Short-Term Biochemical Biomarkers of Stress in the Oyster Magallana angulata Exposed to Gymnodinium catenatum and Skeletonema marinoi
Abstract
1. Introduction
2. Materials and Methods
2.1. Oyster Collection and Maintenance:
2.2. Microalgae Production
2.3. Exposure to Bloom Tests
2.4. Physiologic Stress Biomarkers
2.4.1. Samples Treatment and Quantification of Total Protein
2.4.2. Determination of Enzyme Activities
2.4.3. Total Ubiquitin Quantification
2.5. Statistical Analysis
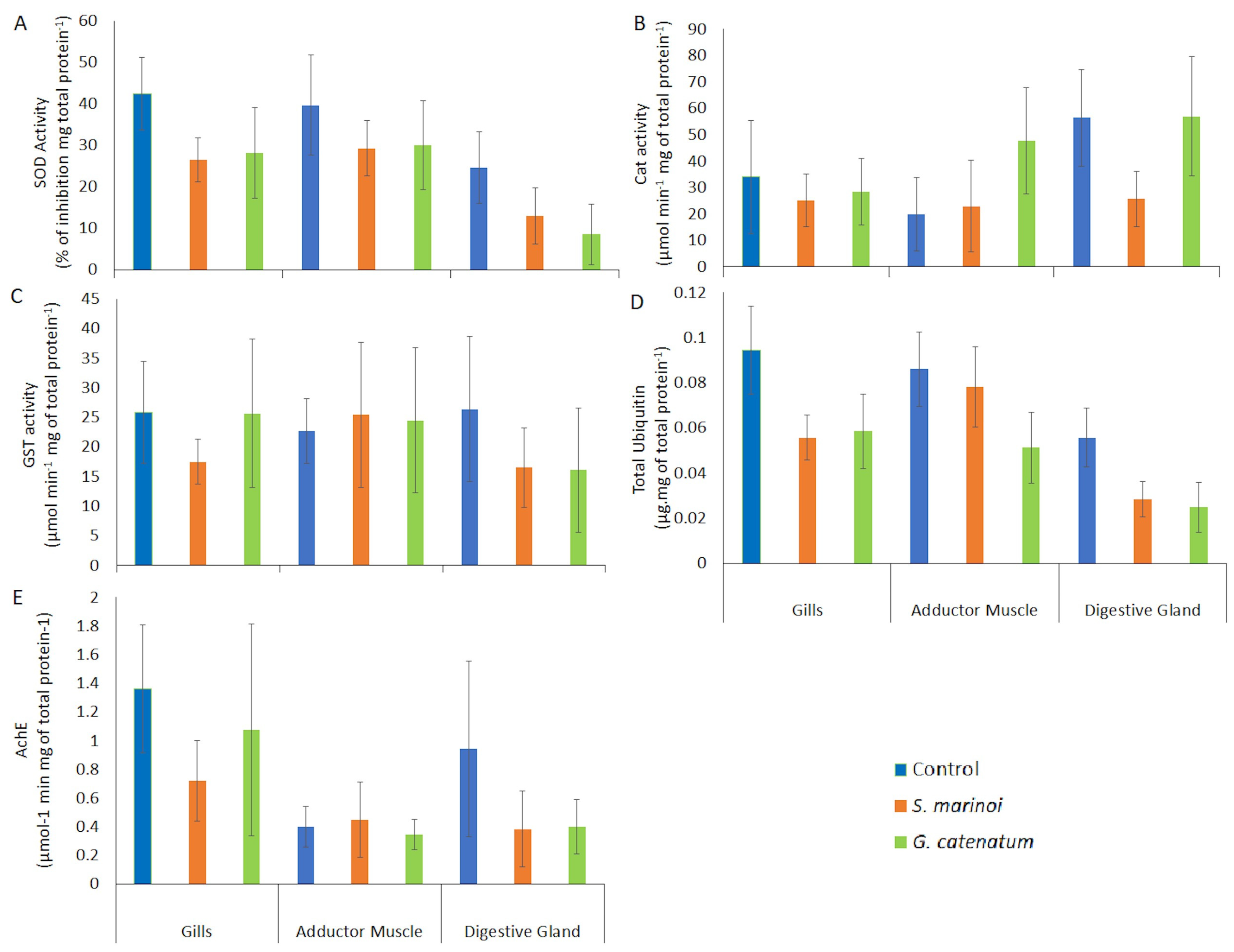
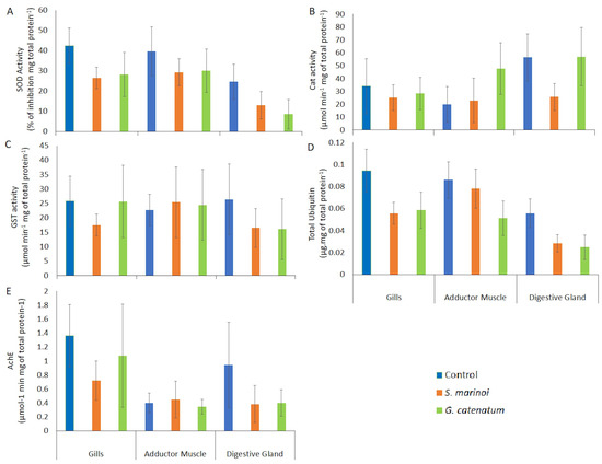
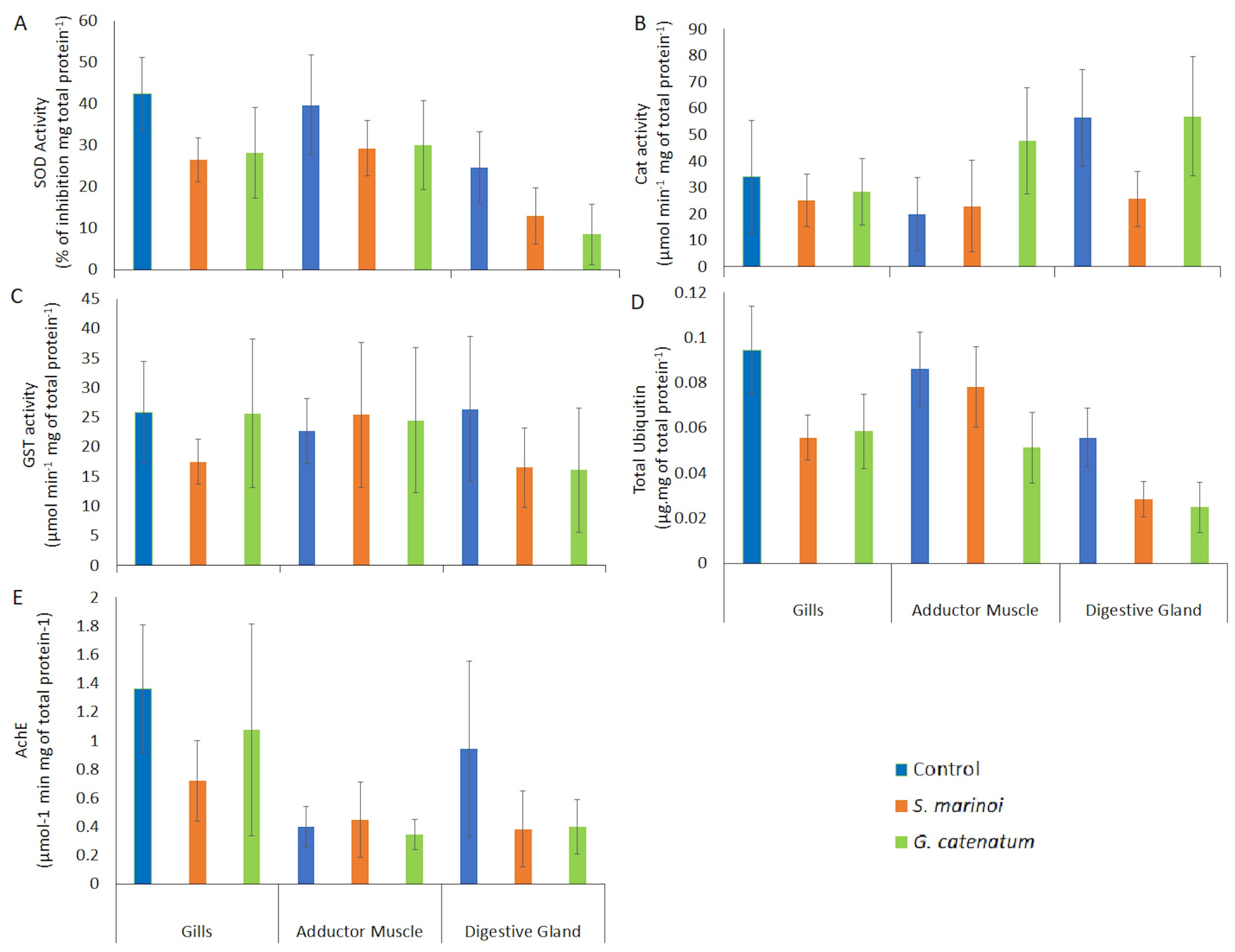
3. Results
4. Discussion
4.1. Comparison between Tissues
4.2. Comparison between Treatments
Supplementary Materials
Author Contributions
Funding
Institutional Review Board Statement
Informed Consent Statement
Data Availability Statement
Acknowledgments
Conflicts of Interest
References
- Deeds, J.; Landsberg, J.; Etheridge, S.; Pitcher, G.; Longan, S. Non-Traditional Vectors for Paralytic Shellfish Poisoning. Mar. Drugs 2008, 6, 308–348. [Google Scholar] [CrossRef] [PubMed]
- Nwankwegu, A.S.; Li, Y.; Huang, Y.; Wei, J.; Norgbey, E.; Sarpong, L.; Lai, Q.; Wang, K. Harmful algal blooms under changing climate and constantly increasing anthropogenic actions: The review of management implications. 3 Biotech 2019, 9, 449. [Google Scholar] [CrossRef] [PubMed]
- Hallegraeff, G.M.; Anderson, D.M.; Belin, C.; Bottein, M.Y.D.; Bresnan, E.; Chinain, M.; Enevoldsen, H.; Iwataki, M.; Karlson, B.; McKenzie, C.H.; et al. Perceived global increase in algal blooms is attributable to intensified monitoring and emerging bloom impacts. Commun. Earth Environ. 2021, 2, 117. [Google Scholar] [CrossRef] [PubMed]
- Watkins, S.; Reich, A.; Fleming, L.; Hammond, R. Neurotoxic Shellfish Poisoning. Mar. Drugs 2008, 6, 431–455. [Google Scholar] [CrossRef]
- Mons, M.P.; Van Egmond, H.P.; Speijers, G.J.A. Paralytic Shellfish Poisoning: A Review; National Institute of Public Health and the Environment: Bilthoven, The Netherlands, 1998. [Google Scholar]
- Jeffery, B.; Barlow, T.; Moizer, K.; Paul, S.; Boyle, C. Amnesic shellfish poison. Food Chem. Toxicol. 2004, 42, 545–557. [Google Scholar] [CrossRef]
- Fernández, R.; Mamán, L.; Jaén, D.; Fuentes, L.F.; Ocaña, M.A.; Gordillo, M.M. Dinophysis Species and Diarrhetic Shellfish Toxins: 20 Years of Monitoring Program in Andalusia, South of Spain. Toxins 2019, 11, 189. [Google Scholar] [CrossRef]
- Estrada, N.; de Jesús Romero, M.; Campa-Córdova, A.; Luna, A.; Ascencio, F. Effects of the toxic dinoflagellate, Gymnodinium catenatum on hydrolytic and antioxidant enzymes, in tissues of the giant lions-paw scallop Nodipecten subnodosus. Comp. Biochem. Physiol. Part C Toxicol. Pharmacol. 2007, 146, 502–510. [Google Scholar] [CrossRef]
- Band-Schmidt, C.J.; Bustillos-Guzmán, J.J.; López-Cortés, D.J.; Gárate-Lizárraga, I.; Núñez-Vázquez, E.J.; Hernández-Sandoval, F.E. Ecological and Physiological Studies of Gymnodinium catenatum in the Mexican Pacific: A Review. Mar. Drugs 2010, 8, 1935–1961. [Google Scholar] [CrossRef]
- Danchenko, S.; Fragoso, B.; Guillebault, D.; Icely, J.; Berzano, M.; Newton, A. Harmful phytoplankton diversity and dynamics in an upwelling region (Sagres, SW Portugal) revealed by ribosomal RNA microarray combined with microscopy. Harmful Algae 2019, 82, 52–71. [Google Scholar] [CrossRef]
- Sunesen, I.; Méndez, S.M.; Mancera-Pineda, J.E.; Bottein, M.-Y.D.; Enevoldsen, H. The Latin America and Caribbean HAB status report based on OBIS and HAEDAT maps and databases. Harmful Algae 2021, 102, 101920. [Google Scholar] [CrossRef]
- Sarkis, S. Installation and Operation of a Modular Bivalve Hatchery; no. 492; Food & Agriculture Org: Rome, Italy, 2007. [Google Scholar]
- Liu, M.; Gu, H.; Krock, B.; Luo, Z.; Zhang, Y. Toxic dinoflagellate blooms of Gymnodinium catenatum and their cysts in Taiwan Strait and their relationship to global populations. Harmful Algae 2020, 97, 101868. [Google Scholar] [CrossRef]
- Zhang, C.; Lim, P.; Li, X.; Gu, H.; Li, X.; Anderson, D.M. Wind-driven development and transport of Gymnodinium catenatum blooms along the coast of Fujian, China. Reg. Stud. Mar. Sci. 2020, 39, 101397. [Google Scholar] [CrossRef]
- Castañeda-Quezada, R.; García-Mendoza, E.; Ramírez-Mendoza, R.; Helenes, J.; Rivas, D.; Romo-Curiel, A.E.; Lago-Lestón, A. Distribution of Gymnodinium catenatum Graham cysts and its relation to harmful algae blooms in the northern Gulf of California. J. Mar. Biol. Assoc. United Kingd. 2021, 101, 895–909. [Google Scholar] [CrossRef]
- Pazos, Y.; Barton, E.D.; Mouriño, J.; Torres-Palenzuela, J.M. Alexandrium minutum and Gymnodinium catenatum Bloom Dynamic in the Galician Rías. 19th International Conference on Harmful Algae Book of Sbstracts, La Paz, Mexico. 2021. Available online: https://issha.org/wp-content/uploads/2022/01/ICHA2021_Abstracts-10-oct.pdf (accessed on 12 June 2023).
- Botelho, M.J.; Vale, C.; Ferreira, J.G. Seasonal and multi-annual trends of bivalve toxicity by PSTs in Portuguese marine waters. Sci. Total Environ. 2019, 664, 1095–1106. [Google Scholar] [CrossRef]
- Morrison, J.A.; Gamble, J.C.; Napier, I.R. Mass mortality of herring eggs associated with a sedimenting diatom bloom. ICES J. Mar. Sci. 1991, 48, 237–245. [Google Scholar] [CrossRef]
- Esenkulova, S.; Neville, C.; DiCicco, E.; Pearsall, I. Indications that algal blooms may affect wild salmon in a similar way as farmed salmon. Harmful Algae 2022, 118, 102310. [Google Scholar] [CrossRef]
- Vidoudez, C.; Nejstgaard, J.C.; Jakobsen, H.H.; Pohnert, G. Dynamics of Dissolved and Particulate Polyunsaturated Aldehydes in Mesocosms Inoculated with Different Densities of the Diatom Skeletonema marinoi. Mar. Drugs 2011, 9, 345–358. [Google Scholar] [CrossRef]
- Ianora, A.; Miralto, A.; Poulet, S.A. Are diatoms good or toxic for copepods? Reply to comment by Jónasdóttir et al. Mar. Ecol. Prog. Ser. 1999, 177, 305–308. [Google Scholar] [CrossRef]
- Romano, G.; Costantini, M.; Buttino, I.; Ianora, A.; Palumbo, A. Nitric Oxide Mediates the Stress Response Induced by Diatom Aldehydes in the Sea Urchin Paracentrotus lividus. PLoS ONE 2011, 6, e25980. [Google Scholar] [CrossRef]
- Tosti, E.; Romano, G.; Buttino, I.; Cuomo, A.; Ianora, A.; Miralto, A. Bioactive aldehydes from diatoms block the fertilization current in ascidian oocytes. Mol. Reprod. Dev. 2003, 66, 72–80. [Google Scholar] [CrossRef]
- Caldwell, G.S.; Olive, P.J.W.; Bentley, M.G. Inhibition of embryonic development and fertilization in broadcast spawning marine invertebrates by water soluble diatom extracts and the diatom toxin 2-trans,4-trans decadienal. Aquat. Toxicol. 2002, 60, 123–137. [Google Scholar] [CrossRef] [PubMed]
- Caldwell, G.S.; Lewis, C.; Pickavance, G.; Taylor, R.L.; Bentley, M.G. Exposure to copper and a cytotoxic polyunsaturated aldehyde induces reproductive failure in the marine polychaete Nereis virens (Sars). Aquat. Toxicol. 2011, 104, 126–134. [Google Scholar] [CrossRef] [PubMed]
- Guéguen, M.; Bardouil, M.; Baron, R.; Lassus, P.; Truquet, P.; Massardier, J.; Amzil, Z. Detoxification of Pacific oyster Crassostrea gigas fed on diets of Skeletonema costatum with and without silt, following PSP contamination by Alexandrium minutum. Aquat. Living Resour. 2008, 21, 13–20. [Google Scholar] [CrossRef]
- Atli, G.; Alptekin, Ö.; Tükel, S.; Canli, M. Response of catalase activity to Ag+, Cd2+, Cr6+, Cu2+ and Zn2+ in five tissues of freshwater fish Oreochromis niloticus. Comp. Biochem. Physiol. Part C Toxicol. Pharmacol. 2006, 143, 218–224. [Google Scholar] [CrossRef]
- Cereja, R.; Mendonça, V.; Dias, M.; Vinagre, C.; Gil, F.; Diniz, M. Physiological effects of cymothoid parasitization in the fish host Pomatoschistus microps (Krøyer, 1838) under increasing ocean temperatures. Ecol. Indic. 2018, 95, 176–182. [Google Scholar] [CrossRef]
- Vinagre, C.; Madeira, D.; Narciso, L.; Cabral, H.N.; Diniz, M. Effect of temperature on oxidative stress in fish: Lipid peroxidation and catalase activity in the muscle of juvenile seabass, Dicentrarchus labrax. Ecol. Indic. 2012, 23, 274–279. [Google Scholar] [CrossRef]
- Dias, M.; Madeira, C.; Jogee, N.; Ferreira, A.; Gouveia, R.; Cabral, H.; Diniz, M.; Vinagre, C. Oxidative stress on scleractinian coral fragments following exposure to high temperature and low salinity. Ecol. Indic. 2019, 107, 105586. [Google Scholar] [CrossRef]
- Cao, R.; Wang, D.; Wei, Q.; Wang, Q.; Yang, D.; Liu, H.; Dong, Z.; Zhang, X.; Zhang, Q.; Zhao, J. Integrative Biomarker Assessment of the Influence of Saxitoxin on Marine Bivalves: A Comparative Study of the Two Bivalve Species Oysters, Crassostrea gigas, and Scallops, Chlamys farreri. Front. Physiol. 2018, 9, 1173. [Google Scholar] [CrossRef]
- Madeira, D.; Mendonça, V.; Dias, M.; Roma, J.; Costa, P.M.; Larguinho, M.; Vinagre, C.; Diniz, M.S. Physiological, cellular and biochemical thermal stress response of intertidal shrimps with different vertical distributions: Palaemon elegans and Palaemon serratus. Comp. Biochem. Physiol. A Mol. Integr. Physiol. 2015, 183, 107–115. [Google Scholar] [CrossRef]
- Madeira, C.; Madeira, D.; Diniz, M.S.; Cabral, H.N.; Vinagre, C. Thermal acclimation in clownfish: An integrated biomarker response and multi-tissue experimental approach. Ecol. Indic. 2016, 71, 280–292. [Google Scholar] [CrossRef]
- Liu, T.W. Determinação da Concentração de Chumbo, e Outros Elementos Traço, em Tecidos dos Peixes-Zebra (Danio rerio). Doctoral Dissertation, FCT-UNL, Caparica, Portugal, 2017. Available online: https://run.unl.pt/bitstream/10362/27628/1/Liu_2017.pdf (accessed on 12 June 2023).
- Rubin, L.L. Increases in muscle Ca2+ mediate changes in acetylcholinesterase and acetylcholine receptors caused by muscle contraction. Proc. Natl. Acad. Sci. USA 1985, 82, 7121–7125. [Google Scholar] [CrossRef]
- Guillard, R.R.L. Culture of Phytoplankton for Feeding Marine Invertebrates. In Culture of Marine Invertebrate Animals; Springer: Boston, MA, USA, 1975; pp. 29–60. [Google Scholar] [CrossRef]
- Santos, M.; Amorim, A.; Brotas, V.; Cruz, J.P.C.; Palma, C.; Borges, C.; Favareto, L.R.; Veloso, V.; Dâmaso-Rodrigues, M.L.; Chainho, P.; et al. Spatio-temporal dynamics of phytoplankton community in a well-mixed temperate estuary (Sado Estuary, Portugal). Sci. Rep. 2022, 12, 16423. [Google Scholar] [CrossRef]
- Bradford, M.M. A rapid and sensitive method for the quantitation of microgram quantities of protein utilizing the principle of protein-dye binding. Anal. Biochem. 1976, 72, 248–254. [Google Scholar] [CrossRef]
- Johansson, L.H.; Borg, L.A.H. A spectrophotometric method for determination of catalase activity in small tissue samples. Anal. Biochem. 1988, 174, 331–336. [Google Scholar] [CrossRef]
- Ferreira, I.J.; Meneses, L.; Paiva, A.; Diniz, M.; Duarte, A.R.C. Assessment of deep eutectic solvents toxicity in zebrafish (Danio rerio). Chemosphere 2022, 299, 134415. [Google Scholar] [CrossRef]
- Habig, W.H.; Pabst, M.J.; Fleischner, G.; Gatmaitan, Z.; Arias, I.M.; Jakoby, W.B. The Identity of Glutathione S -Transferase B with Ligandin, a Major Binding Protein of Liver. Proc. Natl. Acad. Sci. USA 1974, 71, 3879–3882. [Google Scholar] [CrossRef]
- Ellman, G.L.; Courtney, K.D.; Andres, V.; Featherstone, R.M. A new and rapid colorimetric determination of acetylcholinesterase activity. Biochem. Pharmacol. 1961, 7, 88–95. [Google Scholar] [CrossRef]
- Figueiredo, C.; Grilo, T.F.; Lopes, C.; Brito, P.; Diniz, M.; Caetano, M.; Rosa, R.; Raimundo, J. Accumulation, elimination and neuro-oxidative damage under lanthanum exposure in glass eels (Anguilla anguilla). Chemosphere 2018, 206, 414–423. [Google Scholar] [CrossRef]
- Madeira, C.; Madeira, D.; Diniz, M.S.; Cabral, H.N.; Vinagre, C. Comparing biomarker responses during thermal acclimation: A lethal vs non-lethal approach in a tropical reef clownfish. Comp. Biochem. Physiol. A Mol. Integr. Physiol. 2017, 204, 104–112. [Google Scholar] [CrossRef]
- Beliaeff, B.; Burgeot, T. Integrated biomarker response: A useful tool for ecological risk assessment. Environ. Toxicol. Chem. 2002, 21, 1316–1322. [Google Scholar] [CrossRef]
- Lompré, J.S.; Malanga, G.; Gil, M.N.; Giarratano, E. Multiple-Biomarker Approach in a Commercial Marine Scallop from San Jose gulf (Patagonia, Argentina) for Health Status Assessment. Arch. Environ. Contam. Toxicol. 2020, 78, 451–462. [Google Scholar] [CrossRef] [PubMed]
- Sheehan, D.; Power, A. Effects of seasonality on xenobiotic and antioxidant defence mechanisms of bivalve molluscs. Comp. Biochem. Physiol. C Pharmacol. Toxicol. Endocrinol. 1999, 123, 193–199. [Google Scholar] [CrossRef] [PubMed]
- Doyotte, A. Antioxidant enzymes, glutathione and lipid peroxidation as relevant biomarkers of experimental or field exposure in the gills and the digestive gland of the freshwater bivalve Unio tumidus. Aquat. Toxicol. 1997, 39, 93–110. [Google Scholar] [CrossRef]
- Faggio, C.; Tsarpali, V.; Dailianis, S. Mussel digestive gland as a model tissue for assessing xenobiotics: An overview. Sci. Total Environ. 2018, 636, 220–229. [Google Scholar] [CrossRef] [PubMed]
- Jørgensen, C. Bivalve filter feeding revisited. Mar. Ecol. Prog. Ser. 1996, 142, 287–302. [Google Scholar] [CrossRef]
- Freitas, R.; Marques, F.; De Marchi, L.; Vale, C.; Botelho, M.J. Biochemical performance of mussels, cockles and razor shells contaminated by paralytic shellfish toxins. Environ. Res. 2020, 188, 109846. [Google Scholar] [CrossRef]
- García-Lagunas, N.; Romero-Geraldo, R.; Hernández-Saavedra, N.Y. Genomics Study of the Exposure Effect of Gymnodinium catenatum, a Paralyzing Toxin Producer, on Crassostrea gigas’ Defense System and Detoxification Genes. PLoS ONE 2013, 8, e72323. [Google Scholar] [CrossRef]
- Fraser, K.P.P.; Rogers, A.D. Protein Metabolism in Marine Animals: The Underlying Mechanism of Growth. Adv. Mar. Biol. 2007, 52, 267–362. [Google Scholar] [CrossRef]
- Prego-Faraldo, M.V.; Vieira, L.R.; Eirin-Lopez, J.M.; Méndez, J.; Guilhermino, L. Transcriptional and biochemical analysis of antioxidant enzymes in the mussel Mytilus galloprovincialis during experimental exposures to the toxic dinoflagellate Prorocentrum lima. Mar. Environ. Res. 2017, 129, 304–315. [Google Scholar] [CrossRef]
- Ye, M.H.; Li, D.W.; Cai, Q.D.; Jiao, Y.H.; Liu, Y.; Li, H.Y.; Yang, W.D. Toxic Responses of Different Shellfish Species after Exposure to Prorocentrum lima, a DSP Toxins Producing Dinoflagellate. Toxins 2022, 14, 461. [Google Scholar] [CrossRef]
- Hasanuzzaman, M.; Fujita, M. Heavy Metals in the Environment. In Phytotechnologies: Remediation of Environmental Contaminants; CRC Press: Boca Raton, FL, USA, 2012; Volume 7. [Google Scholar]
- Escobar, M.T.L.; Sotto, L.P.A.; Jacinto, G.S.; Benico, G.A.; Azanza, R.V. Eutrophic conditions during the 2010 fish kill in Bolinao and Anda, Pangasinan, Philippines. J. Environ. Sci. Manag. 2013, 35. [Google Scholar]
- Whyte, J.N.C.; Davis, J.C.; Forbes, J.R. Harmful algae in Canadian waters and management strategies. Oceanogr. Lit. Rev. 1998, 7, 1234–1235. [Google Scholar]
- Kent, M.; Whyte, J.; LaTrace, C. Gill lesions and mortality in seawater pen-reared Atlantic salmon Salmo salar associated with a dense bloom of Skeletonema costatum and Thalassiosira species. Dis. Aquat. Organ. 1995, 22, 77–81. [Google Scholar] [CrossRef]
- Parry, G.D.; Langdon, J.S.; Huisman, J.M. Toxic effects of a bloom of the diatom Rhizosolenia chunii on shellfish in Port Phillip Bay, Southeastern Australia. Mar. Biol. 1989, 102, 25–41. [Google Scholar] [CrossRef]
- Adolph, S.; Bach, S.; Blondel, M.; Cueff, A.; Moreau, M.; Pohnert, G.; Poulet, S.A.; Wichard, T.; Zuccaro, A. Cytotoxicity of diatom-derived oxylipins in organisms belonging to different phyla. J. Exp. Biol. 2004, 207, 2935–2946. [Google Scholar] [CrossRef]



| Permanova | |||||||
| Source | df | SS | MS | Pseudo-F | P(perm) | perms | |
| Ti | 2 | 28.458 | 14.229 | 9.2848 | 0.0002 | 9954 | |
| Tr(Ti) | 6 | 22.951 | 3.8252 | 2.496 | 0.0095 | 9923 | |
| Res | 33 | 50.573 | 1.5325 | ||||
| Total | 41 | 105.7 | |||||
| Tissue pair-wise | Treatments (in Gills) pair-wise | ||||||
| Groups | t dist | p-value | Perm. | Groups | t dist | p-value | Perm. |
| G, AM | 1.7622 | 0.0368 | 9949 | C, Sm | 2.8061 | 0.0292 | 35 |
| G, DG | 3.0113 | 0.001 | 9951 | C, Gc | 2.1391 | 0.0268 | 35 |
| AM, DG | 4.1943 | 0.0001 | 9944 | Sm, Gc | 0.58656 | 0.7086 | 35 |
| Treatments (in Aduct. Muscle) pair-wise | Treatments (in Gills) pair-wise | ||||||
| Groups | t dist. | p-value | Perm. | Groups | t dist. | p-value | Perm. |
| C, Sm | 1.8645 | 0.1078 | 35 | C, Sm | 2.1445 | 0.0233 | 126 |
| C, Gc | 2.7035 | 0.0276 | 35 | C, Gc | 2.4114 | 0.0258 | 126 |
| Sm, Gc | 1.2911 | 0.1993 | 35 | Sm, Gc | 1.0555 | 0.3845 | 126 |
| Tissue | Control | S. marinoi | G. catenatum |
| Gills | 9.233542867 | 3.072234376 | 4.564557118 |
| Adductor Muscle | 6.169714874 | 5.521808521 | 5.230830722 |
| Digestive gland | 8.00191604 | 0.743542999 | 1.68210452 |
Disclaimer/Publisher’s Note: The statements, opinions and data contained in all publications are solely those of the individual author(s) and contributor(s) and not of MDPI and/or the editor(s). MDPI and/or the editor(s) disclaim responsibility for any injury to people or property resulting from any ideas, methods, instructions or products referred to in the content. |
© 2023 by the authors. Licensee MDPI, Basel, Switzerland. This article is an open access article distributed under the terms and conditions of the Creative Commons Attribution (CC BY) license (https://creativecommons.org/licenses/by/4.0/).
Share and Cite
Cereja, R.; Cruz, J.P.C.; Heumüller, J.; Vicente, B.; Amorim, A.; Carvalho, F.; Cabral, S.; Chainho, P.; Brito, A.C.; Ferreira, I.J.; et al. Short-Term Biochemical Biomarkers of Stress in the Oyster Magallana angulata Exposed to Gymnodinium catenatum and Skeletonema marinoi. Sci 2023, 5, 30. https://doi.org/10.3390/sci5030030
Cereja R, Cruz JPC, Heumüller J, Vicente B, Amorim A, Carvalho F, Cabral S, Chainho P, Brito AC, Ferreira IJ, et al. Short-Term Biochemical Biomarkers of Stress in the Oyster Magallana angulata Exposed to Gymnodinium catenatum and Skeletonema marinoi. Sci. 2023; 5(3):30. https://doi.org/10.3390/sci5030030
Chicago/Turabian StyleCereja, Rui, Joana P. C. Cruz, Joshua Heumüller, Bernardo Vicente, Ana Amorim, Frederico Carvalho, Sara Cabral, Paula Chainho, Ana C. Brito, Inês J. Ferreira, and et al. 2023. "Short-Term Biochemical Biomarkers of Stress in the Oyster Magallana angulata Exposed to Gymnodinium catenatum and Skeletonema marinoi" Sci 5, no. 3: 30. https://doi.org/10.3390/sci5030030
APA StyleCereja, R., Cruz, J. P. C., Heumüller, J., Vicente, B., Amorim, A., Carvalho, F., Cabral, S., Chainho, P., Brito, A. C., Ferreira, I. J., & Diniz, M. (2023). Short-Term Biochemical Biomarkers of Stress in the Oyster Magallana angulata Exposed to Gymnodinium catenatum and Skeletonema marinoi. Sci, 5(3), 30. https://doi.org/10.3390/sci5030030

