have you lived in similar (climate, morphology) cities (Number of years); Familiarity with city of interest self-estimation (0–100%) |
| Classification | Time invested for training area collection (Number of hours); Number of iterations (Number of iterations); Used online manuals? (Yes/No); Which LCZ did you find difficult to distinguish? (LCZ type) |
| Overall | Self-Rating (0–100%) of final classification [map] quality |
| Personality | All 40 personality related questions can be found in Table 2 |
| Dedication | All 20 dedication related questions can be found in Table 2 |
| Dedication Trait | Question |
|---|---|
| Motivation | Doing well in this classification exercise is important to me; |
| I wanted to do well in this exercise; | |
| I tried my best in this exercise; | |
| I tried to do the very best I could in this exercise; | |
| While taking this test, I concentrated and tried to do well; | |
| I want to be among the top scorers in this exercise; | |
| I pushed myself to work hard on this exercise; | |
| I was extremely motivated to do well in this exercise; | |
| I just did not care how I did in this exercise; | |
| I did not put much effort in this exercise; | |
| Comparative anxiety | I probably did not do as well as most of the other people who participated in this exercise; |
| I am not good at exercises; | |
| During the exercise, I often thought about how poor I was doing; | |
| I usually get very anxious about doing exercises; | |
| I usually perform well on exercises; | |
| I expect to be among the people who score really well in this exercise; | |
| My scores usually do not reflect my true abilities; | |
| I very much dislike doing exercises of this type; | |
| During the exercise, I found myself thinking of the consequence of failing; | |
| During the exercise, I got so nervous I couldn’t do as well as I should have. | |
| Personality Trait | Question |
| Extraversion | Make friends easily; |
| Feel comfortable around people; | |
| Start conversations; | |
| Know how to captivate people; | |
| Don’t mind being the left of attention; | |
| Don’t talk a lot; | |
| Keep in the background; | |
| Have little to say; | |
| Don’t like to draw attention to myself; | |
| Am quit around strangers; | |
| I see myself as extroverted, enthusiastic; | |
| I see myself as reserved, quiet; | |
| Neuroticism | I’m relaxed most of the time; |
| Seldom feel blue; | |
| Get stressed out easily; | |
| Worry about things; | |
| Am easily disturbed; | |
| Get upset easily; | |
| Change my mood a lot; | |
| Have frequent mood swings; | |
| Get irritated easily; | |
| Often feel blue; | |
| I see myself as anxious, easily upset; | |
| I see myself as emotionally stable, calm; | |
| Conscientiousness | Am always prepared; |
| Pay attention to details; | |
| Get chores done right away; | |
| Follow a schedule; | |
| Like order; | |
| Am exacting/demanding in my work; | |
| Leave my belongings around; | |
| Make a mess of things; | |
| Often forget to put things back in their proper place; | |
| Shirk my duties; | |
| I see myself as dependable, self-disciplined; | |
| I see myself as disorganized, careless; | |
| Agreeableness | I see myself a critical, quarrelsome; |
| I see myself as sympathetic, warm; | |
| Openness | I see myself as open to new experience, complex; |
| I see myself as conventional, uncreative. |
| Name of Institute | Number of Students | # TA Sets Used in Evaluation |
|---|---|---|
| University of Augsburg | 25 | 16 |
| NO institute | 1 | 1 |
| Yncréa HEI | 19 | 6 |
| University of Leuven (2017/2018) | 35/28 | 9/11 |
| Technical university of Berlin | 15 | 5 |
| Ghent University | 6 | 3 |
| Wageningen University | 13 | 8 |
| LCZ 1 | LCZ 2 | LCZ 3 | LCZ 4 | LCZ 5 | LCZ 6 | LCZ 7 | LCZ 8 | LCZ 9 | LCZ 10 | |
| Area (km) | ||||||||||
| mean | 0.1 | 1.0 | 0.3 | 0.3 | 0.5 | 0.5 | 0.2 | 0.4 | 0.3 | 0.3 |
| max | 0.8 | 7.9 | 2.7 | 1.2 | 2.1 | 3.5 | 1.0 | 1.5 | 6.7 | 1.3 |
| Number | ||||||||||
| mean | 3.6 | 9.7 | 5.7 | 6.7 | 10.7 | 14.7 | 6.12 | 9.99 | 7.3 | 6.2 |
| min | 1 | 2 | 1 | 2 | 3 | 5 | 1 | 4 | 1 | 1 |
| max | 11 | 26 | 16 | 19 | 50 | 115 | 23 | 28 | 17 | 19 |
| NS | 15 | 1 | 16 | 4 | 0 | 0 | 35 | 1 | 7 | 9 |
| Shape (mean) | 1.52 | 1.51 | 1.49 | 1.33 | 1.46 | 1.47 | 1.63 | 1.45 | 1.59 | 1.80 |
| Vertices (mean) | 6.02 | 7.77 | 8.58 | 7.88 | 7.54 | 7.76 | 7.26 | 8.33 | 7.41 | 7.99 |
| LCZ A | LCZ B | LCZ C | LCZ D | LCZ E | LCZ F | LCZ G | ||||
| Area (km) | ||||||||||
| mean | 5.9 | 0.8 | 0.5 | 2.7 | 0.3 | 0.3 | 1.1 | |||
| max | 28.4 | 8.5 | 5.7 | 12.8 | 2.5 | 1.7 | 3.5 | |||
| Number | ||||||||||
| mean | 13.1 | 9.6 | 6.3 | 12.4 | 7.5 | 8.5 | 13.9 | |||
| min | 7 | 1 | 1 | 8 | 1 | 1 | 6 | |||
| max | 40 | 24 | 15 | 38 | 26 | 21 | 40 | |||
| NS | 0 | 0 | 1 | 0 | 0 | 0 | 0 | |||
| Shape (mean) | 1.99 | 1.62 | 1.66 | 1.83 | 2.10 | 2.81 | 2.22 | |||
| Vertices (mean) | 10.70 | 8.44 | 8.63 | 8.98 | 7.80 | 9.34 | 12.10 |
| Extraversion | Neuroticism | Conscientiousness | Motivation | Comparative Anxiety | ||||||
|---|---|---|---|---|---|---|---|---|---|---|
| Group Size | Threshold | Group Size | Threshold | Group Size | Threshold | Group Size | Threshold | Group Size | Threshold | |
| Group 1 | 22 | <2.7 | 20 | <3.1 | 21 | <3.3 | 19 | <3 | 18 | <2.3 |
| Group 2 | 17 | 2.7–3.1 | 20 | 3.1–3.6 | 21 | 3.3–3.8 | 19 | 3–3.4 | 19 | 2.3–2.6 |
| Group 3 | 20 | >3.1 | 19 | >3.6 | 17 | >3.8 | 18 | >3.4 | 18 | >2.6 |
© 2019 by the authors. Licensee MDPI, Basel, Switzerland. This article is an open access article distributed under the terms and conditions of the Creative Commons Attribution (CC BY) license (http://creativecommons.org/licenses/by/4.0/).
Share and Cite
Verdonck, M.-l.; Demuzere, M.; Bechtel, B.; Beck, C.; Brousse, O.; Droste, A.; Fenner, D.; Leconte, F.; Van Coillie, F. The Human Influence Experiment (Part 2): Guidelines for Improved Mapping of Local Climate Zones Using a Supervised Classification. Urban Sci. 2019, 3, 27. https://doi.org/10.3390/urbansci3010027
Verdonck M-l, Demuzere M, Bechtel B, Beck C, Brousse O, Droste A, Fenner D, Leconte F, Van Coillie F. The Human Influence Experiment (Part 2): Guidelines for Improved Mapping of Local Climate Zones Using a Supervised Classification. Urban Science. 2019; 3(1):27. https://doi.org/10.3390/urbansci3010027
Chicago/Turabian StyleVerdonck, Marie-leen, Matthias Demuzere, Benjamin Bechtel, Christoph Beck, Oscar Brousse, Arjan Droste, Daniel Fenner, François Leconte, and Frieke Van Coillie. 2019. "The Human Influence Experiment (Part 2): Guidelines for Improved Mapping of Local Climate Zones Using a Supervised Classification" Urban Science 3, no. 1: 27. https://doi.org/10.3390/urbansci3010027
APA StyleVerdonck, M.-l., Demuzere, M., Bechtel, B., Beck, C., Brousse, O., Droste, A., Fenner, D., Leconte, F., & Van Coillie, F. (2019). The Human Influence Experiment (Part 2): Guidelines for Improved Mapping of Local Climate Zones Using a Supervised Classification. Urban Science, 3(1), 27. https://doi.org/10.3390/urbansci3010027

