Modified Asphalt with Graphene-Enhanced Polymeric Compound: A Case Study
Abstract
1. Introduction
- a modified AC with graphene and selected recycled hard plastics compound;
- a hard-modified AC with styrene–butadiene–styrene (SBS) polymer;
- a soft-modified AC with a polymeric compound;
- an unmodified AC.
2. Materials and Methods
- A modified AC with graphene and selected recycled hard plastics was adopted for S1 (PMA)
- For S2, a hard-modified AC with styrene–butadiene–styrene (SBS) polymer was used (PMB)
- For S3, a soft-modified AC with a polymer compound (M3) was adopted (PMA)
- For S4, an unmodified AC (M4) was used.
2.1. Asphalt Mixture Characteristics
2.2. Asphalt Mixture Performance Tests (Laboratory)
2.2.1. Indirect Tensile Strength Modulus (ITSM) Test
2.2.2. Indirect Tensile Fatigue (ITF) Test
2.2.3. Hamburg Wheel Tracking (HWT) Test
2.3. In Situ Tests
2.3.1. Pavement Condition Index (PCI)
2.3.2. Falling Weight Deflectometer Tests (FWD)
3. Results and Discussion
3.1. Laboratory Test Results
3.1.1. ITSM Results
3.1.2. ITF Results
3.1.3. HWT Results
3.2. In Situ Test Results
3.2.1. PCI Results
3.2.2. FWD Results
- Phase 1: six months after paving;
- Phase 2: one year after paving;
- Phase 3: two years after paving;
- Phase 4: four years after paving;
- Phase 5: five years after paving.
4. Conclusions
- Laboratory ITSM tests indicated that the material containing the GPC exhibited the highest stiffness values at different temperatures, especially at intermediate to high temperatures (+16% at 20 °C and +30% at 40 °C when compared to M2);
- ITF test results demonstrated the best fatigue behavior in the GPC mixture, which was further confirmed by in situ tests;
- The addition of the GPC also led to a significant improvement in terms of resistance to permanent deformation at high temperatures (HWT), aligning with the high-temperature ITSM test results (+13%, +15%, and +19.5% compared to M2, M3, and M4, respectively);
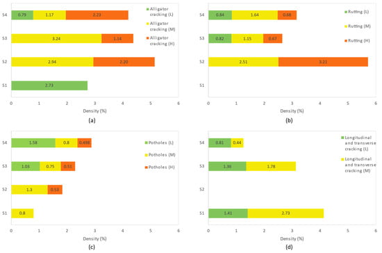
- The surveys conducted and the calculation of the PCI index provided a clear picture of the level of degradation reached at the end of the life cycle of the four sections. S1 had a PCI index of 65, while S2 to S4 sections returned PCI values equal to 17, 28, and 29, respectively. The significant difference in the index between S1 and the remaining sections indicates that the mixture M1 proved to be the most adept at enduring heavy traffic loads, but was more susceptible to thermal cracking;
- Over a five-year monitoring period, the FWD test results have provided significant knowledge into the long-term performance of the different ACs. S1 consistently showed higher modulus values than the other sections. This is an indication of a long-term structural integrity and superior resistance to deformation under traffic loads over 6 years. On the other hand, S2, S3, and S4 showed a gradual decrease in the elastic modulus. This trend suggests a greater susceptibility to structural degradation over time. These long-term FWD results are critical in demonstrating the effectiveness of the GPC mixture in extending the life and maintaining the structural integrity of road pavements, particularly given high traffic loads and varying climatic conditions.
Author Contributions
Funding
Data Availability Statement
Acknowledgments
Conflicts of Interest
References
- Mohod, M.V.; Kadam, D.K.N. A Comparative Study on Rigid and Flexible Pavement: A Review. IOSR J. Mech. Civ. Eng. IOSR-JMCE 2016, 13, 84–88. [Google Scholar]
- Ventura, R. Bridge’s Vehicular Loads Characterization through Weight-In-Motion (WIM) Systems. The Case Study of Brescia. Eur. Transp. 2023, 1–12. [Google Scholar] [CrossRef]
- Ventura, R.; Barabino, B.; Vetturi, D.; Maternini, G. Monitoring Vehicles with Permits and That Are Illegally Overweight on Bridges Using Weigh-In-Motion (WIM) Devices: A Case Study from Brescia. Case Stud. Transp. Policy 2023, 13, 101023. [Google Scholar] [CrossRef]
- Liu, Y.; Su, P.; Li, M.; You, Z.; Zhao, M. Review on Evolution and Evaluation of Asphalt Pavement Structures and Materials. J. Traffic Transp. Eng. (Engl. Ed.) 2020, 7, 573–599. [Google Scholar] [CrossRef]
- Assogba, O.C.; Tan, Y.; Sun, Z.; Lushinga, N.; Bin, Z. Effect of Vehicle Speed and Overload on Dynamic Response of Semi-Rigid Base Asphalt Pavement. Road Mater. Pavement Des. 2021, 22, 572–602. [Google Scholar] [CrossRef]
- Kamal, I.; Bas, Y. Materials and Technologies in Road Pavements—An Overview. Mater. Today Proc. 2021, 42, 2660–2667. [Google Scholar] [CrossRef]
- Ullah, S.; Yang, C.; Cao, L.; Wang, P.; Chai, Q.; Li, Y.; Wang, L.; Dong, Z.; Lushinga, N.; Zhang, B. Material Design and Performance Improvement of Conductive Asphalt Concrete Incorporating Carbon Fiber and Iron Tailings. Constr. Build. Mater. 2021, 303, 124446. [Google Scholar] [CrossRef]
- Chen, Y.; Wang, H.; Xu, S.; You, Z. High Modulus Asphalt Concrete: A State-of-the-Art Review. Constr. Build. Mater. 2020, 237, 117653. [Google Scholar] [CrossRef]
- Abed, A.H.; Bahia, H.U. Enhancement of Permanent Deformation Resistance of Modified Asphalt Concrete Mixtures with Nano-High Density Polyethylene. Constr. Build. Mater. 2020, 236, 117604. [Google Scholar] [CrossRef]
- Heitzman, M.A. State of the Practice: Design and Construction of Asphalt Paving Materials with Crumb-Rubber Modifier. Final Report; Federal Highway Administration, Office of Engineering: Washington, DC, USA, 1992.
- Alfayez, S.A.; Suleiman, A.R.; Nehdi, M.L. Recycling Tire Rubber in Asphalt Pavements: State of the Art. Sustainability 2020, 12, 9076. [Google Scholar] [CrossRef]
- Habbouche, J.; Boz, I.; Diefenderfer, B.K.; Smith, B.C.; Adel, S.H. State of the Practice for High Polymer-Modified Asphalt Binders and Mixtures. Transp. Res. Rec. 2021, 2675, 235–247. [Google Scholar] [CrossRef]
- Zhu, J.; Birgisson, B.; Kringos, N. Polymer Modification of Bitumen: Advances and Challenges. Eur. Polym. J. 2014, 54, 18–38. [Google Scholar] [CrossRef]
- Brasileiro, L.; Moreno-Navarro, F.; Tauste-Martínez, R.; Matos, J.; del Carmen Rubio-Gámez, M. Reclaimed Polymers as Asphalt Binder Modifiers for More Sustainable Roads: A Review. Sustainability 2019, 11, 646. [Google Scholar] [CrossRef]
- Prahara, E.; Aswita, F.; Shinta, E.S.N.P. The Effect of High-Density Polyethylene (HDPE) and Low-Density Polyethylene (LDPE) on Characteristics of Asphalt Concrete with Dry and Wet Mixing Process. IOP Conf. Ser. Mater. Sci. Eng. 2020, 852, 012056. [Google Scholar] [CrossRef]
- Miranda, H.M.B.; Domingues, D.; Rato, M.J. The Influence of Recycled Plastics Added via the Dry Process on the Properties of Bitumen and Asphalt Mixtures. Transp. Eng. 2023, 13, 100197. [Google Scholar] [CrossRef]
- Duarte, G.M.; Faxina, A.L. Asphalt Concrete Mixtures Modified with Polymeric Waste by the Wet and Dry Processes: A Literature Review. Constr. Build. Mater. 2021, 312, 125408. [Google Scholar] [CrossRef]
- Asim, N.; Badiei, M.; Samsudin, N.A.; Mohammad, M.; Razali, H.; Soltani, S.; Amin, N. Application of Graphene-Based Materials in Developing Sustainable Infrastructure: An Overview. Compos. Part B Eng. 2022, 245, 110188. [Google Scholar] [CrossRef]
- Eskandarsefat, S.; Dondi, G.; Sangiorgi, C. Recycled and Rubberized SMA Modified Mixtures: A Comparison between Polymer Modified Bitumen and Modified Fibres. Constr. Build. Mater. 2019, 202, 681–691. [Google Scholar] [CrossRef]
- Riekstins, A.; Baumanis, J.; Barbars, J. Laboratory Investigation of Crumb Rubber in Dense Graded Asphalt by Wet and Dry Processes. Constr. Build. Mater. 2021, 292, 123459. [Google Scholar] [CrossRef]
- Tahami, S.A.; Mirhosseini, A.F.; Dessouky, S.; Mork, H.; Kavussi, A. The Use of High Content of Fine Crumb Rubber in Asphalt Mixes Using Dry Process. Constr. Build. Mater. 2019, 222, 643–653. [Google Scholar] [CrossRef]
- Nizamuddin, S.; Boom, Y.J.; Giustozzi, F. Sustainable Polymers from Recycled Waste Plastics and Their Virgin Counterparts as Bitumen Modifiers: A Comprehensive Review. Polymers 2021, 13, 3242. [Google Scholar] [CrossRef]
- Ranieri, M.; Costa, L.; Oliveira, J.R.M.; Silva, H.M.R.D.; Celauro, C. Asphalt Surface Mixtures with Improved Performance Using Waste Polymers via Dry and Wet Processes. J. Mater. Civ. Eng. 2017, 29, 04017169. [Google Scholar] [CrossRef]
- Xu, F.; Zhao, Y.; Li, K. Using Waste Plastics as Asphalt Modifier: A Review. Materials 2022, 15, 110. [Google Scholar] [CrossRef] [PubMed]
- Venturini, L.; Eskandarsefat, S. High performance PMA: From polymeric compounds to graphene-based super modifier. In Proceedings of the 26th World Road CongressWorld Road Association (PIARC), Abu Dhabi, United Arab Emirates, 6–10 October 2019. [Google Scholar]
- Munera, J.C.; Ossa, E.A. Polymer Modified Bitumen: Optimization and Selection. Mater. Des. (1980–2015) 2014, 62, 91–97. [Google Scholar] [CrossRef]
- Lastra-González, P.; Calzada-Pérez, M.A.; Castro-Fresno, D.; Vega-Zamanillo, Á.; Indacoechea-Vega, I. Comparative Analysis of the Performance of Asphalt Concretes Modified by Dry Way with Polymeric Waste. Constr. Build. Mater. 2016, 112, 1133–1140. [Google Scholar] [CrossRef]
- Viscione, N.; Lo Presti, D.; Veropalumbo, R.; Oreto, C.; Biancardo, S.A.; Russo, F. Performance-Based Characterization of Recycled Polymer Modified Asphalt Mixture. Constr. Build. Mater. 2021, 310, 125243. [Google Scholar] [CrossRef]
- Mishra, B.; Gupta, M.K. Use of Plastic Waste in Bituminous Mixes by Wet and Dry Methods. Proc. Inst. Civ. Eng.-Munic. Eng. 2020, 173, 87–97. [Google Scholar] [CrossRef]
- Ma, Y.; Zhou, H.; Jiang, X.; Polaczyk, P.; Xiao, R.; Zhang, M.; Huang, B. The Utilization of Waste Plastics in Asphalt Pavements: A Review. Clean. Mater. 2021, 2, 100031. [Google Scholar] [CrossRef]
- Movilla-Quesada, D.; Raposeiras, A.C.; Silva-Klein, L.T.; Lastra-González, P.; Castro-Fresno, D. Use of Plastic Scrap in Asphalt Mixtures Added by Dry Method as a Partial Substitute for Bitumen. Waste Manag. 2019, 87, 751–760. [Google Scholar] [CrossRef]
- Bocci, E.; Prosperi, E.; Bocci, M. Influence of the Hot-Mix Asphalt Production Temperature on the Effectiveness of the Reclaimed Asphalt Rejuvenation Process. Infrastructures 2023, 8, 8. [Google Scholar] [CrossRef]
- Guo, M.; Liu, H.; Jiao, Y.; Mo, L.; Tan, Y.; Wang, D.; Liang, M. Effect of WMA-RAP Technology on Pavement Performance of Asphalt Mixture: A State-of-the-Art Review. J. Clean. Prod. 2020, 266, 121704. [Google Scholar] [CrossRef]
- Fiore, N.; Bruno, S.; Del Serrone, G.; Iacobini, F.; Giorgi, G.; Rinaldi, A.; Moretti, L.; Duranti, G.M.; Peluso, P.; Vita, L.; et al. Experimental Analysis of Hot-Mix Asphalt (HMA) Mixtures with Reclaimed Asphalt Pavement (RAP) in Railway Sub-Ballast. Materials 2023, 16, 1335. [Google Scholar] [CrossRef] [PubMed]
- Suchismita, A.; Singh, D. Rheological Performance of Bitumen Mixed with Laboratory Simulated Polymerized RAP Binders. Constr. Build. Mater. 2023, 400, 132706. [Google Scholar] [CrossRef]
- Moreno-Navarro, F.; Sierra, F.J.; Sol-Sánchez, M.; Rubio-Gámez, M.C.; Castillo, M.; Estévez, E. High-Performance Sustainable Asphalt Mixtures for High-Volume Traffic Roads in Severe Climates. Sustainability 2020, 12, 8765. [Google Scholar] [CrossRef]
- Huang, G.; Zhang, J.; Hui, B.; Zhang, H.; Guan, Y.; Guo, F.; Li, Y.; He, Y.; Wang, D. Analysis of Modulus Properties of High-Modulus Asphalt Mixture and Its New Evaluation Index of Rutting Resistance. Sustainability 2023, 15, 7574. [Google Scholar] [CrossRef]
- Mi, S.-Z.; Li, Y.-X.; Zhang, H.-W. Preparation and Characterization of High Modulus Agent Modified Asphalt and Its High Modulus Mixture. Adv. Mater. Sci. Eng. 2022, 2022, 2374241. [Google Scholar] [CrossRef]
- Moreno-Navarro, F.; Sol-Sánchez, M.; Tomás-Fortún, E.; Rubio-Gámez, M.C. High-Modulus Asphalt Mixtures Modified with Acrylic Fibers for Their Use in Pavements under Severe Climate Conditions. J. Cold Reg. Eng. 2016, 30, 04016003. [Google Scholar] [CrossRef]
- Ma, T.; Ding, X.; Zhang, D.; Huang, X.; Chen, J. Experimental Study of Recycled Asphalt Concrete Modified by High-Modulus Agent. Constr. Build. Mater. 2016, 128, 128–135. [Google Scholar] [CrossRef]
- Ranieri, M.; Celauro, C. Improvement of High Modulus Asphalt Mixtures with Average Quality Aggregate and Bitumen by Application of Polymeric Additives. Constr. Build. Mater. 2018, 178, 183–194. [Google Scholar] [CrossRef]
- Li, P.; Zheng, M.; Wang, F.; Che, F.; Li, H.; Ma, Q.; Wang, Y. Laboratory Performance Evaluation of High Modulus Asphalt Concrete Modified with Different Additives. Adv. Mater. Sci. Eng. 2017, 2017, e7236153. [Google Scholar] [CrossRef]
- Russo, F.; Eskandarsefat, S.; Venturini, L.; Viscione, N. A Complete Study on an Asphalt Concrete Modified with Graphene and Recycled Hard-Plastics: A Case Study. Case Stud. Constr. Mater. 2022, 17, e01437. [Google Scholar] [CrossRef]
- D’Angelo, S.; Ferrotti, G.; Cardone, F.; Canestrari, F. Asphalt Binder Modification with Plastomeric Compounds Containing Recycled Plastics and Graphene. Materials 2022, 15, 516. [Google Scholar] [CrossRef]
- Zhou, H.-Y.; Dou, H.-B.; Chen, X.-H. Rheological Properties of Graphene/Polyethylene Composite Modified Asphalt Binder. Materials 2021, 14, 3986. [Google Scholar] [CrossRef]
- Moretti, L.; Fabrizi, N.; Fiore, N.; D’Andrea, A. Mechanical Characteristics of Graphene Nanoplatelets-Modified Asphalt Mixes: A Comparison with Polymer-and Not-Modified Asphalt Mixes. Materials 2021, 14, 2434. [Google Scholar] [CrossRef]
- Perucca, M.; Capuano, L.; Magatti, G.; Rosa, F.; Mantecca, P. Environmental Performance of Road Asphalts Modified with End-of-Life Hard Plastics and Graphene: Strategies for Improving Sustainability. Processes 2022, 10, 2151. [Google Scholar] [CrossRef]
- CNR. Catalogo delle Pavimentazioni Stradali, B.U. n. 178 Parte IV—Norme Tecniche; Consiglio Nazionale delle Ricerche: Rome, Italy, 1995. (In Italian) [Google Scholar]
- Documenti Tecnici|Anas, S.p.A. Available online: https://www.stradeanas.it/it/lazienda/attivit%C3%A0/documenti-tecnici (accessed on 10 July 2023).
- UNI EN 12697-1:2006; Miscele Bituminose—Metodi di Prova per Conglomerati Bituminosi a Caldo—Parte 1: Contenuto di Legante Solubile. Ente Nazionale Italiano di Unificazione (UNI): Milan, Italy, 2006; 51p.
- UNI EN 12697-2:2019; Miscele Bituminose—Metodi di Prova—Parte 2: Determinazione della Granulometria. UNI Ente Italiano Di Normazione: Milan, Italy, 2020.
- Iwański, M.M. Effect of Hydrated Lime on Indirect Tensile Stiffness Modulus of Asphalt Concrete Produced in Half-Warm Mix Technology. Materials 2020, 13, 4731. [Google Scholar] [CrossRef] [PubMed]
- Chen, H.; Alamnie, M.M.; Barbieri, D.M.; Zhang, X.; Liu, G.; Hoff, I. Comparative Study of Indirect Tensile Test and Uniaxial Compression Test on Asphalt Mixtures: Dynamic Modulus and Stress-Strain State. Constr. Build. Mater. 2023, 366, 130187. [Google Scholar] [CrossRef]
- Seyed, A.S.; Dariush, M.; Danial, M. Effect of Stiffness Modulus and Dynamic Loading on Pavement Subgrade. J. Civ. Eng. Constr. Technol. 2014, 5, 30–34. [Google Scholar] [CrossRef]
- UNI EN 12697‐26:2018; Bituminous Mixtures—Test Methods—Part 26: Stiffness. UNI Ente Italiano Di Normazione: Milan, Italy, 2018; 49p.
- Bańkowski, W. Evaluation of Fatigue Life of Asphalt Concrete Mixtures with Reclaimed Asphalt Pavement. Appl. Sci. 2018, 8, 469. [Google Scholar] [CrossRef]
- Gul, M.A.; Irfan, M.; Ahmed, S.; Ali, Y.; Khanzada, S. Modelling and Characterising the Fatigue Behaviour of Asphaltic Concrete Mixtures. Constr. Build. Mater. 2018, 184, 723–732. [Google Scholar] [CrossRef]
- Wang, Y.D.; Keshavarzi, B.; Kim, Y.R. Fatigue Performance Prediction of Asphalt Pavements with FlexPAVETM, the S-VECD Model, and DR Failure Criterion. Transp. Res. Rec. 2018, 2672, 217–227. [Google Scholar] [CrossRef]
- UNI EN 12697-24:2018; Bituminous Mixtures—Test Methods—Part 24: Resistance to Fatigue. Ente Nazionale Italiano di Unificazione (UNI): Milan, Italy, 2018; 111p.
- Zhao, Z.; Jiang, J.; Ni, F.; Dong, Q.; Ding, J.; Ma, X. Factors Affecting the Rutting Resistance of Asphalt Pavement Based on the Field Cores Using Multi-Sequenced Repeated Loading Test. Constr. Build. Mater. 2020, 253, 118902. [Google Scholar] [CrossRef]
- Zhu, T.; Ma, T.; Huang, X.; Wang, S. Evaluating the Rutting Resistance of Asphalt Mixtures Using a Simplified Triaxial Repeated Load Test. Constr. Build. Mater. 2016, 116, 72–78. [Google Scholar] [CrossRef]
- Alkaissi, Z.A. Effect of High Temperature and Traffic Loading on Rutting Performance of Flexible Pavement. J. King Saud Univ.-Eng. Sci. 2020, 32, 1–4. [Google Scholar] [CrossRef]
- UNI EN 12697-22:2004; Miscele Bituminose—Metodi di Prova per Conglomerati Bituminosi a Caldo—Metodo Della Traccia Delle Ruote (Wheel Tracking). Ente Nazionale Italiano di Unificazione (UNI): Milan, Italy, 2004; 33p.
- Capitão, S.; Picado-Santos, L. Applications, Properties and Design of High Modulus Bituminous Mixtures. Road Mater. Pavement Des. 2006, 7, 103–117. [Google Scholar] [CrossRef]
- UNI EN 12697-33:2004; Miscele Bituminose—Metodi di Prova per Conglomerati Bituminosi a Caldo—Provino Preparato con Compattatore a Rullo. Ente Nazionale Italiano di Unificazione (UNI): Milan, Italy, 2004; 23p.
- Standard Practice for Roads and Parking Lots Pavement Condition Index Surveys; ASTM International: West Conshohocken, PA, USA, 2021.
- Loprencipe, G.; Cantisani, G.; Di Mascio, P. Global assessment method of road distresses. In Life-Cycle of Structural Systems: Design, Assessment, Maintenance and Management—Proceedings of the 4th International Symposium on Life-Cycle Civil Engineering, IALCCE, Tokyo, Japan, 16–19 November 2014; International Association for Life Cycle Civil Engineering: Delft, The Netherlands, 2015; pp. 1113–1120. ISBN 978-113800120-6. [Google Scholar] [CrossRef]
- Bruno, S.; Colonnese, S.; Scarano, G.; Del Serrone, G.; Loprencipe, G. Pavement Distress Estimation via Signal on Graph Processing. Sensors 2022, 22, 9183. [Google Scholar] [CrossRef] [PubMed]
- Bruno, S.; Vita, L.; Loprencipe, G. Development of a GIS-Based Methodology for the Management of Stone Pavements Using Low-Cost Sensors. Sensors 2022, 22, 6560. [Google Scholar] [CrossRef] [PubMed]
- Sahis, M.K.; Biswas, P.P. Optimization of Bituminous Pavement Thickness Using Mechanistic-Empirical Strain-Based Design Approach. Civ. Eng. J. 2021, 7, 804–815. [Google Scholar] [CrossRef]
- Dalla Valle, P.; Thom, N. Improvement to Method of Equivalent Thicknesses (MET) for Calculation of Critical Strains for Flexible Pavements. Int. J. Pavement Eng. 2018, 19, 1053–1060. [Google Scholar] [CrossRef]
- ELMOD. Available online: https://dynatest.com/elmod/ (accessed on 10 January 2024).
- Appea, A.K.; Al-Qadi, I.L. Assessment of Falling Weight Deflectometer Data for Stabilized Flexible Pavements. Transp. Res. Rec. 2000, 1709, 19–25. [Google Scholar] [CrossRef]
- Mahoney, J.P.; Coetzee, N.F.; Stubstad, R.N.; Lee, S.W. A Performance Comparison of Selected Backcalculation Computer Programs. Nondestruct. Test. Pavements Backcalc. Moduli 1989, 452–467. [Google Scholar]
- Guzzarlapudi, S.D.; kumar Adigopula, V.; Kumar, R. Comparative Study of Flexible Pavement Layers Moduli Backcalculation Using Approximate and Static Approach. Mater. Today Proc. 2017, 4, 9812–9816. [Google Scholar] [CrossRef]
- Chou, Y.J.; Lytton, R.L. Accuracy and Consistency of Backcalculated Pavement Layer Moduli. Transp. Res. Rec. 1991, 1293, 72–85. [Google Scholar]
- Wu, J.; Wang, H.; Liu, Q.; Gao, Y.; Liu, S. A Temperature-Independent Methodology for Polymer Bitumen Modification Evaluation Based on DSR Measurement. Polymers 2022, 14, 848. [Google Scholar] [CrossRef] [PubMed]
- Moreno-Navarro, F.; Sol-Sánchez, M.; Gámiz, F.; Rubio-Gámez, M.C. Mechanical and Thermal Properties of Graphene Modified Asphalt Binders. Constr. Build. Mater. 2018, 180, 265–274. [Google Scholar] [CrossRef]
- Judycki, J.; Jaskula, P.; Dolzycki, B.; Pszczola, M.; Jaczewski, M.; Rys, D.; Stienss, M. Investigation of Low-Temperature Cracking in Newly Constructed High-Modulus Asphalt Concrete Base Course of a Motorway Pavement. Road Mater. Pavement Des. 2015, 16, 362–388. [Google Scholar] [CrossRef]
- Rys, D.; Judycki, J.; Pszczola, M.; Jaczewski, M.; Mejlun, L. Comparison of Low-Temperature Cracks Intensity on Pavements with High Modulus Asphalt Concrete and Conventional Asphalt Concrete Bases. Constr. Build. Mater. 2017, 147, 478–487. [Google Scholar] [CrossRef]
- Pantuso, A.; Flintsch, G.W.; Katicha, S.W.; Loprencipe, G. Development of Network-Level Pavement Deterioration Curves Using the Linear Empirical Bayes Approach. Int. J. Pavement Eng. 2021, 22, 780–793. [Google Scholar] [CrossRef]
- Prezzario Regionale Delle Opere Pubbliche. Available online: https://www.regione.lombardia.it/wps/portal/istituzionale/HP/DettaglioServizio/servizi-e-informazioni/Enti-e-Operatori/Autonomie-locali/Acquisti-e-contratti-pubblici/Osservatorio-regionale-contratti-pubblici/prezzario-opere-pubbliche/prezzario-opere-pubbliche (accessed on 13 February 2024).














| Month | Light Vehicles (<3500 kg) | Heavy Vehicles (>3500 kg) | ||
|---|---|---|---|---|
| Passages | % of Total | Passages | % of Total | |
| January 2019 | 142,940 | 84.02 | 27,184 | 15.98 |
| February 2019 | 141,676 | 83.61 | 27,791 | 16.39 |
| March 2019 | 185,247 | 84.01 | 35,258 | 15.99 |
| April 2019 | 181,014 | 83.52 | 35,727 | 16.48 |
| May 2019 | 192,043 | 83.00 | 39,332 | 17.01 |
| June 2019 | 207,741 | 83.74 | 40,323 | 16.25 |
| July 2019 | 216,002 | 82.68 | 45,256 | 17.31 |
| August 2019 | 165,138 | 81.49 | 37,504 | 18.51 |
| September 2019 | 196,801 | 83.35 | 39,341 | 16.66 |
| October 2019 | 194,612 | 82.93 | 40,055 | 17.07 |
| November 2019 | 145,539 | 80.29 | 35,723 | 19.70 |
| December 2019 | 133,540 | 81.06 | 31,214 | 18.95 |
| Annual (2019) | 2,102,293 | 82.80 | 434,708 | 17.19 |
| MIX ID | Layer | Bitumen/Mixture (% by Weight of Aggregate) |
|---|---|---|
| M1 | Wearing | 5.95 |
| Binder-base | 4.78 | |
| M2 | Wearing | 6.45 |
| Binder-base | 5.03 | |
| M3 | Wearing | 6.62 |
| Binder-base | 4.41 | |
| M4 | Wearing | 6.32 |
| Binder-base | 3.80 |
| MIX ID | Layer | Type of Modified | Modifier/Bitumen (% by Weight) | RAP Surface Layer (%) | Rejuvenator (%) |
|---|---|---|---|---|---|
| M1 | Wearing | Graphene-based Compound (GPC) | 5 | 30 | 0.2 |
| Binder-base | 40 | ||||
| M2 | Wearing | Hard-SBS | 5 | 30 | |
| Binder-base | 40 | ||||
| M3 | Wearing | Soft-Polymer Compound | 3 | 30 | |
| Binder-base | 40 | ||||
| M4 | Wearing | Not modified | - | 30 | |
| Binder-base | 40 |
| PCI Values | Short Description |
|---|---|
| 86–100 | Good |
| 71–85 | Satisfactory |
| 56–70 | Fair |
| 41–55 | Poor |
| 26–40 | Very Poor |
| 11–25 | Serious |
| 0–10 | Failed |
| Section | SU ID | Area (m2) | Length (m) | Average Width (m) |
|---|---|---|---|---|
| S1 | #1 | 193.7 | 66.0 | 2.93 |
| #2 | 195.6 | 66.8 | 2.93 | |
| #3 | 192.5 | 65.9 | 2.92 | |
| S2 | #4 | 190.6 | 66.3 | 2.87 |
| #5 | 188.1 | 65.6 | 2.87 | |
| #6 | 193.3 | 65.5 | 2.95 | |
| S3 | #7 | 195.1 | 65.8 | 2.97 |
| #8 | 189.6 | 65.9 | 2.88 | |
| #9 | 190.4 | 66.1 | 2.88 | |
| S4 | #10 | 193.0 | 66.1 | 2.92 |
| #11 | 193.1 | 66.2 | 2.92 | |
| #12 | 225.8 | 77.2 | 2.92 |
| ASTM Name | Unit of Measure | Cause |
|---|---|---|
| Alligator cracking | m2 | Traffic load |
| Rutting | m2 | Traffic load |
| Longitudinal and transverse cracking | m | Climatic/Construction defect |
| Potholes | [-] | Traffic load |
| Depression | m2 | Poor soil/Construction defect |
| Section | SU ID | Prevalent Distress | PCI | Sample Photo |
|---|---|---|---|---|
| S1 | #1 | Longitudinal and transverse cracking (L) | 91 | ![]() |
| #2 | Alligator cracking (L) Longitudinal and transverse cracking (L) | 58 | ![]() | |
| #3 | Depression (H) Longitudinal and transverse cracking (L) | 46 | ![]() | |
| PCIS1 = 65 | ||||
| S2 | #4 | Alligator cracking (H) Rutting (M) Potholes (M) | 11 | ![]() |
| #5 | Alligator cracking (M) Rutting (H) Potholes (H) | 12 | ![]() | |
| #6 | Alligator cracking (H) Rutting (H) Potholes (H) | 15 | ![]() | |
| PCIS2 = 17 | ||||
| S3 | #7 | Alligator cracking (H) Rutting (H) Potholes (H) | 22 | ![]() |
| #8 | Alligator cracking (M) Potholes (L) | 30 | ![]() | |
| #9 | Alligator cracking (H) Potholes (H) Rutting (H) Edge cracking (M) | 21 | ![]() | |
| PCIS3 = 28 | ||||
| S4 | #10 | Alligator cracking (H) Potholes (L) Rutting (H) | 28 | ![]() |
| #11 | Alligator cracking (L) Potholes (L) Rutting (M) | 34 | ![]() | |
| #12 | Alligator cracking (H) Rutting (M) Potholes (H) | 26 | ![]() | |
| PCIS4 = 29 | ||||
| Mixture | Layer | Price (€/m2) | Total Price (€/m2) |
|---|---|---|---|
| M1 | Wearing | 10.43 | 29.31 |
| Binder-base | 18.88 | ||
| M2 | Wearing | 8.23 | 25.27 |
| Binder-base | 17.04 | ||
| M3 | Wearing | 7.94 | 22.77 |
| Binder-base | 14.83 | ||
| M4 | Wearing | 7.54 | 21.57 |
| Binder-base | 14.03 |
Disclaimer/Publisher’s Note: The statements, opinions and data contained in all publications are solely those of the individual author(s) and contributor(s) and not of MDPI and/or the editor(s). MDPI and/or the editor(s) disclaim responsibility for any injury to people or property resulting from any ideas, methods, instructions or products referred to in the content. |
© 2024 by the authors. Licensee MDPI, Basel, Switzerland. This article is an open access article distributed under the terms and conditions of the Creative Commons Attribution (CC BY) license (https://creativecommons.org/licenses/by/4.0/).
Share and Cite
Bruno, S.; Carpani, C.; Loprencipe, G.; Venturini, L.; Vita, L. Modified Asphalt with Graphene-Enhanced Polymeric Compound: A Case Study. Infrastructures 2024, 9, 39. https://doi.org/10.3390/infrastructures9030039
Bruno S, Carpani C, Loprencipe G, Venturini L, Vita L. Modified Asphalt with Graphene-Enhanced Polymeric Compound: A Case Study. Infrastructures. 2024; 9(3):39. https://doi.org/10.3390/infrastructures9030039
Chicago/Turabian StyleBruno, Salvatore, Carlo Carpani, Giuseppe Loprencipe, Loretta Venturini, and Lorenzo Vita. 2024. "Modified Asphalt with Graphene-Enhanced Polymeric Compound: A Case Study" Infrastructures 9, no. 3: 39. https://doi.org/10.3390/infrastructures9030039
APA StyleBruno, S., Carpani, C., Loprencipe, G., Venturini, L., & Vita, L. (2024). Modified Asphalt with Graphene-Enhanced Polymeric Compound: A Case Study. Infrastructures, 9(3), 39. https://doi.org/10.3390/infrastructures9030039













