Antitumor Potential of Moringa oleifera Extract Against PC3 Prostate Cancer Cells Through IGF-1 Pathway Modulation
Abstract
1. Introduction
2. Materials and Methods
2.1. Reagents
2.2. Preparation of Moringa oleifera Extract
2.3. GC-MS Analysis
2.4. PC3 Cell Line and Culture Conditions
2.5. Scratch Assay
2.6. Cytotoxicity Assay
2.7. Experimental Design
- PC3 (unexposed control PC3 cells/Ctrl).
- PC3 + 100 µg/mL Moringa oleifera.
- PC3 + 50 ng/mL IGF-I.
- PC3 + 1 μM NVP-AEW541 hydrochloride.
- PC3 + 1 μM NVP-AEW541 + 50 ng/mL IGF-I.
- PC3 + 100 µg/mL Moringa oleifera + 50 ng/mL IGF-I.
- PC3 + 100 µg/mL Moringa oleifera + 1 μM NVP-AEW541 + 50 ng/mL IGF-I.
2.8. Apoptosis Assay
2.9. Cell Cycle Analysis
2.10. Real-Time Quantitative PCR (RT-qPCR)
2.11. Western Blotting
2.12. Statistical Analysis
3. Results
3.1. Characterization of Moringa oleifera Extract
3.2. Cytotoxicity Assay
3.3. Scratch Assay Analysis
3.4. Morphology of Treated PC3 Cells
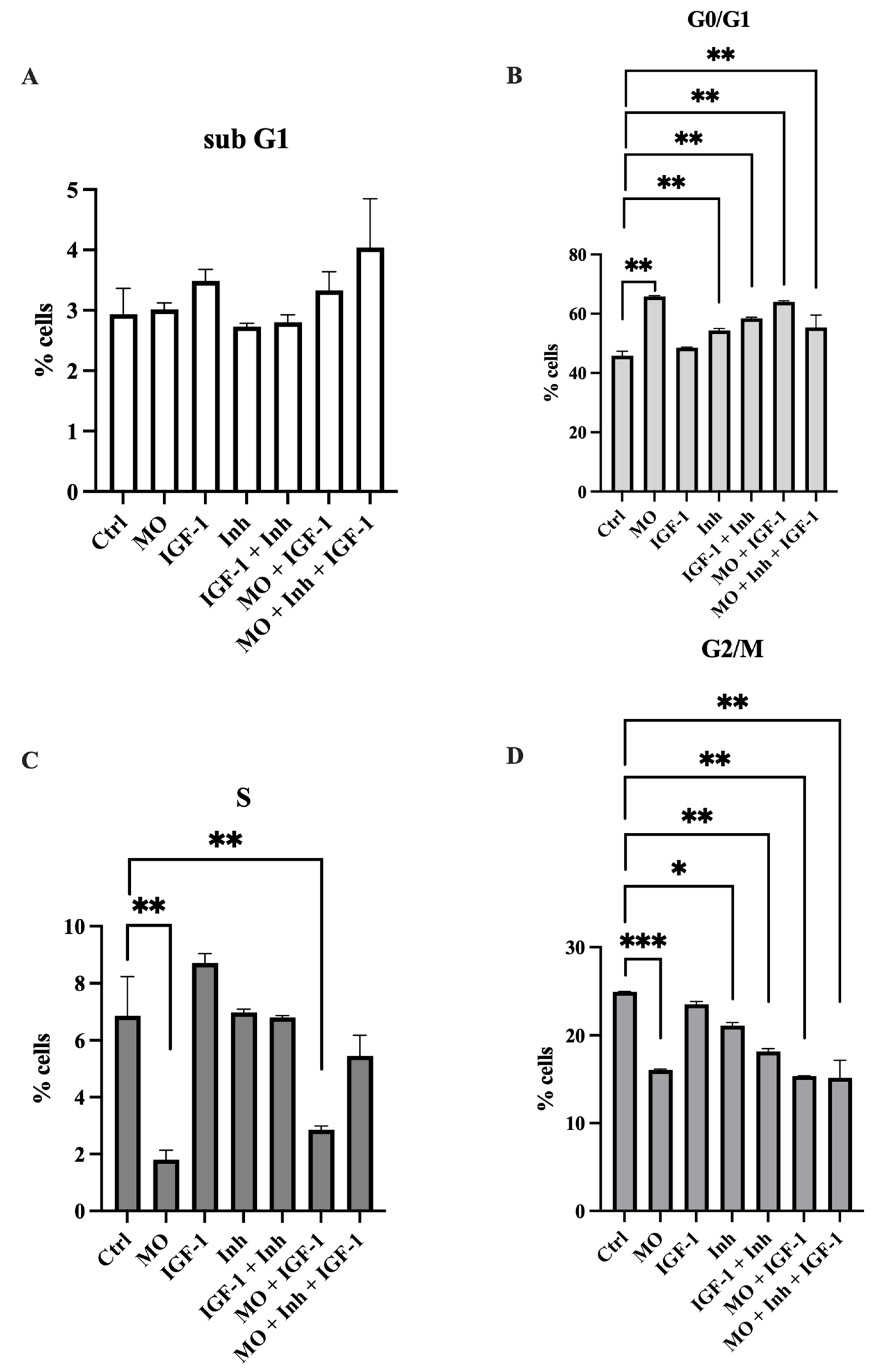
3.5. Effects of Moringa oleifera Alone and in Combination on PC3 Cell Cycle and Apoptosis
3.6. Real-Time Polymerase Chain Reaction Analysis
3.6.1. Expression of IGF-1 Receptor Gene
3.6.2. Expression of Integrins α2 and β1
3.6.3. Expression of Epithelial-Mesenchymal Transition (EMT) Markers
3.6.4. Expression of c-Myc Oncogene
3.6.5. Remodeling of Extracellular Matrix (ECM)




3.6.6. Expression of Bone Phenotypic Genes
3.7. Western Blotting Analysis
24 h Treatment Analysis
4. Discussion
5. Conclusions
Supplementary Materials
Author Contributions
Funding
Institutional Review Board Statement
Informed Consent Statement
Data Availability Statement
Conflicts of Interest
References
- Siegel, R.L.; Miller, K.D.; Jemal, A. Cancer Statistics, 2020. CA Cancer J. Clin. 2020, 70, 7–30. [Google Scholar] [CrossRef]
- Kirby, M.; Hirst, C.; Crawford, E.D. Characterising the Castration-Resistant Prostate Cancer Population: A Systematic Review. Int. J. Clin. Pract. 2011, 65, 1180–1192. [Google Scholar] [CrossRef]
- Kaighn, M.E.; Narayan, K.S.; Ohnuki, Y.; Lechner, J.F.; Jones, L.W. Establishment and Characterization of a Human Prostatic Carcinoma Cell Line (PC-3). Investig. Urol. 1979, 17, 16–23. [Google Scholar] [PubMed]
- Tai, S.; Sun, Y.; Squires, J.M.; Zhang, H.; Oh, W.K.; Liang, C.Z.; Huang, J. PC3 Is a Cell Line Characteristic of Prostatic Small Cell Carcinoma. Prostate 2011, 71, 1668–1679. [Google Scholar] [CrossRef]
- Tilley, W.D.; Wilson, C.M.; Marcelli, M.; McPhaul, M.J. Androgen Receptor Gene Expression in Human Prostate Carcinoma Cell Lines. Cancer Res. 1990, 50, 5382–5386. [Google Scholar] [PubMed]
- Cham, J.; Venkateswaran, A.R.; Bhangoo, M. Targeting the PI3K-AKT-mTOR Pathway in Castration Resistant Prostate Cancer: A Review Article. Clin. Genitourin. Cancer 2021, 19, 563.e1–563.e7. [Google Scholar] [CrossRef]
- Kohno, M.; Pouysségur, J. Targeting the ERK Signaling Pathway in Cancer Therapy. Ann. Med. 2006, 38, 200–211. [Google Scholar] [CrossRef] [PubMed]
- Liu, Y.M.; Wu, A.D.; Chen, Y.; Ma, T.F.; Dong, B.Z.; She, Z.G.; Yi, M.L.; Mao, W.M. Gastrodin Inhibits Prostate Cancer Proliferation by Targeting Canonical Wnt/β-Catenin Signaling Pathway. Med. Oncol. 2023, 41, 32. [Google Scholar] [CrossRef] [PubMed]
- Wang, C.; Chen, Q.; Xu, H. Wnt/β-Catenin Signal Transduction Pathway in Prostate Cancer and Associated Drug Resistance. Discov. Oncol. 2021, 12, 40. [Google Scholar] [CrossRef] [PubMed]
- Clézardin, P.; Coleman, R.; Puppo, M.; Ottewell, P.; Bonnelye, E.; Paycha, F.; Confavreux, C.B.; Holen, I. Bone Metastasis: Mechanisms, Therapies, and Biomarkers. Physiol. Rev. 2021, 101, 797–855. [Google Scholar] [CrossRef]
- Anwar, F.; Latif, S.; Ashraf, M.; Gilani, A.H. Moringa oleifera: A Food Plant with Multiple Medicinal Uses. Phytother. Res. 2007, 21, 17–25. [Google Scholar] [CrossRef]
- Gopalakrishnan, L.; Doriya, K.; Kumar, D.S. Moringa oleifera: A Review on Nutritive Importance and Its Medicinal Application. Food Sci. Hum. Wellness 2016, 5, 49–56. [Google Scholar] [CrossRef]
- Moura, M.C.; Napoleão, T.H.; Coriolano, M.C.; Paiva, P.M.; Figueiredo, R.C.; Coelho, L.C. Water-Soluble Moringa oleifera Lectin Interferes with Growth, Survival and Cell Permeability of Pathogenic Bacteria. J. Appl. Microbiol. 2015, 119, 666–676. [Google Scholar] [CrossRef] [PubMed]
- Moura, M.C.; Trentin, D.S.; Napoleão, T.H.; Primon-Barros, M.; Xavier, A.S.; Carneiro, N.P.; Paiva, P.M.G.; Macedo, A.J.; Coelho, L.C.B.B. Multi-Effect of the Water-Soluble Moringa oleifera Lectin Against Serratia marcescens and Bacillus sp.: Antibacterial, Antibiofilm and Anti-Adhesive Properties. J. Appl. Microbiol. 2017, 123, 861–874. [Google Scholar] [CrossRef] [PubMed]
- Mohd Sahardi, N.F.N.; Makpol, S. Suppression of Inflamm-Aging by Moringa oleifera and Zingiber officinale Roscoe in the Prevention of Degenerative Diseases: Evidence Review. Molecules 2023, 28, 5867. [Google Scholar] [CrossRef] [PubMed]
- Al-Asmari, A.K.; Albalawi, S.M.; Athar, M.T.; Khan, A.Q.; Al-Shahrani, H.; Islam, M. Moringa oleifera as an Anti-Cancer Agent Against Breast and Colorectal Cancer Cell Lines. PLoS ONE 2015, 10, e0135814. [Google Scholar] [CrossRef]
- Antonini, E.; Iori, R.; Ninfali, P.; Scarpa, E.S. Combination of Moringin and Avenanthramide 2f Inhibits Hep3B Cancer Cells via Apoptosis. Nutr. Cancer 2018, 70, 1159–1165. [Google Scholar] [CrossRef]
- Pareek, A.; Pant, M.; Gupta, M.M.; Kashania, P.; Ratan, Y.; Jain, V.; Pareek, A.; Chuturgoon, A.A. Moringa oleifera: An Updated Comprehensive Review. Int. J. Mol. Sci. 2023, 24, 2098. [Google Scholar] [CrossRef]
- Shahbaz, M.; Naeem, H.; Batool, M.; Imran, M.; Hussain, M.; Mujtaba, A.; Alsagaby, S.A.; Al Abdulmonem, W.; El-Ghorab, A.H.; Ghoneim, M.M.; et al. Antioxidant, Anticancer, and Anti-Inflammatory Potential of Moringa Seed and Oil. Food Sci. Nutr. 2024, 12, 6157–6173. [Google Scholar] [CrossRef]
- Abd Karim, N.A.; Adam, A.H.B.; Jaafaru, M.S.; Rukayadi, Y.; Abdull Razis, A.F. Apoptotic Potential of GMG-ITC from Moringa oleifera Seeds on PC-3 Cells. Molecules 2023, 28, 3214. [Google Scholar] [CrossRef]
- Jung, I.L. Soluble Extract from Moringa oleifera Leaves with New Anticancer Activity. PLoS ONE 2014, 9, e000000. [Google Scholar] [CrossRef]
- Khan, F.; Pandey, P.; Ahmad, V.; Upadhyay, T.K. Moringa Methanolic Extract Induces Apoptosis and G0/G1 Arrest in PC3. J. Food Biochem. 2020, 44, e13338. [Google Scholar] [CrossRef]
- Xie, J.; Luo, F.-X.; Shi, C.-Y.; Jiang, W.-W.; Qian, Y.-Y.; Yang, M.-R.; Song, S.; Dai, T.-Y.; Peng, L.; Gao, X.-Y.; et al. Moringa oleifera Alkaloids Inhibit PC3 Growth and Migration via Wnt/β-Catenin/COX-2. Front. Pharmacol. 2020, 11, 523962, Erratum in Front Pharmacol. 2021, 12, 760933. https://doi.org/10.3389/fphar.2021.760933. [Google Scholar] [CrossRef]
- Adzavon, Y.M.; Culig, Z.; Sun, Z. Interactions Between Androgen and IGF1 Axes in Prostate Tumorigenesis. Nat. Rev. Urol. 2025, 22, 268–275. [Google Scholar] [CrossRef]
- Song, W.H.; Kim, J.-E.; Rajbongshi, L.; Lee, S.-R.; Kim, Y.; Hwang, S.Y.; Oh, S.-O.; Kim, B.S.; Lee, D.; Yoon, S. Polydopamine-Coated Surfaces Promote Adhesion, Migration, Proliferation, Chemoresistance, Stemness, and Epithelial–Mesenchymal Transition of Human Prostate Cancer Cell Lines In Vitro via Integrin α2β1–FAK–JNK Signaling. Int. J. Mol. Sci. 2026, 27, 655. [Google Scholar] [CrossRef]
- Medina-González, A.; Eiró-Díaz, N.; Fernández-Gómez, J.M.; Ovidio-González, L.; Jalón-Monzón, A.; Casas-Nebra, J.; Escaf-Barmadah, S. Comparative analysis of the expression of metalloproteases (MMP-2, MMP-9, MMP-11 and MMP-13) and the tissue inhibitor of metalloprotease 3 (TIMP-3) between previous negative biopsies and radical prostatectomies. Actas Urol. Esp. (Engl. Ed.) 2020, 44, 78–85. [Google Scholar] [CrossRef]
- Kalantari, E.; Abolhasani, M.; Roudi, R.; Farajollahi, M.M.; Farhad, S.; Madjd, Z.; Askarian-Amiri, S.; Mohsenzadegan, M. Co-expression of TLR-9 and MMP-13 is associated with the degree of tumour differentiation in prostate cancer. Int. J. Exp. Pathol. 2019, 100, 123–132. [Google Scholar] [CrossRef]
- Reel, B.; Korkmaz, C.G.; Arun, M.Z.; Yildirim, G.; Ogut, D.; Kaymak, A.; Micili, S.C.; Ergur, B.U. The Regulation of Matrix Metalloproteinase Expression and the Role of Discoidin Domain Receptor 1/2 Signalling in Zoledronate-treated PC3 Cells. J. Cancer 2015, 6, 1020–1029. [Google Scholar] [CrossRef] [PubMed]
- Liu, G.; Zhu, M.; Zhang, M.; Pan, F. Emerging Role of IGF-1 in Prostate Cancer: A Biomarker and Target. Cancers 2023, 15, 1287. [Google Scholar] [CrossRef] [PubMed]
- Vongsak, B.; Sithisarn, P.; Mangmool, S.; Thongpraditchote, S.; Wongkrajang, Y.; Gritsanapan, W. Maximizing Total Phenolics, Total Flavonoids Contents and Antioxidant Activity of Moringa oleifera Leaf Extract by the Appropriate Extraction Method. Ind. Crops Prod. 2013, 44, 566–571. [Google Scholar] [CrossRef]
- Fregonese, M.; Albino, A.; Covino, C.; Gili, A.; Bacci, M.; Nicoletti, A.; Gambelunghe, C. Drug Checking as Strategy for Harm Reduction in Recreational Contests: Evaluation of Two Different Drug Analysis Methodologies. Front Psychiatry 2021, 12, 596895. [Google Scholar] [CrossRef] [PubMed]
- Vang Mouritzen, M.; Jenssen, H. Optimized Scratch Assay for In Vitro Testing of Cell Migration with an Automated Optical Camera. J. Vis. Exp. 2018, 138, 57691. [Google Scholar] [CrossRef]
- Mancuso, F.; Arato, I.; Bellucci, C.; Lilli, C.; Eugeni, E.; Aglietti, M.C.; Stabile, A.M.; Pistilli, A.; Brancorsini, S.; Gaggia, F.; et al. Zinc restores functionality in porcine prepubertal Sertoli cells exposed to subtoxic cadmium concentration via regulating the Nrf2 signaling pathway. Front. Endocrinol. 2023, 14, 962519. [Google Scholar] [CrossRef]
- Baroni, T.; Lilli, C.; Bellucci, C.; Luca, G.; Mancuso, F.; Fallarino, F.; Falabella, G.; Arato, I.; Calvitti, M.; Marinucci, L.; et al. In vitro cadmium effects on ECM gene expression in human bronchial epithelial cells. Cytokine 2015, 72, 9–16. [Google Scholar] [CrossRef] [PubMed]
- Cannarella, R.; Mancuso, F.; Condorelli, R.A.; Arato, I.; Mongioì, L.M.; Giacone, F.; Lilli, C.; Bellucci, C.; La Vignera, S.; Calafiore, R.; et al. Effects of GH and IGF1 on Basal and FSH-Modulated Porcine Sertoli Cells In-Vitro. J. Clin. Med. 2019, 8, 811. [Google Scholar] [CrossRef] [PubMed]
- Arato, I.; Giovagnoli, S.; Roscini, L.; Calvitti, M.; Bellucci, C.; Lilli, C.; Eugeni, E.; Brancorsini, S.; Cardinali, G.; Luca, G.; et al. Exploring Sertoli Cells’ Innate Bulwark Role Against Infections: In Vitro Performances on Candida tropicalis Biofilms. Cells 2025, 14, 495. [Google Scholar] [CrossRef]
- Lappano, R.; Sebastiani, A.; Cirillo, F.; Rigiracciolo, D.C.; Galli, G.R.; Curcio, R.; Malaguarnera, R.; Belfiore, A.; Cappello, A.R.; Maggiolini, M. The Lauric Acid-Activated Signaling Prompts Apoptosis in Cancer Cells. Cell Death Discov. 2017, 3, 17063. [Google Scholar] [CrossRef]
- Dailey, O.D., Jr.; Wang, X.; Chen, F.; Huang, G. Anticancer Activity of Oleic-Acid Derivatives. Anticancer Res. 2011, 31, 3165–3169. [Google Scholar] [PubMed]
- Niu, L.; Li, W.; Chen, X.; Su, X.; Dong, J.; Liao, Q.; Zhou, X.; Shi, S.; Sun, R. 1-Monopalmitin Promotes Apoptosis Through PI3K/Akt. Environ. Toxicol. 2023, 38, 2621–2631. [Google Scholar] [CrossRef]
- Guo, W.; Giancotti, F.G. Integrin Signalling During Tumour Progression. Nat. Rev. Mol. Cell Biol. 2004, 5, 816–826. [Google Scholar] [CrossRef]
- Gurel, B.; Iwata, T.; Koh, C.M.; Jenkins, R.B.; Lan, F.; van Dang, C.; Hicks, J.L.; Morgan, J.; Cornish, T.C.; Sutcliffe, S.; et al. Nuclear MYC Protein Overexpression is an early alteration in human Prostate Carcinogenesis. Mod. Pathol. 2008, 21, 1156–1167. [Google Scholar] [CrossRef]
- Khan, M.Z.; Zugaza, J.L.; Torres Aleman, I. The Signaling Landscape of IGF-1. J. Biol. Chem. 2025, 301, 108047. [Google Scholar] [CrossRef] [PubMed]
- Ma, Q.L.; Yang, T.L.; Yin, J.Y.; Peng, Z.Y.; Yu, M.; Liu, Z.Q.; Chen, F.P. Role of IGF-1 in Cell Cycle Progression. Biochem. Biophys. Res. Commun. 2009, 389, 150–155. [Google Scholar] [CrossRef]
- Wang, Z. Cell Cycle Progression and Synchronization: An Overview. In Methods in Molecular Biology; Humana: New York, NY, USA, 2022. [Google Scholar] [CrossRef]
- Zumsteg, A.; Caviezel, C.; Pisarsky, L.; Strittmatter, K.; García-Echeverría, C.; Hofmann, F.; Christofori, G. Repression of Malignant Tumor Progression upon Pharmacologic IGF1R Blockade in a Mouse Model of Insulinoma. Mol. Cancer Res. 2012, 10, 800–809. [Google Scholar] [CrossRef]
- Elmore, S. Apoptosis: A Review of Programmed Cell Death. Toxicol. Pathol. 2007, 35, 495–516. [Google Scholar] [CrossRef]
- Martinucci, B.; Cucielo, M.S.; Minatel, B.C.; Cury, S.S.; Caxali, G.H.; Aal, M.C.E.; Felisbino, S.L.; Pinhal, D.; Carvalho, R.F.; Delella, F.K. Fibronectin Modulates the Expression of miRNAs in Prostate Cancer Cell Lines. Front. Vet. Sci. 2022, 9, 879997. [Google Scholar] [CrossRef]
- Satelli, A.; Li, S. Vimentin in cancer and its potential as a molecular target for cancer therapy. Cell. Mol. Life Sci. 2011, 68, 3033–3046. [Google Scholar] [CrossRef]
- Cao, Z.Q.; Wang, Z.; Leng, P. Aberrant N-cadherin expression in cancer. Biomed Pharmacother. 2019, 118, 109320. [Google Scholar] [CrossRef] [PubMed]
- Mansor, R.; Holly, J.; Barker, R.; Biernacka, K.; Zielinska, H.; Koupparis, A.; Rowe, E.; Oxley, J.; Sewell, A.; Martin, R.M.; et al. IGF-1 and Hyperglycaemia-induced FOXA1 and IGFBP-2 affect epithelial to mesenchymal transition in Prostate epithelial Cells. Oncotarget 2020, 11, 2543–2559. [Google Scholar] [CrossRef]
- Osanai, M.; Murata, M.; Nishikiori, N.; Chiba, H.; Kojima, T.; Sawada, N. Epigenetic Silencing of Occludin Promotes Tumorigenic and Metastatic Properties. Cancer Res. 2006, 66, 9125–9133. [Google Scholar] [CrossRef] [PubMed]
- Yang, C.; Liu, Y.; Hu, Y.; Fang, L.; Huang, Z.; Cui, H.; Xie, J.; Hong, Y.; Chen, W.; Xiao, N.; et al. Myc Inhibition Tips the immune balance to Promote Antitumor Immunity. Cell Mol. Immunol. 2022, 19, 1030–1041. [Google Scholar] [CrossRef] [PubMed]
- Mijanović, O.; Branković, A.; Panin, A.N.; Savchuk, S.; Timashev, P.; Ulasov, I.; Lesniak, M. Cathepsin B: A Sellsword of Cancer Progression. Cancer Lett. 2019, 449, 207–214. [Google Scholar] [CrossRef] [PubMed]
- Li, S.; Pritchard, D.M.; Yu, L.-G. MMP-13 in Cancer Progression. Cancers 2022, 14, 3263. [Google Scholar] [CrossRef]
- Rivenbark, A.G.; Coleman, W.B. Epigenetic regulation of cystatins in cancer. Front. Biosci. (Landmark Ed.) 2009, 14, 453–462. [Google Scholar] [CrossRef]
- Gardner, T.A.; Lee, S.J.; Lee, S.D.; Li, X.; Shirakawa, T.; Kwon, D.D.; Park, R.Y.; Ahn, K.Y.; Jung, C. Differential Expression of Osteocalcin During Metastatic Progression. Oncol. Rep. 2009, 21, 903–908. [Google Scholar] [CrossRef] [PubMed][Green Version]
- Rodríguez-Berriguete, G.; Fraile, B.; Martínez-Onsurbe, P.; Olmedilla, G.; Paniagua, R.; Royuela, M. MAP Kinases and Prostate Cancer. J. Signal Transduct. 2012, 2012, 169170. [Google Scholar] [CrossRef] [PubMed] [PubMed Central]
- Shorning, B.Y.; Dass, M.S.; Smalley, M.J.; Pearson, H.B. The PI3K-AKT-mTOR Pathway and Prostate Cancer: At the Crossroads of AR, MAPK, and WNT Signaling. Int. J. Mol. Sci. 2020, 21, 4507. [Google Scholar] [CrossRef]
- Glaviano, A.; Foo, A.S.C.; Lam, H.Y.; Yap, K.C.H.; Jacot, W.; Jones, R.H.; Eng, H.; Nair, M.G.; Makvandi, P.; Geoerger, B.; et al. PI3K/AKT/mTOR Signaling Transduction Pathway and Targeted Therapies in Cancer. Mol. Cancer 2023, 22, 138. [Google Scholar] [CrossRef]
- Ayala, G.; Thompson, T.; Yang, G.; Frolov, A.; Li, R.; Scardino, P.; Ohori, M.; Wheeler, T.; Harper, W. High Levels of Phosphorylated Form of Akt-1 in Prostate Cancer and Non-Neoplastic Prostate Tissues Are Strong Predictors of Biochemical Recurrence. Clin. Cancer Res. 2004, 10, 6572–6578. [Google Scholar] [CrossRef]










| mRNA | Sequences (5′–3′) | Product (bp) | GenBank Accession No. |
|---|---|---|---|
| ALP | Fw: CCGTGGCAACTCTATCTTTGG Rv: GCCATACAGGATGGCAGTGA | 79 | NM_00478.6 |
| C-myc | Fw: GGCGAACACACAACGTCTTGGAG Rv: GCTCAGGACATTTCTGTTAGAAG | 298 | NM_002467.6 |
| Cathepsin B | Fw: CTACAGCGTCTCCAATAG Rv: GAAGTCCGAATACACAGA | 91 | L_16510.1 |
| Cystatin A | Fw: AAGGGGACCTACATGTTCTGG Rv: ATAGGGCAGGGCTAAAAAGG | 150 | NM_005213.4 |
| Cystatin B | Fw: GGGACAAACTACTTCATCAA Rv: GAGGGAGAGATTGGAACA | 76 | NM_000100.4 |
| Fibronectin | Fw: CGAGGAGAGTGGAAGTGTGAGAG Rv: GGGTGAGGCTGCGGTTGG | 108 | NM_212482.1 |
| IGF1R | Fw: CAAGCCTGAGCAAGATGATTC Rv: GAACTTATTGGCGTTGAGGTATG | 74 | NM_001845.4 |
| Integrin α2 | Fw: GTAGTTGACAACACAAAACAAACAA Rv: AAATAAAATTTTGTTGGAATGAAGC | 150 | NM_002203.3 |
| Integrin β1 | Fw: TGCCGGGTTTCACTTTGC; Rv: GTGACATTGTCCATCATTTGGTAAA | 70 | NM_033668.1 |
| MMP13 | Fw: TTCCCAGTGGTGGTGATGAA Rv: CATGGAGCTTGCTGCATTCT | 128 | NM_002427.2 |
| N-Cadherin | Fw: CATCATCATCCTGCTTATCCTTGT Rv: TTCTCCTCCACCTTCTTCATCA | 148 | M_34064.1 |
| Occludin | Fw: GCACCAAGCAATGACATA Rv: CAATAATGAGCATAGACAGGAT | 154 | U_49184.1 |
| Osteocalcin | Fw: AGCAAAGGTGCAGCCTTTGT Rv: GCGCCTGGGTCTCTTCACT | 63 | NM_199173.2 |
| Vimentin | Fw: GCTAACTACCAAGACACTATT Rv: TAGGTGGCAATCTCAATG | 134 | NM_003380.5 |
| β-actin | Fw: ACCTTCTACAATGAGCTGCG Rv: TCCATCACGATGCCAGTGGTA | 197 | NM_001101.3 |
Disclaimer/Publisher’s Note: The statements, opinions and data contained in all publications are solely those of the individual author(s) and contributor(s) and not of MDPI and/or the editor(s). MDPI and/or the editor(s) disclaim responsibility for any injury to people or property resulting from any ideas, methods, instructions or products referred to in the content. |
© 2026 by the authors. Licensee MDPI, Basel, Switzerland. This article is an open access article distributed under the terms and conditions of the Creative Commons Attribution (CC BY) license.
Share and Cite
Mancuso, F.; Lilli, C.; Bellucci, C.; Ceccarelli, V.; Stabile, A.; Gambelunghe, C.; Pugliese, L.; Cecchetti, M.; Luca, G.; Baroni, T. Antitumor Potential of Moringa oleifera Extract Against PC3 Prostate Cancer Cells Through IGF-1 Pathway Modulation. Sci 2026, 8, 55. https://doi.org/10.3390/sci8030055
Mancuso F, Lilli C, Bellucci C, Ceccarelli V, Stabile A, Gambelunghe C, Pugliese L, Cecchetti M, Luca G, Baroni T. Antitumor Potential of Moringa oleifera Extract Against PC3 Prostate Cancer Cells Through IGF-1 Pathway Modulation. Sci. 2026; 8(3):55. https://doi.org/10.3390/sci8030055
Chicago/Turabian StyleMancuso, Francesca, Cinzia Lilli, Catia Bellucci, Veronica Ceccarelli, Anna Stabile, Cristiana Gambelunghe, Ludovica Pugliese, Margherita Cecchetti, Giovanni Luca, and Tiziano Baroni. 2026. "Antitumor Potential of Moringa oleifera Extract Against PC3 Prostate Cancer Cells Through IGF-1 Pathway Modulation" Sci 8, no. 3: 55. https://doi.org/10.3390/sci8030055
APA StyleMancuso, F., Lilli, C., Bellucci, C., Ceccarelli, V., Stabile, A., Gambelunghe, C., Pugliese, L., Cecchetti, M., Luca, G., & Baroni, T. (2026). Antitumor Potential of Moringa oleifera Extract Against PC3 Prostate Cancer Cells Through IGF-1 Pathway Modulation. Sci, 8(3), 55. https://doi.org/10.3390/sci8030055

