Trend Analysis of Temperature Data for the Narayani River Basin, Nepal
Abstract
1. Introduction
2. Study Area
3. Methods
3.1. Data
3.2. Basic Statistics
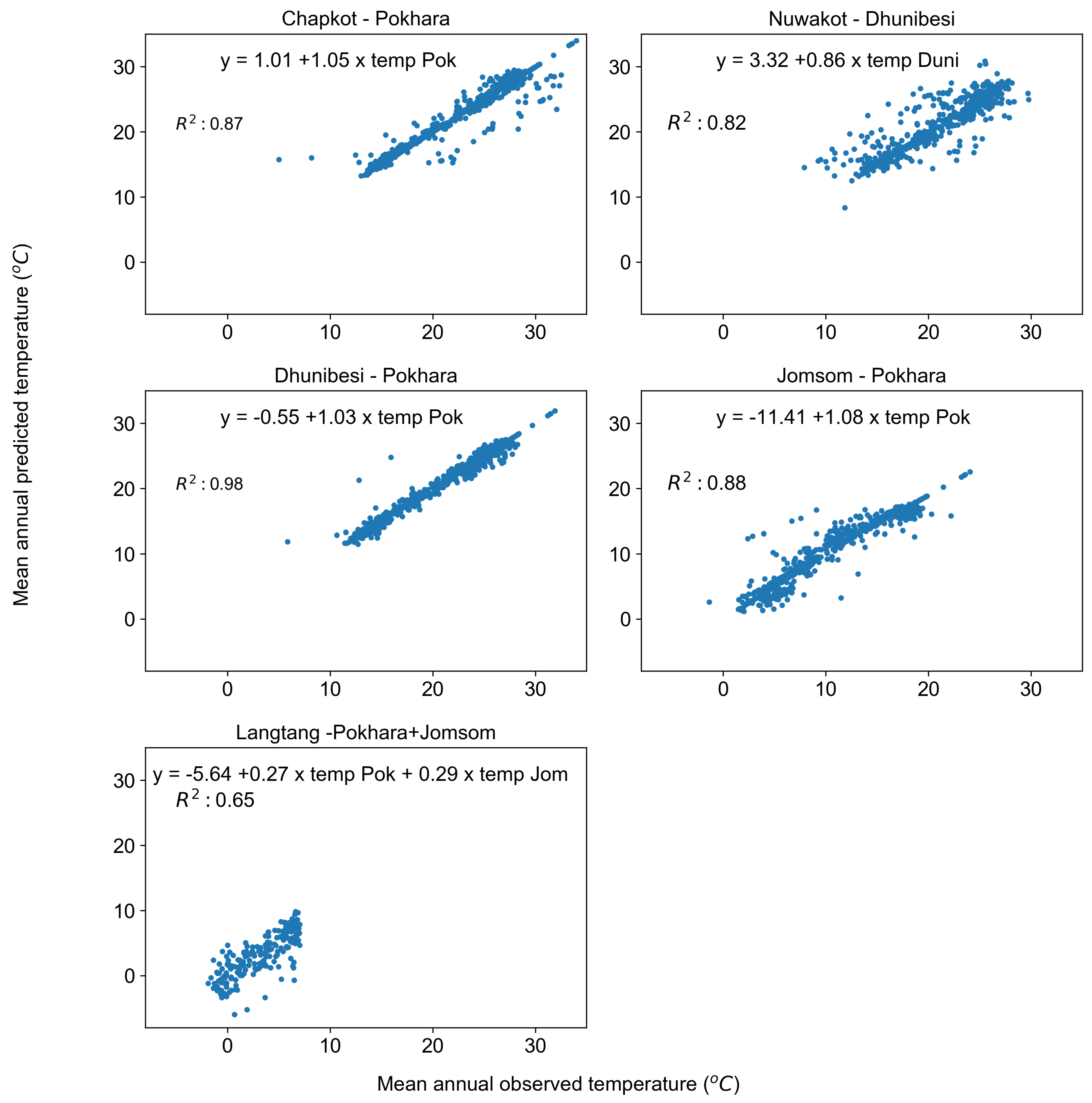
3.3. Quality Control and Data Fill
3.4. Trend Break Detection Methods
3.5. Seasonal and Annual Trend Analysis
3.6. Comparison of Station Data with Freely Available Global Climate Dataset
4. Results and Discussion
4.1. Trend Break Observation
4.2. Historical Observed Trend
4.3. Seasonal Trends
4.4. Temperature Gradients
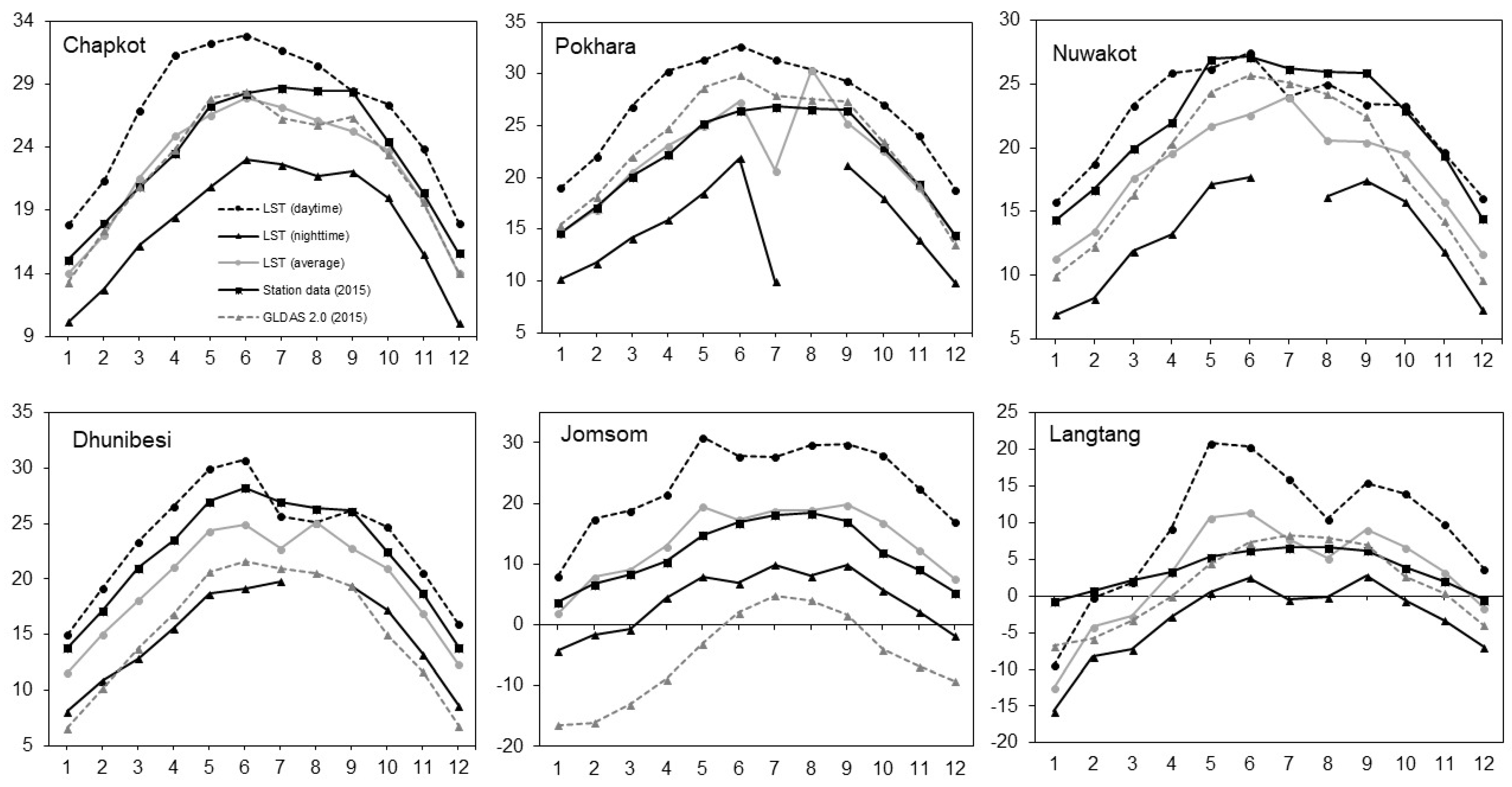
4.5. Comparison of Station Data with Freely Available Global Climate Dataset
5. Conclusions
- The mean annual temperature trend shows a trend break in the 1970s for most of the stations. After the 1970s, the mean temperature increased at a statistically significant rate in the majority of stations.
- The rate of increase in mean annual temperature ranges from 0.028 to 0.035 C year with a mean warming trend of 0.03 C year.
- The highest increase in annual mean temperature is recorded in the monsoon season, followed by the winter season, postmonsoon season and premonsoon season, respectively.
- The temperature lapse rate with altitude is 0.006 C m in the Narayani River basin with the steepest value in the premonsoon season.
- The lapse rates calculated here are useful for temperature prediction in the higher Himalayan region where observations are scarce.
Author Contributions
Funding
Acknowledgments
Conflicts of Interest
References
- Safari, B. Trend Analysis of the Mean Annual Temperature in Rwanda during the Last Fifty Two Years. J. Environ. Prot. 2012, 3, 538–551. [Google Scholar] [CrossRef]
- IPCC. Climate Change 2014: Synthesis Report. Contribution of Working Groups I, II and III to the Fifth Assessment Report of the Intergovernmental Panel on Climate Change; Technical Report; IPCC: Geneva, Switzerland, 2014.
- Hansen, J.; Ruedy, R.; Sato, M.; Lo, K. Global surface temperature change. Rev. Geophys. 2010, 48. [Google Scholar] [CrossRef]
- You, Q.; Kang, S.; Pepin, N.; Flügel, W.A.; Sanchez-Lorenzo, A.; Yan, Y.; Zhang, Y. Climate warming and associated changes in atmospheric circulation in the eastern and central Tibetan Plateau from a homogenized dataset. Glob. Planet Chang. 2010, 72, 11–24. [Google Scholar] [CrossRef]
- Yang, K.; Ye, B.; Zhou, D.; Wu, B.; Foken, T.; Qin, J.; Zhou, Z. Response of hydrological cycle to recent climate changes in the Tibetan Plateau. Clim. Chang. 2011, 109, 517–534. [Google Scholar] [CrossRef]
- Hamid, A.; Sharif, M.; Archer, D. Analysis of Temperature Trends in Sutluj River Basin, India. J. Earth Sci. Clim. Chang. 2014, 5, 222. [Google Scholar]
- Shrestha, A.B.; Wake, C.P.; Mayewski, P.A.; Dibb, J.E. Maximum Temperature Trends in the Himalaya and Its Vicinity: An Analysis Based on Temperature Records from Nepal for the Period 1971–1994. J. Clim. 1999, 12, 2775–2786. [Google Scholar] [CrossRef]
- Khatiwada, K.; Panthi, J.; Shrestha, M.; Nepal, S. Hydro-Climatic Variability in the Karnali River Basin of Nepal Himalaya. Climate 2016, 4, 17. [Google Scholar] [CrossRef]
- Kattel, D.B.; Yao, T. Recent temperature trends at mountain stations on the southern slope of the central Himalayas. J. Earth Syst. Sci. 2013, 122, 215–227. [Google Scholar] [CrossRef]
- Duan, A.; Xiao, Z. Does the climate warming hiatus exist over the Tibetan Plateau? Sci. Rep. 2015, 5, 13711. [Google Scholar] [CrossRef]
- Bajracharya, S.R.; Maharjan, S.B.; Shrestha, F.; Guo, W.; Liu, S.; Immerzeel, W.; Shrestha, B. The glaciers of the Hindu Kush Himalayas: Current status and observed changes from the 1980s to 2010. Int. J. Water Resour. Dev. 2015, 31, 161–173. [Google Scholar] [CrossRef]
- Bolch, T.; Kulkarni, A.; Kääb, A.; Huggel, C.; Paul, F.; Cogley, J.G.; Frey, H.; Kargel, J.S.; Fujita, K.; Scheel, M.; et al. The state and fate of Himalayan glaciers. Science 2012, 336, 310–314. [Google Scholar] [CrossRef]
- Lama, L.; Kayastha, R.B.; Maharjan, S.B.; Bajracharya, S.R.; Chand, M.B.; Mool, P.K. Glacier area and volume changes of Hidden Valley, Mustang, Nepal from 980s to 2010 based on remote sensing. Proc. IAHS 2015, 368, 57–62. [Google Scholar] [CrossRef][Green Version]
- Ageta, Y.; Iwata, S.; Yabuki, H.; Naito, N.; Sakai, A.; Narama, C. Expansion of glacier lakes in recent decades in the Bhutan Himalayas. In Debris-Covered Glaciers; Nakawo, M., Raymond, C.F., Fountain, A., Eds.; IAHS Publication No. 264; International Association of Hydrological Sciences: Wallingford, UK, 2000; pp. 165–175. [Google Scholar]
- Khanal, N.R.; Hu, J.M.; Mool, P. Glacial lake outburst flood risk in the poiqu/bhote koshi/sun koshi river basin in the central himalayas. Mt. Res. Dev. 2015, 35, 351–364. [Google Scholar] [CrossRef]
- Nie, Y.; Liu, Q.; Liu, S. Glacial lake expansion in the central Himalayas by Landsat images, 1990–2010. PLoS ONE 2013, 8, e83973. [Google Scholar] [CrossRef]
- Chand, M.B.; Watanabe, T. Development of Supraglacial Ponds in the Everest Region, Nepal, between 1989 and 2018. Remote Sens. 2019, 11, 1058. [Google Scholar] [CrossRef]
- Gruber, S.; Fleiner, R.; Guegan, E.; Panday, P.; Schmid, M.O.; Stumm, D.; Wester, P.; Zhang, Y.; Zhao, L. Review article: Inferring permafrost and permafrost thaw in the mountains of the Hindu Kush Himalaya region. Cryosphere 2017, 11, 81–99. [Google Scholar] [CrossRef]
- Immerzeel, W.W.; van Beek, L.P.H.; Bierkens, M.F.P. Climate change will affect the Asian water towers. Science 2010, 328, 1382–1385. [Google Scholar] [CrossRef]
- Yang, X.; Zhang, T.; Qin, D.; Kang, S.; Qin, X. Characteristics and Changes in Air Temperature and Glacier’s Response on the North Slope of Mt. Qomolangma (Mt. Everest). Arctic Antarct. Alp. Res. 2011, 43, 147–160. [Google Scholar] [CrossRef]
- Sheikh, M.M.; Manzoor, N.; Ashraf, J.; Adnan, M.; Collins, D.; Hameed, S.; Manton, M.J.; Ahmed, A.U.; Baidya, S.K.; Borgaonkar, H.P.; et al. Trends in extreme daily rainfall and temperature indices over South Asia. Int. J. Climatol. 2015, 35, 1625–1637. [Google Scholar] [CrossRef]
- Nepal, S. Impacts of climate change on the hydrological regime of the Koshi river basin in the Himalayan region. J. Hydro-Environ. Res. 2016, 10, 76–89. [Google Scholar] [CrossRef]
- Shrestha, A.B.; Bajracharya, S.R.; Sharma, A.R.; Duo, C.; Kulkarni, A. Observed trends and changes in daily temperature and precipitation extremes over the Koshi river basin 1975–2010. Int. J. Climatol. 2017, 37, 1066–1083. [Google Scholar] [CrossRef]
- Liu, Z.; Yang, M.; Wan, G.; Wang, X. The Spatial and Temporal Variation of Temperature in the Qinghai-Xizang (Tibetan) Plateau during 1971–2015. Atmosphere 2017, 8, 214. [Google Scholar] [CrossRef]
- Baral, P.; Kayastha, R.B.; Immerzeel, W.W.; Pradhananga, N.S.; Bhattarai, B.C.; Shahi, S.; Galos, S.; Springer, C.; Joshi, S.P.; Mool, P.K. Preliminary results of mass-balance observations of Yala Glacier and analysis of temperature and precipitation gradients in Langtang Valley, Nepal. Ann. Glaciol. 2014, 55, 9–14. [Google Scholar] [CrossRef]
- Ren, G.Y.; Shrestha, A.B. Climate change in the Hindu Kush Himalaya. Adv. Clim. Chang. Res. 2017, 8, 137–140. [Google Scholar] [CrossRef]
- Dahal, P.; Shrestha, N.S.; Shrestha, M.L.; Krakauer, N.Y.; Panthi, J.; Pradhanang, S.M.; Jha, A.; Lakhankar, T. Drought risk assessment in central Nepal: Temporal and spatial analysis. Nat. Hazards 2016, 80, 1913–1932. [Google Scholar] [CrossRef]
- Panthi, J.; Dahal, P.; Shrestha, M.; Aryal, S.; Krakauer, N.; Pradhanang, S.; Lakhankar, T.; Jha, A.; Sharma, M.; Karki, R. Spatial and Temporal Variability of Rainfall in the Gandaki River Basin of Nepal Himalaya. Climate 2015, 3, 210–226. [Google Scholar] [CrossRef]
- Gurung, D.R.; Maharjan, S.B.; Shrestha, A.B.; Shrestha, M.S.; Bajracharya, S.R.; Murthy, M.S.R. Climate and topographic controls on snow cover dynamics in the Hindu Kush Himalaya. Int. J. Climatol. 2017, 37, 3873–3882. [Google Scholar] [CrossRef]
- Bhattarai, B.C.; Regmi, D. Impact of Climate Change on Water Resources in View of Contribution of Runoff Components in Stream Flow: A Case Study from Langtang Basin, Nepal. J. Hydrol. Meteorol. 2016, 9, 74. [Google Scholar] [CrossRef]
- Karki, R.; Hasson, S.; Schickhoff, U.; Scholten, T.; Böhner, J. Rising Precipitation Extremes across Nepal. Climate 2017, 5, 4. [Google Scholar] [CrossRef]
- Leys, C.; Ley, C.; Klein, O.; Bernard, P.; Licata, L. Detecting outliers: Do not use standard deviation around the mean, use absolute deviation around the median. J. Exp. Soc. Psychol. 2013, 49, 764–766. [Google Scholar] [CrossRef]
- Bhattarai, B.C.; Burkhart, J.F.; Stordal, F.; Xu, C.Y. Aerosol Optical Depth over the Nepalese cryosphere derived from an empirical model. Front. Earth Sci. 2019, 7, 178. [Google Scholar] [CrossRef]
- Huang, N.E.; Shen, Z.; Long, S.R.; Wu, M.C.; Shih, H.H.; Zheng, Q.; Yen, N.C.; Tung, C.C.; Liu, H.H. The empirical mode decomposition and the Hilbert spectrum for nonlinear and non-stationary time series analysis. Proc. R. Soc. A Math. Phys. Eng. Sci. 1998, 454, 903–995. [Google Scholar] [CrossRef]
- Mhamdi, F.; Poggi, J.M.; Jaïdane, M. Trend extraction for seasonal time series using ensemble empirical mode decomposition. Adv. Adapt. Data Anal. 2011, 3, 363–383. [Google Scholar] [CrossRef]
- Razavi, T.; Switzman, H.; Arain, A.; Coulibaly, P. Regional climate change trends and uncertainty analysis using extreme indices: A case study of Hamilton, Canada. Clim. Risk Manag. 2016, 13, 43–63. [Google Scholar] [CrossRef]
- Xu, Z.; Tang, Y.; Connor, T.; Li, D.; Li, Y.; Liu, J. Climate variability and trends at a national scale. Sci. Rep. 2017, 7, 3258. [Google Scholar] [CrossRef] [PubMed]
- Kendall, M.G. Rank Correlation Methods; Charles Griffin: London, UK, 1955.
- Mann, H.B. Nonparametric tests against trend. Econometrica 1945, 13, 245. [Google Scholar] [CrossRef]
- Kendall, M.G. Rank Correlation Methods, 4th ed.; Charles Griffin: London, UK, 1975.
- Hirsch, R.M.; Slack, J.R.; Smith, R.A. Techniques of trend analysis for monthly water quality data. Water Resour. Res. 1982, 18, 107–121. [Google Scholar] [CrossRef]
- Fick, S.E.; Hijmans, R.J. WorldClim 2: New 1-km spatial resolution climate surfaces for global land areas. Int. J. Climatol. 2017, 37, 4302–4315. [Google Scholar] [CrossRef]
- Karger, D.N.; Conrad, O.; Böhner, J.; Kawohl, T.; Kreft, H.; Soria-Auza, R.W.; Zimmermann, N.E.; Linder, H.P.; Kessler, M. Climatologies at high resolution for the earth’s land surface areas. Sci. Data 2017, 4, 170122. [Google Scholar] [CrossRef]
- Rodell, M.; Houser, P.; Jambor, U.; Gottschalck, J.; Mitchell, K.; Meng, C.J.; Arsenault, K.; Cosgrove, B.; Radakovich, J.; Bosilovich, M.; et al. The global land data assimilation system. Bull. Am. Meteorol. Soc. 2004, 85, 381–394. [Google Scholar] [CrossRef]
- Rui, H.; Beaudoing, H. Readme document for global land data assimilation system version 2 (GLDAS-2) products. GES DISC 2011, 2011, 1–22. [Google Scholar]
- Wan, Z.; Hook, S.; Hulley, G. MOD11A1 MODIS/Terra Land Surface Temperature/Emissivity Daily L3 Global 1 km SIN Grid V006 [Data set]. NASA EOSDIS Land Process. DAAC 2015. [Google Scholar] [CrossRef]
- Wan, Z. Collection-6 MODIS Land Surface Temperature Products Users’ Guide; NASA: Washington, DC, USA, 2013.
- Mahmoud, M.O.M.; Mhamdi, F.; Jaidane-Saidane, M. Long term multi-scale analysis of the daily peak load based on the Empirical Mode Decomposition. In Proceedings of the 2009 IEEE Bucharest PowerTech, Bucharest, Romania, 28 June–2 July 2009; pp. 1–6. [Google Scholar] [CrossRef]
- Thapa, A.; Kayastha, R.B. Extraction of Periodic Components and Time Adaptive Long-term Trends of Temperature and Precipitation as Climate Variables in Langtang River Basin, Nepal Using Empirical Mode Decomposition. J. Clim. Chang. 2015, 1, 99–107. [Google Scholar] [CrossRef]
- Salerno, F.; Guyennon, N.; Thakuri, S.; Viviano, G.; Romano, E.; Vuillermoz, E.; Cristofanelli, P.; Stocchi, P.; Agrillo, G.; Ma, Y.; et al. Weak precipitation, warm winters and springs impact glaciers of south slopes of Mt. Everest (central Himalaya) in the last 2 decades (1994–2013). Cryosphere 2015, 9, 1229–1247. [Google Scholar] [CrossRef]
- Hanjra, M.A.; Qureshi, M.E. Global water crisis and future food security in an era of climate change. Food Policy 2010, 35, 365–377. [Google Scholar] [CrossRef]
- KC, A.; Ghimire, A. High-Altitude Plants in Era of Climate Change: A Case of Nepal Himalayas. In Climate Change Impacts on High-Altitude Ecosystems; Öztürk, M., Hakeem, K.R., Faridah-Hanum, I., Efe, R., Eds.; Springer International Publishing: Cham, Switzerland, 2015; pp. 177–187. [Google Scholar] [CrossRef]
- KC, A.; Thapa Parajuli, R.B. Climate change and its impact on tourism in the manaslu conservation area, nepal. Tour. Plan. Dev. 2015, 12, 225–237. [Google Scholar] [CrossRef]
- Devkota, R.P. Climate change: Trends and people’s perception in Nepal. J. Environ. Prot. 2014, 5, 255. [Google Scholar] [CrossRef]
- Srivastava, P.; Agnihotri, R.; Sharma, D.; Meena, N.; Sundriyal, Y.; Saxena, A.; Bhushan, R.; Sawlani, R.; Banerji, U.S.; Sharma, C.; et al. 8000-year monsoonal record from Himalaya revealing reinforcement of tropical and global climate systems since mid-Holocene. Sci. Rep. 2017, 7, 14515. [Google Scholar] [CrossRef]
- Immerzeel, W.W.; Petersen, L.; Ragettli, S.; Pellicciotti, F. The importance of observed gradients of air temperature and precipitation for modeling runoff from a glacierized watershed in the Nepalese Himalayas. Water Resour. Res. 2014, 50, 2212–2226. [Google Scholar] [CrossRef]
- Takahashi, S. Meteorological features in Langtang Valley, Nepal Himalayas, 1985–1986. Bull. Glacier Res. 1987, 5, 35–40. [Google Scholar]
- Chand, M.B.; Kayastha, R.B.; Parajuli, A.; Mool, P.K. Seasonal variation of ice melting on varying layers of debris of Lirung Glacier, Langtang Valley, Nepal. Proc. IAHS 2015, 368, 21–26. [Google Scholar] [CrossRef]
- Parajuli, A.; Chand, M.B.; Kayastha, R.B.; Shea, J.M.; Mool, P.K. Modified temperature index model for estimating the melt water discharge from debris-covered Lirung Glacier, Nepal. Proc. IAHS 2015, 368, 409–414. [Google Scholar] [CrossRef][Green Version]



















| Station ID | Station Name | Lat. | Lon. | Altitude (m) |
|---|---|---|---|---|
| 810 | Chapkot | 27.883 | 83.817 | 460 |
| 804 | Pokhara Airport | 28.217 | 84.000 | 827 |
| 1004 | Nuwakot | 27.917 | 85.017 | 1003 |
| 1038 | Dhunibesi | 27.171 | 85.183 | 1085 |
| 601 | Jomsom | 27.783 | 83.717 | 2744 |
| 1000 | Langtang | 28.200 | 85.533 | 3800 |
| Station ID | 95th Percentile | 99th Percentile | CV | Mean | Median | Skew | Mean after Interpolation |
|---|---|---|---|---|---|---|---|
| 810 | 28.85 | 31.68 | 26.36 | 23.27 | 24.77 | −0.59 | 23.20 |
| 804 | 26.38 | 26.85 | 21.66 | 20.96 | 22.38 | −0.46 | 21.06 |
| 1004 | 26.51 | 27.88 | 20.69 | 21.53 | 22.86 | −0.59 | 21.45 |
| 1038 | 26.73 | 27.70 | 23.71 | 21.20 | 22.59 | −0.50 | 21.19 |
| 601 | 18.85 | 20.77 | 29.53 | 11.77 | 11.68 | −0.08 | 11.44 |
| 1000 | 8.20 | 9.13 | 11.29 | 3.19 | 3.36 | −0.20 | 3.16 |
| SN | Station Name | First Period | Second Period | Entire Period | |||
|---|---|---|---|---|---|---|---|
| Date | Temp. Trend | Date | Temp. Trend | Date | Temp. Trend | ||
| 1 | Chapkot | 1960–1972 | −0.2207 * | 1973–2015 | 0.0168 | 1960–2015 | 0.0009 |
| 2 | Pokhara Airport | 1960–1970 | −0.2110 * | 1971–2015 | 0.0354 * | 1960–2015 | 0.0102 * |
| 3 | Nuwakot | 1960–1972 | −0.2145 | 1973–2015 | 0.0280 * | 1960–2015 | 0.0152 * |
| 4 | Dhunibesi | 1960–1972 | −0.2145 * | 1973–2015 | 0.0280 * | 1960–2015 | 0.0080 * |
| 5 | Jomsom | 1960–1970 | −0.0790 | 1971–2015 | 0.0294 * | 1960–2015 | 0.0016 |
| 6 | Langtang | 1960–1992 | −0.0550 * | 1993–2015 | 0.0410 | 1960–2015 | 0.0107 |
| Station ID | Station Name | Date | Monsoon | Winter | Premonsoon | Postmonsoon |
|---|---|---|---|---|---|---|
| 1 | Chapkot | 1970–2015 | 0.021 | 0.019 | 0.027 | 0.021 * |
| 2 | Pokhara Airport | 1970–2015 | 0.037 * | 0.038 * | 0.034 * | 0.036 * |
| 3 | Nuwakot | 1970–2015 | 0.03 * | 0.021 * | 0.03 * | 0.036 * |
| 4 | Dhunibesi | 1970–2015 | 0.038 * | 0.024 * | 0.037 * | 0.039 * |
| 5 | Jomsom | 1970–2015 | 0.051 * | 0.057 * | −0.0080 | 0.014 |
| 6 | Langtang | 1970–2015 | 0.042 * | 0.038 * | 0.015 | 0.027 * |
Publisher’s Note: MDPI stays neutral with regard to jurisdictional claims in published maps and institutional affiliations. |
© 2020 by the authors. Licensee MDPI, Basel, Switzerland. This article is an open access article distributed under the terms and conditions of the Creative Commons Attribution (CC BY) license (http://creativecommons.org/licenses/by/4.0/).
Share and Cite
Chand, M.B.; Bhattarai, B.C.; Pradhananga, N.S.; Baral, P. Trend Analysis of Temperature Data for the Narayani River Basin, Nepal. Sci 2021, 3, 1. https://doi.org/10.3390/sci3010001
Chand MB, Bhattarai BC, Pradhananga NS, Baral P. Trend Analysis of Temperature Data for the Narayani River Basin, Nepal. Sci. 2021; 3(1):1. https://doi.org/10.3390/sci3010001
Chicago/Turabian StyleChand, Mohan Bahadur, Bikas Chandra Bhattarai, Niraj Shankar Pradhananga, and Prashant Baral. 2021. "Trend Analysis of Temperature Data for the Narayani River Basin, Nepal" Sci 3, no. 1: 1. https://doi.org/10.3390/sci3010001
APA StyleChand, M. B., Bhattarai, B. C., Pradhananga, N. S., & Baral, P. (2021). Trend Analysis of Temperature Data for the Narayani River Basin, Nepal. Sci, 3(1), 1. https://doi.org/10.3390/sci3010001

