Response to Mono-Energetic Neutrons and Light Output Function for Liquid Organic Scintillators PYR5/DIPN and THIO5/DIPN
Abstract
:1. Introduction
2. Materials and Methods
2.1. Materials
- 1-Phenyl-3-(2,4,6-trimethyl-phenyl)-2-pyrazoline, CAS 60078-97-9, TCI Chemicals (Tokyo, Japan) (labeled PYR);
- 2,5-Bis(5-tert-butyl-benzoxazol-2-yl)thiophene, CAS 7128-64-5, Sigma-Aldrich (Saint Louis, MO, USA) (labeled THIO).
- 20 mL glass vials;
- 1 inch diameter and height cylindrical containers;
- 2 inch diameter and height cylindrical containers.
2.2. Devices
- PTB in Braunschweig, Germany (, and );
- Czech Technical University in Prague, Faculty of Nuclear Sciences and Physical Engineering, Department of Nuclear Reactors, Prague, Czech Republic (DD reaction of and DT reaction of );
- Research Centre Řež, Husinec-Řež, Czech Republic (silicon-filtered beam of , and [7]).
- Cs Compton line at ;
- Co Compton lines at and ;
- AmBe Compton line at (only for the DT reaction at CTU, Prague).
2.3. Methods
- The response to neutron sources is measured and obtained on output from NGA-01. The response can be well discriminated into the response function to neutron radiation and the response function to the always present radiation [5]. The response function to the neutron source is a function of the number of detected pulses and energy channels at this stage.
- The response is calibrated using the ray sources to a function of the number of the pulses and the equivalent electron energy L.
- The detected pulses in the response are caused mostly by recoil protons with an energy lower or equal to the incident neutron energy. The equivalent electron energy L of the upper edge of the response function corresponds to the maximum recoil proton energy which is the incident neutron energy . These values are used to evaluate the LOF. The upper edge of the response function is evaluated using the derivative method [13,15] analogically to the processing of calibration in [5]:
- (a)
- (b)
- The data are numerically differentiated and smoothed again using the same procedure as above.
- (c)
- The minimum of this function is found, and its equivalent electron energy L then corresponds to the proton energy of the same energy as the incident neutron energy .
3. Results
4. Discussion
5. Conclusions
Author Contributions
Funding
Institutional Review Board Statement
Informed Consent Statement
Data Availability Statement
Conflicts of Interest
References
- Knoll, G.F. Radiation Detection and Measurement; John Wiley & Sons: New York, NY, USA, 2010. [Google Scholar]
- Hansen, W.; Richter, D. Determination of light output function and angle dependent correction for a stilbene crystal scintillation neutron spectrometer. Nucl. Instrum. Methods Phys. Res. Sect. A Accel. Spectrom. Detect. Assoc. Equip. 2002, 476, 195–199. [Google Scholar] [CrossRef]
- Norsworthy, M.A.; Poitrasson-Rivière, A.; Ruch, M.L.; Clarke, S.D.; Pozzi, S.A. Evaluation of neutron light output response functions in EJ-309 organic scintillators. Nucl. Instrum. Methods Phys. Res. Sect. A Accel. Spectrom. Detect. Assoc. Equip. 2017, 842, 20–27. [Google Scholar] [CrossRef] [Green Version]
- Shin, T.H.; Feng, P.L.; Carlson, J.S.; Clarke, S.D.; Pozzi, S.A. Measured neutron light-output response for trans-stilbene and small-molecule organic glass scintillators. Nucl. Instrum. Methods Phys. Res. Sect. A Accel. Spectrom. Detect. Assoc. Equip. 2019, 939, 36–45. [Google Scholar] [CrossRef]
- Jánský, J.; Janda, J.; Mazánková, V.; Cvachovec, F. Optimization of composition of liquid organic scintillators for fast neutron spectrometry. Nucl. Instrum. Methods Phys. Res. Sect. A Accel. Spectrom. Detect. Assoc. Equip. 2021, 1010, 165523. [Google Scholar] [CrossRef]
- Janda, J.; Jánský, J.; Mazánková, V.; Cvachovec, F. The Long-term Stability of Liquid Organic Scintillators Used for Gamma-neutron Separation. IEEE Trans. Nucl. Sci. 2021, 69, 768–776. [Google Scholar] [CrossRef]
- Juříček, V.; Košt’ál, M.; Losa, E.; Czakoj, T.; Matěj, Z.; Cvachovec, F.; Schulc, M.; Šimon, J.; Mravec, F.; Přenosil, V.; et al. The Application of Silicon-Filtered Beam in the Validation of Iron Cross Sections by Deep Penetration Experiments. J. Nucl. Eng. Radiat. Sci. 2021, 7, 022005. [Google Scholar] [CrossRef]
- Veškrna, M.; Matěj, Z.; Mravec, F.; Přenosil, V.; Cvachovec, F.; Košt’ál, M. Digitalized two parametric system for gamma/neutron spectrometry. In Proceedings of the 18th Topical Meeting of the Radiation Protection & Shielding Division of ANS, Knoxville, TN, USA, 14–18 September 2014. [Google Scholar]
- Košt’ál, M.; Veškrna, M.; Cvachovec, F.; Jánský, B.; Novák, E.; Rypar, V.; Milčák, J.; Losa, E.; Mravec, F.; Matěj, Z.; et al. Comparison of fast neutron spectra in graphite and FLINA salt inserted in well-defined core assembled in LR-0 reactor. Ann. Nucl. Energy 2015, 83, 216–225. [Google Scholar] [CrossRef] [Green Version]
- Košt’ál, M.; Matěj, Z.; Cvachovec, F.; Rypar, V.; Losa, E.; Rejchrt, J.; Mravec, F.; Veškrna, M. Measurement and calculation of fast neutron and gamma spectra in well defined cores in LR-0 reactor. Appl. Radiat. Isot. 2017, 120, 45–50. [Google Scholar] [CrossRef]
- Mravec, F. Numerical Processing of Spectrometric Data. Ph.D. Thesis, Faculty of Informatics, Masaryk University, Brno, Czech Republic, 2017. [Google Scholar]
- Brooks, F. A scintillation counter with neutron and gamma-ray discriminators. Nucl. Instrum. Methods 1959, 4, 151–163. [Google Scholar] [CrossRef]
- Kaschuck, Y.; Esposito, B. Neutron/γ-ray digital pulse shape discrimination with organic scintillators. Nucl. Instrum. Methods Phys. Res. Sect. A Accel. Spectrom. Detect. Assoc. Equip. 2005, 551, 420–428. [Google Scholar] [CrossRef]
- Howarth, P. High count rate performance of NE213 scintillation detectors with associated pulse shape discrimination electronics. Nucl. Instrum. Methods Phys. Res. Sect. A Accel. Spectrom. Detect. Assoc. Equip. 1996, 376, 67–81. [Google Scholar] [CrossRef]
- Safari, M.; Davani, F.A.; Afarideh, H. Differentiation method for localization of Compton edge in organic scintillation detectors. arXiv 2016, arXiv:1610.09185. [Google Scholar]
- Savitzky, A.; Golay, M.J. Smoothing and differentiation of data by simplified least squares procedures. Anal. Chem. 1964, 36, 1627–1639. [Google Scholar] [CrossRef]
- Schafer, R.W. What Is a Savitzky-Golay Filter? [Lecture Notes]. IEEE Signal Process. Mag. 2011, 28, 111–117. [Google Scholar] [CrossRef]
- Cecil, R.; Anderson, B.; Madey, R. Improved predections of neutron detection efficiency for hydrocarbon scintillators from 1 MeV to about 300 MeV. Nucl. Instrum. Methods 1979, 161, 439–447. [Google Scholar] [CrossRef]




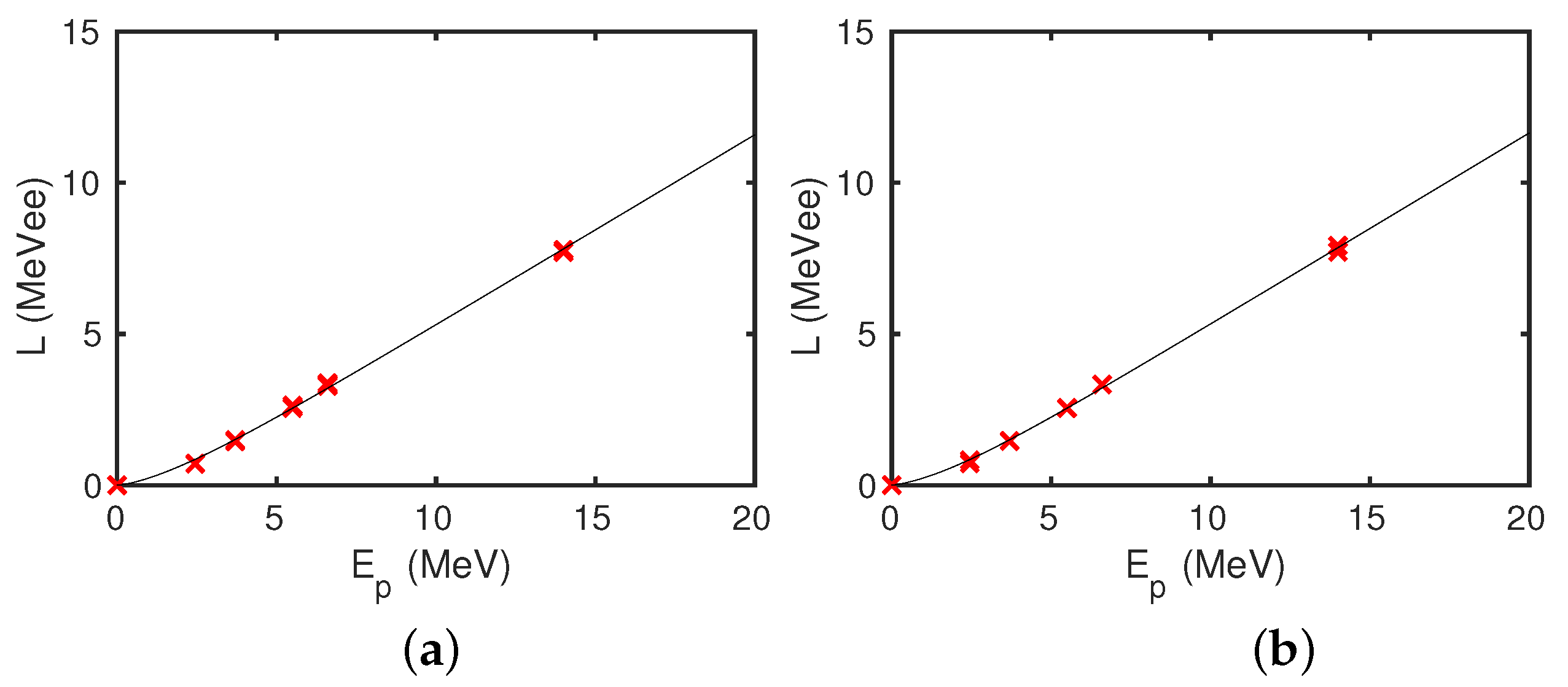
| Scintillator | a | b | c | d |
|---|---|---|---|---|
| PYR5/DIPN | 0.6294 | 1.0000 | 0.4933 | 0.9500 |
| THIO5/DIPN | 0.6323 | 1.0000 | 0.4986 | 0.9883 |
Publisher’s Note: MDPI stays neutral with regard to jurisdictional claims in published maps and institutional affiliations. |
© 2022 by the authors. Licensee MDPI, Basel, Switzerland. This article is an open access article distributed under the terms and conditions of the Creative Commons Attribution (CC BY) license (https://creativecommons.org/licenses/by/4.0/).
Share and Cite
Jánský, J.; Janda, J.; Košťál, M.; Matěj, Z.; Bílý, T.; Mazánková, V.; Mravec, F.; Cvachovec, F. Response to Mono-Energetic Neutrons and Light Output Function for Liquid Organic Scintillators PYR5/DIPN and THIO5/DIPN. Quantum Beam Sci. 2022, 6, 18. https://doi.org/10.3390/qubs6020018
Jánský J, Janda J, Košťál M, Matěj Z, Bílý T, Mazánková V, Mravec F, Cvachovec F. Response to Mono-Energetic Neutrons and Light Output Function for Liquid Organic Scintillators PYR5/DIPN and THIO5/DIPN. Quantum Beam Science. 2022; 6(2):18. https://doi.org/10.3390/qubs6020018
Chicago/Turabian StyleJánský, Jaroslav, Jiří Janda, Michal Košťál, Zdeněk Matěj, Tomáš Bílý, Věra Mazánková, Filip Mravec, and František Cvachovec. 2022. "Response to Mono-Energetic Neutrons and Light Output Function for Liquid Organic Scintillators PYR5/DIPN and THIO5/DIPN" Quantum Beam Science 6, no. 2: 18. https://doi.org/10.3390/qubs6020018
APA StyleJánský, J., Janda, J., Košťál, M., Matěj, Z., Bílý, T., Mazánková, V., Mravec, F., & Cvachovec, F. (2022). Response to Mono-Energetic Neutrons and Light Output Function for Liquid Organic Scintillators PYR5/DIPN and THIO5/DIPN. Quantum Beam Science, 6(2), 18. https://doi.org/10.3390/qubs6020018

