Ground-based Measurements of Atmospheric Trace Gases in Beijing during the Olympic Games
Abstract
:1. Introduction
2. Atmospheric Trace Gas Measurements
2.1. Data Acquisition
2.2. Data Analysis
2.2.1. A Priori and Auxiliary Quantities
2.2.2. Spectroscopic Parameters and Microwindow Selection
2.2.3. Retrieval Method
2.2.4. Retrieval Characterization
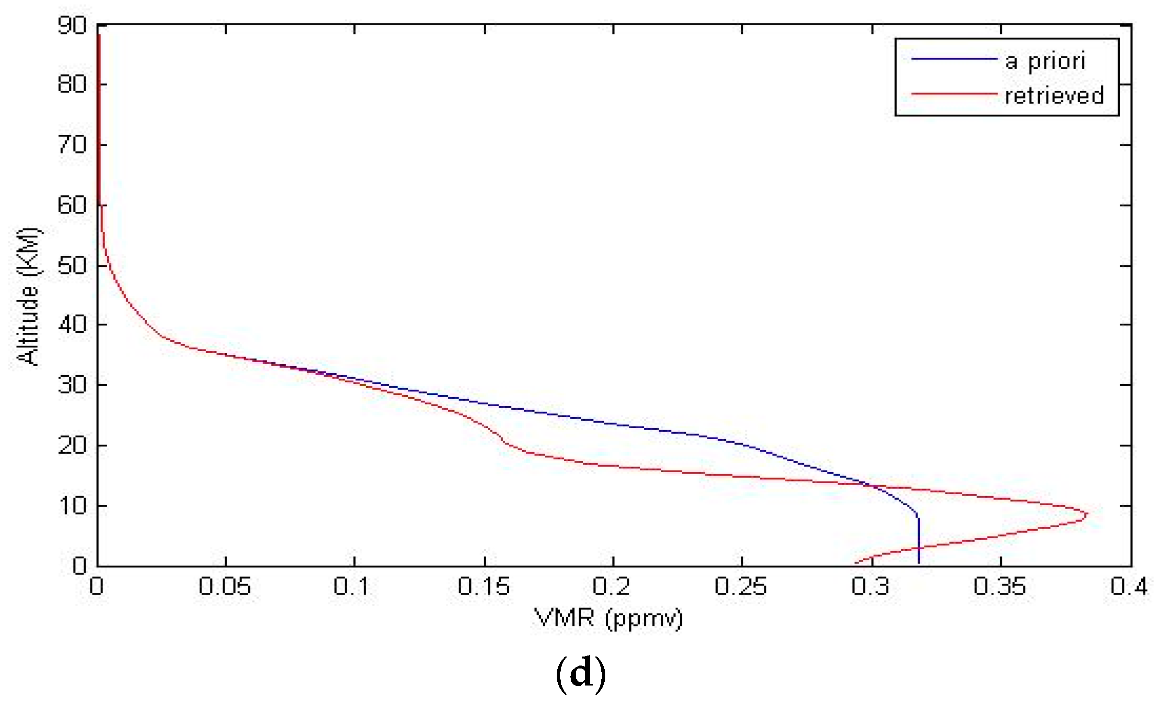
3. Results
4. Summary
Supplementary Materials
Funding
Acknowledgments
Conflicts of Interest
References
- Farman, J.C.; Gardiner, B.G.; Shanklin, J.D. Large loss of total ozone in antarctica reveal seasonal clox/nox interaction. Nature 1985, 315, 207–210. [Google Scholar] [CrossRef]
- Aumann, H.; Chanhine, M.T.; Gautier, C. AIRS/AMSU/HSB on the aqua mission: Design, science objectives, data products, and processing systems. IEEE Trans. Geosci. Remote Sens. 2003, 41, 253–264. [Google Scholar] [CrossRef]
- Russell, J.M.I.; Gordley, L.L.; Park, J.H.; Drayson, S.R.; Hesketh, W.D.; Cicerone, R.J.; Tuck, A.F.; Frederick, J.E.; Harries, J.E.; Crutzen, P.J. The halogen occulation experiment. J. Geophys. Res. 1993, 98, 10777–10797. [Google Scholar] [CrossRef]
- Kurylo, M.J.; Zander, R. The NDSC--its status after 10 years of operation. In Proceedings of the 19th Quadrennial Ozone Symposium, Sapporo, Japan, 3–8 July 2000; Hokkaido University: Sapporo, Japan, 2000; pp. 167–168. [Google Scholar]
- Pougatchev, N.S.; Connor, B.J.; Jones, N.B.; Rinsland, C.P. Validation of ozone retrievals from ground-based solar spectra. Geophys. Res. Lett. 1996, 23, 1637–1640. [Google Scholar] [CrossRef]
- Rinsland, C.P.; Mahieu, E.; Zander, R.; Jones, N.B.; Chipperfield, M.P.; Goldman, A. Long-term of inorganic chlorine from ground-based infrared solar spectra: Past increases and evidence for stablization. J. Geophys. Res. 2003, 108, 4252–4273. [Google Scholar] [CrossRef]
- Wei, H.; HU, H. Measurement of atmospheric pollution gas NO2 column abundance from ground based solar spectra. J. Remote Sens. 2001, 2001, 220–226. [Google Scholar]
- Fu, Q.; Liu, W.; Si, S.; Zhang, Y.; Xie, P. Determination of the vertical column density of trace gas measured by max-doas. Acta Photon. Sin. 2009, 38, 1216–1220. [Google Scholar]
- Hase, F.; Blumenstock, T.; Paton-Was, C. Analysis of the instrumental line shape of high-resolution fourier transform ir spectrometers with gas cell measurements and new retrieval software. Appl. Opt. 1999, 38, 109–113. [Google Scholar] [CrossRef]
- Wei, H.; Ren, L.; Fan, D.; Soucy, M.-A. Performance of portable high-resolution fourier transform spectrometer for trace gas remote sensing. In Proceedings of the SPIE 8562, Infrared, Millimeter-Wave, and Terahertz Technologies II, Beijing, China, 5 December 2012; Volume 8562. [Google Scholar]
- Wiacek, A.; Taylor, J.R.; Strong, K.; Saari, R.; Kerzenmacher, T.E.; Jones, N.B.; Griffith, D.W.T. Ground-based solar absorption ftir spectroscopy: Characteriation of retrievals and first results from a novel optical design instrument at a new ndacc complementary station. J. Atmos. Ocean. Technol. 2007, 24, 432–448. [Google Scholar] [CrossRef]
- Berk, A.; Anderson, G.; Acharya, P.; Hoke, M.; Chetwynd, J.; Bernstein, L.; Shettle, E.; Matthew, M.; Adler-Golder, S. Modtran4 Version 3 Revision 1 User’s Manual; Air Force Research Laboratory: Hanscom Air Force Base, MA, USA, 2003. [Google Scholar]
- Rothman, L.S.; Jacquemart, D.; Barbe, A.; Benner, D.C.; Birk, M.; Brown, L.R. The hitran 2004 molecular spectroscopic database. J. Quant. Spectrosc. Radiat. Transf. 2005, 96, 139–204. [Google Scholar] [CrossRef]
- Meier, A.; Toon, G.C.; Rinsland, C.P.; Goldman, A.; Hase, F. Spectroscopic Atlas of Atmospheric Microwindows in the Middle Infra-Red; Swedish Institute of Space Physics: Kiruna, Sweden, 2004. [Google Scholar]
- Rodgers, C.D. Inverse Methods for Atmospheric Sounding: Theory and Practice; World Scientific: Singapore, 2000. [Google Scholar]
- Koner, P.K.; Drummond, J.R. Atmospheric trace gases profile retrievals using the nonlinear regularized total least squares method. J. Quant. Spectrosc. Radiat. Transf. 2008, 109, 2045–2059. [Google Scholar] [CrossRef]
- Rodgers, C.D. Retrieval of atmospheric temperature and composition from remoted measurements of thermal radiation. Rev. Geophys. Space Phys. 1976, 14, 609–633. [Google Scholar] [CrossRef]
- Rodgers, C.D. Characterization and error analysis of profiles retrieved from remote sensing sounding measurements. J. Geophys. Res. 1990, 95, 5587–5595. [Google Scholar] [CrossRef]
- Rinsland, C.P.; Jones, N.B.; Connor, B.J.; Logan, J.A.; Pougatchev, N.S.; Goldman, A.; Murray, F.J.; Stephen, T.M.; Pine, A.S.; Zander, R.; et al. Northern and southern hemisphere ground-based infrared spectroscopic measurements of tropospheric carbon monoxide and methane. J. Geophys. Res. 1999, 102, 28197–28217. [Google Scholar]
- Rinsland, C.P.; Goldman, A.; Connor, B.J.; Stephen, T.M.; Jones, N.B.; Wood, S.W.; Murcray, F.J.; David, S.J.; Blatherwick, R.D.; Zander, R.; et al. Correlation relationships of stratospheric moleculer constituents from high sepctral resolution ground-based infrared solar absorption spectra. J. Geophys. Res. 2000, 105, 14637–14652. [Google Scholar] [CrossRef]
- Hase, F.; Hannigan, J.W.; Coffey, M.T.; Goldman, A.; Hophner, M.; Jones, N.B.; Rinsland, C.P.; Wood, S.W. Intercomparison of retrieval codes used for the analysis of high-resolution, ground-based FTIR measurements. J. Quant. Spectrosc. Radiat. Transf. 2004, 87, 25–52. [Google Scholar] [CrossRef]
- Galley, W.O.; Kneizys, F.X.; Clough, S.A. Air Mass Computer Program For Atmospheric Transmittance/Radiance Calculation: FSCATM; Report AFGL-TR-83-0065; ERP 828 Air Force Geophysics Laboratory: Hanscom Airforce Base, MA, USA, 1983. [Google Scholar]
- Meier, A.; Goldman, A.; Manning, P.S.; Stephen, T.M.; Rinsland, C.P.; Jones, N.B.; Wood, S.W. Improvements to air mass calculations for ground-based infrared measurements. J. Quant. Spectrosc. Radiat. Transf. 2004, 83, 109–113. [Google Scholar] [CrossRef]
- Notholt, J.; Toon, G.C.; Rinsland, C.P.; Pougatchev, N.S.; Jones, N.B.; Connor, B.J.; Weller, R.; Gautrois, M.; Schrems, O. Latitudinal variations of trace gas concentrations in the free troposphere measured by solar absorption spectroscopy during a ship cruise. J. Geophys. Res. 2000, 105, 1337–1349. [Google Scholar] [CrossRef]
- Taylor, J.R.; Wunch, D.; Midwinter, D.; Wiacek, A.; Drummnd, J.R.; Strong, K. An extended intercomparison of simultaneous ground-based fourier transform infrared spectrometer measurements at the Toronto Atmospheric Observatory. J. Quant. Spectrosc. Radiat. Transf. 2008, 109, 2244–2260. [Google Scholar] [CrossRef]
- Sung, K.; Skelton, R.; Walker, K.A.; Boone, C.D.; Fu, D.; Bernath, P.F. N2O and O3 arctic column amounts from PARIS-IR observations: Retrievals, characterization and error analysis. J. Quant. Spectrosc. Radiat. Transf. 2007, 107, 385–406. [Google Scholar] [CrossRef]
















| Target Gas | Microwindow (cm−1) | Interfering Gases | SNR |
|---|---|---|---|
| O3 | 2775.5814–2776.3923 | CH4, CO2, HCl, N2O | ~500 |
| 2778.7756–2779.4882 | CH4, HDO, N2O | ~550 | |
| 2781.4784–2782.0927 | CH4, HDO, N2O, CO2 | ~520 | |
| CO | 2057.6834–2057.9906 | CO2, OCS, O3, H2O | ~320 |
| 2069.4775–2069.7969 | CO2, OCS, O3, H2O | ~340 | |
| 2157.4779–2159.8981 | N2O, H2O, O3, CO2 | ~300 | |
| CH4 | 2859.7856–2860.2894 | H2O, O3, HCL | ~525 |
| 2898.2758–2898.9884 | ~475 | ||
| 2903.5831–2904.1974 | ~360 | ||
| N2O | 2481.0756–2482.4884 | H2O, CO2, O3, CH4 | ~270 |
© 2019 by the author. Licensee MDPI, Basel, Switzerland. This article is an open access article distributed under the terms and conditions of the Creative Commons Attribution (CC BY) license (http://creativecommons.org/licenses/by/4.0/).
Share and Cite
Cheng, J. Ground-based Measurements of Atmospheric Trace Gases in Beijing during the Olympic Games. Sci 2019, 1, 23. https://doi.org/10.3390/sci1010023
Cheng J. Ground-based Measurements of Atmospheric Trace Gases in Beijing during the Olympic Games. Sci. 2019; 1(1):23. https://doi.org/10.3390/sci1010023
Chicago/Turabian StyleCheng, Jie. 2019. "Ground-based Measurements of Atmospheric Trace Gases in Beijing during the Olympic Games" Sci 1, no. 1: 23. https://doi.org/10.3390/sci1010023
APA StyleCheng, J. (2019). Ground-based Measurements of Atmospheric Trace Gases in Beijing during the Olympic Games. Sci, 1(1), 23. https://doi.org/10.3390/sci1010023
