Abstract
Liquid organic scintillators are important devices for measurements of neutron radiation. Currently, large-scale liquid organic scintillators have capabilities of detecting neutrons, but the determination of the neutron energy spectra is a challenge. This work aims to measure the responses of two liquid two-component scintillators to mono-energetic neutron radiation and to determine their light output function, which is necessary for proper neutron energy spectra determination. Both scintillators are composed of the solvent di-iso-propyl-naphthalene (DIPN) mixed isomers. The first scintillator, labeled PYR5/DIPN, contains the luminophore 1-phenyl-3-(2,4,6-trimethyl-phenyl)-2-pyrazoline with a concentration of 5 g/L. The second scintillator labeled THIO5/DIPN contains the luminophore 2,5-bis(5-tert-butyl-benzoxazol-2-yl)thiophene also with a concentration of 5 g/L. The responses to neutron energies of 1.5 MeV, 2.5 MeV, and 19 MeV are measured at PTB in Braunschweig. The responses to neutron energies of 2.45 MeV and 14 MeV were measured at CTU in Prague using DD and DT reactions. The responses to a silicon filtered beam were measured at Research Centre Řež. The measurements were processed using a two-parameter spectrometric system NGA-01 to discriminate neutrons from gamma rays. The obtained responses are dominated by recoil protons from elastic collisions of neutrons with hydrogen atoms. The edge of the response of recoil protons gives information about the light output of neutrons, compared to gamma rays for the same radiation energy. The light output function for protons in the PYR5/DIPN scintillator is . The light output function for protons in the THIO5/DIPN scintillator is . The light output functions well resemble the standard shape, and they are quite similar to each other. That suggests a weak influence of the luminophore on the light output function. The light output functions are ready to be incorporated to the response matrix for the neutron energy spectra determination.
1. Introduction
Liquid organic scintillators are important devices for the measurements of neutron radiation. Organic liquid scintillators can consist simply of an organic solvent and a luminophore. A third constituent is sometimes added as a wavelength shifter to fit the emission spectrum to better match the spectral response of common photomultiplier tubes. In certain applications, large-volume detectors with dimensions of several meters may be required. In these cases, a liquid scintillator is often the only practical choice because of the cost. Liquid scintillators are expected to be more resistant to radiation damage effects than crystalline or plastic scintillators because of their lack of a solid structure that could be damaged by exposure to intense radiation.
An accurate knowledge of the light yield as a function of particle energy (called the light output function, LOF) is a critical input to any modeling code that is used to calculate the response functions of scintillators ([1], Section 15.III.B.3.a). The background and motivation for the LOF is well-described in [2]: “The neutrons to be measured generate charged particles in the scintillator (e.g., recoil protons and -particles) which produce light pulses. -radiation creates photo or Compton electrons as charged particles, too. However, protons and electrons of the same energy give light pulses of different amplitudes. Because the energy calibration of the spectrometer is realized by means of various -sources, the relation between proton and electron energies has to be determined in the so-called light output function. The light output scale is defined in terms of the equivalent electron energy L, which is the light output for an electron depositing the corresponding energy inside the scintillation crystal, i.e., a proton of the energy gives the same light output as an electron of the equivalent energy ”. Recently, the neutron LOF from quasi-monoenergetic neutrons was measured for EJ-309 organic scintillator [3], and for trans-stilbene and small-molecule organic glass scintillators [4]. The development of such materials is of interest for the nuclear engineering community. Materials need to have good neutron discrimination qualities, and the knowledge of the LOF is crucial for the determination of neutron energy spectra from measured neutron responses.
In this work, we aim to extend the applicability of alternative and cheaper organic scintillators. The composition of two-component liquid organic scintillators with PYR and THIO luminophores and the DIPN solvent was studied in [5] to determine the best neutron discrimination qualities (see description of labels in Section 2.1). The optimal compositions with a luminophore concentration of were selected for the study of long-term stability [6]. This work aims to study the measured responses of scintillators to mono-energetic neutrons to evaluate the light output function. The LOF in the range from 0 MeV to 20 MeV is obtained, and this means that both our scintillators are one step closer to the ultimate goal of the determination of neutron energy spectra. In the next step, the LOF is planned to be used for the development of a response matrix for both scintillators.
2. Materials and Methods
2.1. Materials
Two liquid organic scintillators are studied in this work. The scintillators are selected based on the results from [5]. The solvent selected for both scintillators is DIPN (di-iso-propyl-naphthalene mixed isomers, CAS 38640-62-9, TCI Chemicals). Two-component scintillators are studied here. The following luminophores are mixed with the DIPN solvent with a concentration of :
- 1-Phenyl-3-(2,4,6-trimethyl-phenyl)-2-pyrazoline, CAS 60078-97-9, TCI Chemicals (Tokyo, Japan) (labeled PYR);
- 2,5-Bis(5-tert-butyl-benzoxazol-2-yl)thiophene, CAS 7128-64-5, Sigma-Aldrich (Saint Louis, MO, USA) (labeled THIO).
The scintillators are studied in three different containers:
- 20 mL glass vials;
- 1 inch diameter and height cylindrical containers;
- 2 inch diameter and height cylindrical containers.
2.2. Devices
The neutron sources in three different locations are used in this work with available energies in brackets:
- PTB in Braunschweig, Germany (, and );
- Czech Technical University in Prague, Faculty of Nuclear Sciences and Physical Engineering, Department of Nuclear Reactors, Prague, Czech Republic (DD reaction of and DT reaction of );
- Research Centre Řež, Husinec-Řež, Czech Republic (silicon-filtered beam of , and [7]).
For calibration purposes, the following ray sources are used:
- Cs Compton line at ;
- Co Compton lines at and ;
- AmBe Compton line at (only for the DT reaction at CTU, Prague).
The studied scintillators are placed on a photomultiplier (PMT) and enclosed in a light-tight box. The photomultiplier’s anode output is then connected to NGA-01. NGA-01 [8] is a two-parameter spectrometric system and was used in earlier works (see, for example, [5,6,9,10,11]). The device operates in a pulsed mode, which means that the measurement instrumentation is designed to record each individual quantum of radiation that interacts in the detector ([1], Section 4.II.C). Digital converters working on a sampling frequency of are used, and the digital signal processing is implemented in a field-programmable gate array (FPGA). NGA-01 generates two outputs for each detected pulse. First, the integral of the PMT output current pulse relates to the deposited energy of the particle and is called the energy channel in this work. The second branch produces an output parameter corresponding to the type of the particle and is called the discrimination channel. The type is detected based on pulse shape discrimination and, specifically, the charge comparison method [12,13,14]. More details about NGA-01 are presented in [5].
2.3. Methods
The following steps are performed to evaluate the LOF:
- The response to neutron sources is measured and obtained on output from NGA-01. The response can be well discriminated into the response function to neutron radiation and the response function to the always present radiation [5]. The response function to the neutron source is a function of the number of detected pulses and energy channels at this stage.
- The response is calibrated using the ray sources to a function of the number of the pulses and the equivalent electron energy L.
- The detected pulses in the response are caused mostly by recoil protons with an energy lower or equal to the incident neutron energy. The equivalent electron energy L of the upper edge of the response function corresponds to the maximum recoil proton energy which is the incident neutron energy . These values are used to evaluate the LOF. The upper edge of the response function is evaluated using the derivative method [13,15] analogically to the processing of calibration in [5]:
- (a)
- The detected pulses are smoothed using the Savitzky–Golay filtering [16,17] of the 2nd order and a frame length with values between 31 and 61 using MATLAB.
- (b)
- The data are numerically differentiated and smoothed again using the same procedure as above.
- (c)
- The minimum of this function is found, and its equivalent electron energy L then corresponds to the proton energy of the same energy as the incident neutron energy .
For experiments with the silicon-filtered beam at Research Centre Řež where three edges are present, L is determined for each edge and related to the proton energies given in ([7], Figure 11).
3. Results
Figure 1 shows the two-parameter histogram of the DT reaction with an energy of detected using a 1 inch PYR5/DIPN scintillator. This is an example of the output generated by the NGA-01. This signal is then processed as described in detail in [5]. The rays and neutrons are discriminated. The quality of discrimination is characterized by the FOM function. Figure 1b shows the FOM for the measurement mentioned above. The good discrimination is seen above and the FOM reaches the value of 2 for higher energies.
Figure 1.
(a) Two-parameter histogram of the DT reaction with an energy of detected using a 1 inch PYR5/DIPN scintillator. (b) FOM for the same measurement.
Figure 2 shows two examples of measured response functions. Figure 2a shows the number of pulses detected as a function of the equivalent electron energy L for neutrons from the DT reaction with an energy of detected using the 1 inch PYR5/DIPN scintillator. The edge around is observed. From this edge, the equivalent electron energy is determined using the method described in Section 2.3.
Figure 2.
The number of pulses detected as a function of the equivalent electron energy L: (a) Neutrons from the DT reaction with an energy of detected using 1 inch PYR5/DIPN scintillator. (b) Neutrons from the DT reaction with an energy of detected using 1 inch THIO5/DIPN scintillator.
Figure 2b shows the number of detected pulses as a function of the equivalent electron energy L for neutrons from the DT reaction with an energy of detected using the 1 inch THIO5/DIPN scintillator. The edge around is also observed. From this edge, the equivalent electron energy is determined. We note that both values of the equivalent electron energy are very close. The edge of the PYR5/DIPN scintillator is narrower, corresponding to a better energy resolution.
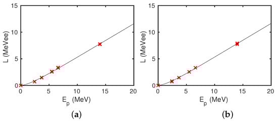
Figure 3 shows the light output function for all measurements performed. Figure 3a shows the light output function for the PYR5/DIPN scintillator and Figure 3b shows the light output function for the THIO5/DIPN scintillator. The full straight line corresponds to the theory for electrons. The electron energy is the same as the equivalent electron energy. The black circles correspond to measurements with a glass vial, the red pluses correspond to measurements with a 2 inch scintillator, and the blue x corresponds to measurements with a 1 inch scintillator. We note that due to technical issues, it was not possible to perform all measurements with all containers. All data points in Figure 3 follow the same dependency. The differences between various containers are within the range of measurement uncertainty.
Figure 3.
Light output function for all measurements detected using (a) PYR5/DIPN scintillator, (b) THIO5/DIPN scintillator.
Knowledge of the LOF is necessary for any modeling code that is used to calculate the response function of scintillators. For modeling purposes, the LOF is best served as a continuous function. The expression proposed by [18] is used for the fit:
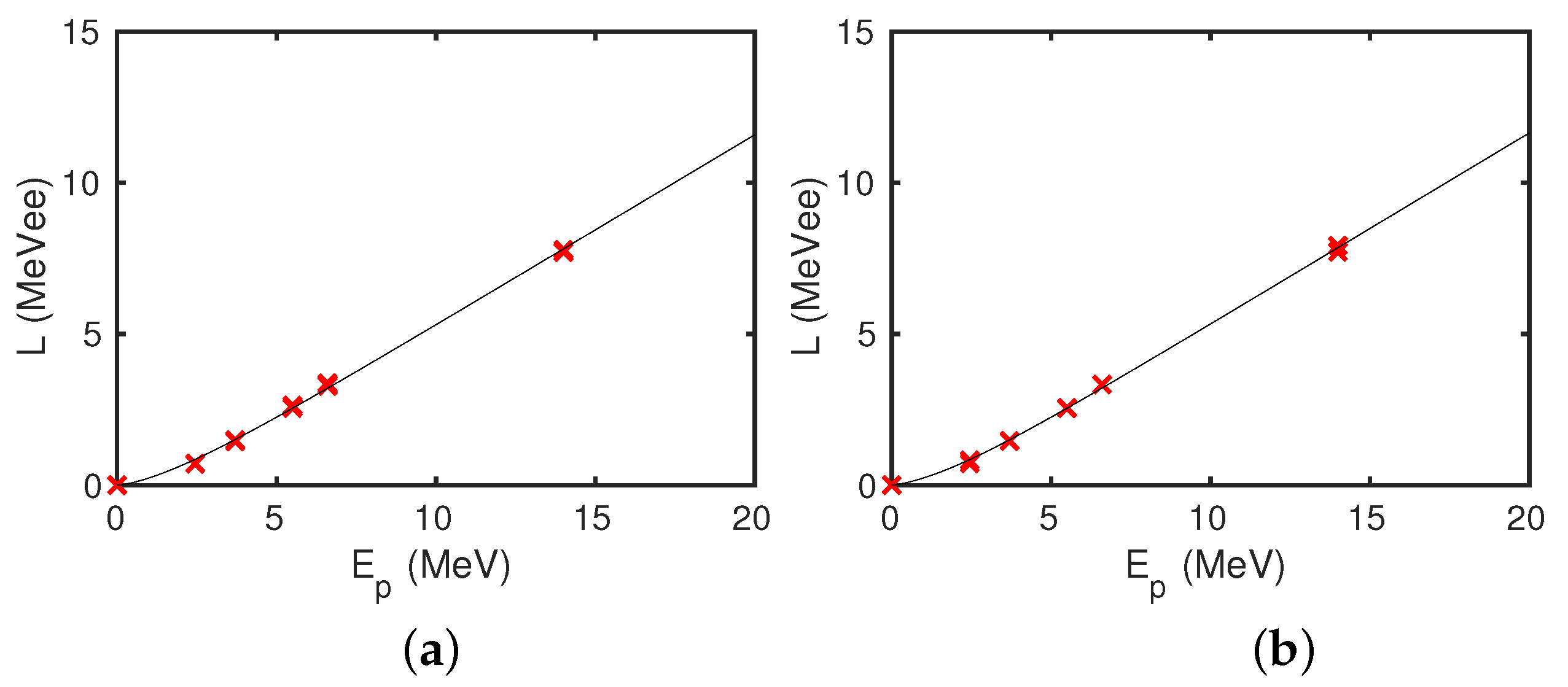
where a, b, c, and d are the parameters to fit. Independence of the LOF on a container is not guaranteed in a whole range; only the results for 1 inch scintillators are used for fit. The fit parameters for both scintillators are summarized in Table 1, and the fit function is shown with the data points in Figure 4. The fit functions are very similar for both scintillators, as the similarity of the data points would suggest.
Table 1.
Table of coefficients for the LOF fits for both scintillators. The fit function is: .
Figure 4.
Light output function for all measurements detected using a 1 inch (a) PYR5/DIPN scintillator, and (b) THIO5/DIPN scintillator. The data points are completed with fit functions for each scintillator. The fit functions are described in Table 1.
4. Discussion
The responses in Figure 2 are as expected. The responses are mostly formed from recoil protons from elastic collisions. For the responses have a more complicated structure due to additional non-elastic reactions with carbon atoms. However, that part of the spectra has no influence on the LOF evaluation.
The shape of the measured data points for the electron equivalent energy L in Figure 3 very well resembles the shape of the known LOF functions, e.g., for stilbene ([2], Figure 2), for EJ-309 organic scintillator [3], and for the trans-stilbene and small molecule organic glass scintillators [4]. In particular, the coefficients for exponential fits from [3] labeled Exponential4 and Exponential5 are very close to our results.
The scientific reason for the non-linearity of LOF on the energy of incident neutron is caused by the energy redistribution after the neutron collision with a hydrogen atom. Energy is transferred to various excited states of the organic molecules of the scintillator. Some excited states produce light of a frequency compatible with PMT, but some excited states are quenched without light radiation. This distribution varies non-linearly with incident neutron energy.
In [2], it can also be seen that the LOF function of stilbene depends on the size of the stilbene crystal for . Taking into account the range and number of data points in this work, the independence of the LOF on a container can be considered valid for , and for higher more data points will be necessary.
It is also interesting to note that from [2] (Figure 2) for , the L for stilbene is smaller than L for our scintillators. Then in stilbene, there is a bigger discrepancy between the light emission of electrons and protons. That might be one of the reasons why stilbene is great at discriminating rays and neutrons. However, as shown in [5], the PYR5/DIPN scintillator has better discriminating qualities than the THIO5/DIPN scintillator, but the LOF is almost the same. Therefore, we expect the LOF to be the same for any luminophore mixed with solvent DIPN. For the sake of confusion, we still observe for two different luminophores the differences in light yield, meaning the amount of photons generated per MeV of rays, or, equivalently, an energy channel of the Cs Compton line.
These results are planned to be used in the future for the development of a response matrix for our scintillators. Then the neutron energy spectra will be determined using the PYR5/DIPN and the THIO5/DIPN scintillators.
5. Conclusions
We obtained the light output function for protons on the PYR5/DIPN scintillator . We also obtained the light output function for protons on the THIO5/DIPN scintillator .
Author Contributions
Conceptualization, J.J. (Jaroslav Jánský), J.J. (Jiří Janda), M.K. and F.C.; measurements, J.J. (Jaroslav Jánský), J.J. (Jiří Janda), M.K., Z.M., T.B., V.M. and F.M.; data processing J.J. (Jaroslav Jánský), writing—original draft preparation, J.J. (Jaroslav Jánský); supervision, F.C. and M.K.; project administration, J.J. (Jiří Janda); funding acquisition, J.J. (Jiří Janda), M.K., Z.M. and T.B. All authors have read and agreed to the published version of the manuscript.
Funding
This research work was carried out within the ADAR project (Accelerator Driven Advanced Reactor). The authors appreciate the financial support from the Czech Republic Ministry of Education, Youth and Sports under the INTERACTION research program (project no. LTAUSA18198). The authors thank the Ministry of Defense of the Czech Republic for the financial support of the VAROPS (DZRO FVT 3) grant. This work has received funding from the Euratom 2014–2018 research and training program under grant agreement No. 847594 (ARIEL). Measurement at CTU in Prague was supported by the LM2018118 project VR-1—Support for reactor operation for research activities, which was granted by the Ministry of Education, Youth and Sports of the Czech Republic.
Institutional Review Board Statement
Not applicable.
Informed Consent Statement
Not applicable.
Data Availability Statement
We will provide the open links with data.
Conflicts of Interest
The authors declare no conflict of interest.
References
- Knoll, G.F. Radiation Detection and Measurement; John Wiley & Sons: New York, NY, USA, 2010. [Google Scholar]
- Hansen, W.; Richter, D. Determination of light output function and angle dependent correction for a stilbene crystal scintillation neutron spectrometer. Nucl. Instrum. Methods Phys. Res. Sect. A Accel. Spectrom. Detect. Assoc. Equip. 2002, 476, 195–199. [Google Scholar] [CrossRef]
- Norsworthy, M.A.; Poitrasson-Rivière, A.; Ruch, M.L.; Clarke, S.D.; Pozzi, S.A. Evaluation of neutron light output response functions in EJ-309 organic scintillators. Nucl. Instrum. Methods Phys. Res. Sect. A Accel. Spectrom. Detect. Assoc. Equip. 2017, 842, 20–27. [Google Scholar] [CrossRef] [Green Version]
- Shin, T.H.; Feng, P.L.; Carlson, J.S.; Clarke, S.D.; Pozzi, S.A. Measured neutron light-output response for trans-stilbene and small-molecule organic glass scintillators. Nucl. Instrum. Methods Phys. Res. Sect. A Accel. Spectrom. Detect. Assoc. Equip. 2019, 939, 36–45. [Google Scholar] [CrossRef]
- Jánský, J.; Janda, J.; Mazánková, V.; Cvachovec, F. Optimization of composition of liquid organic scintillators for fast neutron spectrometry. Nucl. Instrum. Methods Phys. Res. Sect. A Accel. Spectrom. Detect. Assoc. Equip. 2021, 1010, 165523. [Google Scholar] [CrossRef]
- Janda, J.; Jánský, J.; Mazánková, V.; Cvachovec, F. The Long-term Stability of Liquid Organic Scintillators Used for Gamma-neutron Separation. IEEE Trans. Nucl. Sci. 2021, 69, 768–776. [Google Scholar] [CrossRef]
- Juříček, V.; Košt’ál, M.; Losa, E.; Czakoj, T.; Matěj, Z.; Cvachovec, F.; Schulc, M.; Šimon, J.; Mravec, F.; Přenosil, V.; et al. The Application of Silicon-Filtered Beam in the Validation of Iron Cross Sections by Deep Penetration Experiments. J. Nucl. Eng. Radiat. Sci. 2021, 7, 022005. [Google Scholar] [CrossRef]
- Veškrna, M.; Matěj, Z.; Mravec, F.; Přenosil, V.; Cvachovec, F.; Košt’ál, M. Digitalized two parametric system for gamma/neutron spectrometry. In Proceedings of the 18th Topical Meeting of the Radiation Protection & Shielding Division of ANS, Knoxville, TN, USA, 14–18 September 2014. [Google Scholar]
- Košt’ál, M.; Veškrna, M.; Cvachovec, F.; Jánský, B.; Novák, E.; Rypar, V.; Milčák, J.; Losa, E.; Mravec, F.; Matěj, Z.; et al. Comparison of fast neutron spectra in graphite and FLINA salt inserted in well-defined core assembled in LR-0 reactor. Ann. Nucl. Energy 2015, 83, 216–225. [Google Scholar] [CrossRef] [Green Version]
- Košt’ál, M.; Matěj, Z.; Cvachovec, F.; Rypar, V.; Losa, E.; Rejchrt, J.; Mravec, F.; Veškrna, M. Measurement and calculation of fast neutron and gamma spectra in well defined cores in LR-0 reactor. Appl. Radiat. Isot. 2017, 120, 45–50. [Google Scholar] [CrossRef]
- Mravec, F. Numerical Processing of Spectrometric Data. Ph.D. Thesis, Faculty of Informatics, Masaryk University, Brno, Czech Republic, 2017. [Google Scholar]
- Brooks, F. A scintillation counter with neutron and gamma-ray discriminators. Nucl. Instrum. Methods 1959, 4, 151–163. [Google Scholar] [CrossRef]
- Kaschuck, Y.; Esposito, B. Neutron/γ-ray digital pulse shape discrimination with organic scintillators. Nucl. Instrum. Methods Phys. Res. Sect. A Accel. Spectrom. Detect. Assoc. Equip. 2005, 551, 420–428. [Google Scholar] [CrossRef]
- Howarth, P. High count rate performance of NE213 scintillation detectors with associated pulse shape discrimination electronics. Nucl. Instrum. Methods Phys. Res. Sect. A Accel. Spectrom. Detect. Assoc. Equip. 1996, 376, 67–81. [Google Scholar] [CrossRef]
- Safari, M.; Davani, F.A.; Afarideh, H. Differentiation method for localization of Compton edge in organic scintillation detectors. arXiv 2016, arXiv:1610.09185. [Google Scholar]
- Savitzky, A.; Golay, M.J. Smoothing and differentiation of data by simplified least squares procedures. Anal. Chem. 1964, 36, 1627–1639. [Google Scholar] [CrossRef]
- Schafer, R.W. What Is a Savitzky-Golay Filter? [Lecture Notes]. IEEE Signal Process. Mag. 2011, 28, 111–117. [Google Scholar] [CrossRef]
- Cecil, R.; Anderson, B.; Madey, R. Improved predections of neutron detection efficiency for hydrocarbon scintillators from 1 MeV to about 300 MeV. Nucl. Instrum. Methods 1979, 161, 439–447. [Google Scholar] [CrossRef]
Publisher’s Note: MDPI stays neutral with regard to jurisdictional claims in published maps and institutional affiliations. |
© 2022 by the authors. Licensee MDPI, Basel, Switzerland. This article is an open access article distributed under the terms and conditions of the Creative Commons Attribution (CC BY) license (https://creativecommons.org/licenses/by/4.0/).



