Numerical Modeling of the Ultimate Bearing Capacity of Strip Footings on Reinforced Sand Layer Overlying Clay with Voids
Abstract
1. Introduction
2. Objectives of the Study
3. Defining the Problem
4. Finite Difference Method
5. Verification
6. Results and Discussion
6.1. Effect of the Parameter Clay and Angle of Sand on the Ultimate Bearing Capacity Ratio qu/γB
6.2. Effect of the Undrained Shear Strength Ratio (Cu/γB)
6.3. Effect of the Vertical Distance of the Void (D/B)
6.4. Effect of the Horizontal Distance (E/B) of the Single Void
6.5. Effect of the Top Layer Thickness (H/B)
6.6. Effect of a Single Square Void (H’/B = B’/B)
6.7. Effect of a Single Rectangular Void
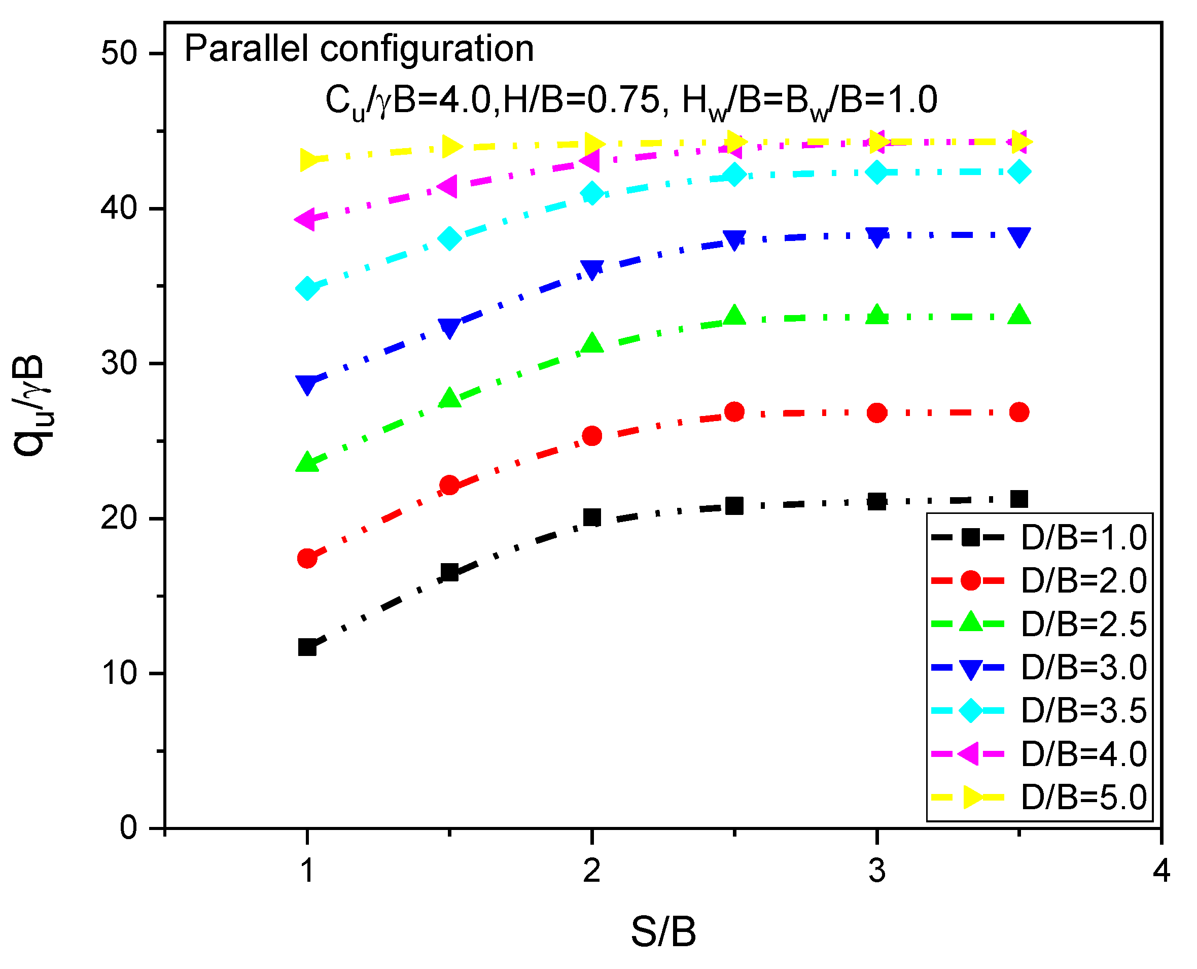
6.8. Effect of Two Voids (Parallel and Symmetrical Configurations)
6.9. Effect of Geotextile on the Bearing Capacity Ratio (qu/γB) for Different Cu/γB Values
6.10. Effect of the Geotextile on the Bearing Capacity Ratio (qu/γB) for Different Vertical Distances of the Void
6.11. Effect of the Geotextile on the Bearing Capacity Ratio (qu/γB) for Different Horizontal Distance of Voids
6.12. Effect of the Geotextile on the Bearing Capacity Ratio (qu/γB) for the Square Void Size (H’/B = B’/B) Case
6.13. Effect of the Geotextile on the Bearing Capacity Ratio (qu/γB) for the Case of Rectangular Void Size
6.14. Effect of the Geotextile on the Bearing Capacity Ratio (qu/γB) for the Parallel and Symmetrical Configuration of Two Voids
7. Conclusions
Author Contributions
Funding
Data Availability Statement
Conflicts of Interest
References
- Terzaghi, K. Theoretical Soil Mechanics; Wiley: New York, NY, USA, 1943. [Google Scholar]
- Baus, R.L.; Wang, M.C. Bearing capacity of strip footing above void. J. Geotech. Eng. 1983, 109, 1–14. [Google Scholar] [CrossRef]
- Badie, A.; Wang, M.C. Stability of spread footing above void in clay. J. Geotech. Eng. 1984, 110, 1591–1605. [Google Scholar] [CrossRef]
- Wang, M.C.; Badie, A. Effect of underground void on foundation stability. J. Geotech. Eng. 1985, 111, 100819. [Google Scholar] [CrossRef]
- Kiyosumi, M.; Kusakabe, O.; Ohuchi, M.; Le Peng, F. Yielding pressure of spread footing above multiple voids. J. Geotech. Geoenviron. Eng. 2007, 133, 1522–1531. [Google Scholar] [CrossRef]
- Kiyosumi, M.; Kusakabe, O.; Ohuchi, M. Model tests and analyses of bearing capacity of strip footing on stiff ground with voids. J. Geotech. Geoenviron. Eng. 2011, 137, 363–375. [Google Scholar] [CrossRef]
- Al-Tabbaa, A.; Russell, L.; O’Reilly, M. Model tests of footings above shallow cavities. Ground Eng. 1989, 22, 39–42. [Google Scholar]
- Wood, L.A.; Larnach, W.J. The behavior of footings located above voids. In Proceedings of the 11th International Conference on Soil Mechanics and Foundation Engineering, San Francisco, CA, USA, 12–16 August 1985; Volume 4, pp. 273–276. [Google Scholar]
- Wang, M.C.; Yoo, C.S.; Hsieh, C.W. Effect of void on footing behavior under eccentric and inclined loads. Found. Eng. J. ASCE 1989, 2, 1226–1239. [Google Scholar]
- Azam, G.; Jao, M.; Wang, M.C. Cavity effect on stability of strip footing in two-layer soils. J. Geotech. Eng. 1997, 28, 151–164. [Google Scholar]
- Wang, M.C.; Hsieh, C.W. Collapse load of strip footing above circular void. J. Geotech. Eng. 1987, 113, 511–515. [Google Scholar] [CrossRef]
- Sreng, S.K.; Mochizuki, A. Bearing capacity of ground having a void. In Proceedings of the 57th JSCE Annual Meeting, Sapporo, Japan, 25–27 September 2002; pp. 1221–1222. (In Japanese). [Google Scholar]
- Wang, M.C.; Kim, Y.U.; Jun, J.T. Cavity effect on collapse load of strip footings. In Proceedings of the International Conference on Soil Mechanics and Geotechnical Engineering; AA Blakeman Publishers: Lisse, The Netherlands, 2001; Volume 1, pp. 317–320. [Google Scholar]
- Sireesh, S.; Sitharam, T.G.; Dash, S.K. Bearing capacity of circular footing on geocell–sand mattress overlying clay bed with void. Geotextile Geomembr. 2009, 27, 89–98. [Google Scholar] [CrossRef]
- Mohamed MHA. Two-dimensional experimental study for the behavior of surface footings on unreinforced and reinforced sand beds overlying soft pockets. Geotextile Geomembr. 2010, 28, 589–596. [Google Scholar] [CrossRef]
- Das, B.M.; Khing, K.H. Foundation on layered soil with geogrid reinforcement—Effect of a void. Geotextile Geomembr. 1994, 13, 545–553. [Google Scholar] [CrossRef]
- Lee, J.K.; Jeong, S.; Ko, J. Undrained stability of surface strip footings above voids. Comput. Geotech. 2014, 62, 128–135. [Google Scholar] [CrossRef]
- Lee, J.K.; Jeong, S.; Ko, J. Effect of load inclination on the undrained bearing capacity of surface spread footings above voids. Comput. Geotech. 2015, 66, 245–252. [Google Scholar] [CrossRef]
- Lavasan, A.A.; Talsaz, A.; Ghazavi, M.; Schanz, T. Behavior of shallow strip footing on twin voids. Geotech. Geol. Eng. 2016, 34, 1791–1805. [Google Scholar] [CrossRef]
- Xiao, Y.; Zhao, M.; Zhoa, H. Undrained stability of strip footing above voids in two-layered clays by finite element limit analysis. Comput. Geotech. 2018, 97, 124–133. [Google Scholar] [CrossRef]
- Xiao, Y.; Zhao, M.; Zhoa, H.; Zhang, R. Finite element limit analysis of the bearing capacity of strip footing on a rock mass with voids. Int. J. Geomechrane 2018, 18, 04018108. [Google Scholar] [CrossRef]
- Zhou, H.; Zheng, G.; He, X.; Xu, X.; Zhang, T.; Yang, X. Bearing capacity of strip footings on c-’ soils with square voids. Acta Geotech. 2018, 13, 747–755. [Google Scholar] [CrossRef]
- Yetimoglu, T.; Wu, J.T.H.; Saglamer, A. Bearing capacity of rectangular footings on geogrid reinforced sand. J. Geotech. Geoenviron. Eng. ASCE 1994, 120, 2083–2099. [Google Scholar] [CrossRef]
- Shin, E.C.; Das, B.M. Experimental study of bearing capacity of a strip foundation on geogrid reinforced sand. Geosynth. Int. 2000, 7, 5971. [Google Scholar] [CrossRef]
- Dash, S.K.; Krishnaswamy, N.R.; Rajagopal, K. Bearing capacity of strip footings supported on geocell-reinforced sand. Geotext. Geomembr. 2001, 19, 235–256. [Google Scholar] [CrossRef]
- Dash, S.K.; Sireesh, S.; Sitharam, T.G. Model studies on circular footing supported on geocell reinforced sand underlain by soft clay. Geotext. Geomembr. 2003, 21, 197–219. [Google Scholar] [CrossRef]
- El Sawwaf, M.A. Behavior of strip footing on geogrid reinforced sand over a soft clay slope. Geotext. Geomembr. 2007, 25, 50–60. [Google Scholar] [CrossRef]
- Abu-Farsakh, M.Y.; Gu, J.; Voyiadjis, G.Z.; Mingjiang, T. Numerical parametric study of strip footing on reinforced embankment soil. J. Transp. Res. Board Soil Mech. 2007, 14, 132–140. [Google Scholar] [CrossRef]
- Chen, Q.; Abu-Farsakh, M.; Sharma, R. Experimental and analytical studies of reinforced crushed limestone. Geotext. Geomembr. 2009, 27, 321–408. [Google Scholar] [CrossRef]
- Aria, S.; Shukla, S.K.; Mohyeddin, A. Numerical investigation of wraparound geotextile reinforcement technique for strengthening foundation soil. Int. J. Geomech. 2019, 19, 04019003. [Google Scholar] [CrossRef]
- Rashid, A.S.A.; Shirazi, M.G.; Nazir, R.; Mohamad, H.; Sahdi, F.; Horpibulsuk, S. Bearing capacity performance of soft cohesive soil treated by kenaf limited life geotextile. Mar. Georesources Geotechnol. 2020, 38, 755–760. [Google Scholar] [CrossRef]
- Hussein, A.; Ahmad, M.; Ali, N. Experimental study and numerical analysis of the bearing capacity of strip footing improved by wraparound geogrid sheets. Arab. J. Geosci. 2022, 15, 1487. [Google Scholar] [CrossRef]
- Blivet, J.C.; Gourc, J.P.; Villard, P.; Giraud, H.; Khay, M.; Morbois, A. Design method for geosynthetic as reinforcement for embankment subjected to localized subsidence. In Proceedings of the Seventh International Conference on Geosynthetics, Nice, France, 22–27 September 2002; Volume 1, pp. 341–344. [Google Scholar]
- Ast, W.; Haberland, J. Reinforced embankment combined with a new developed warning system for high-speed trains over areas of pervious mining. In Proceedings of the Seventh International Conference on Geosynthetics, Nice, France, 22–27 September 2002; Volume 1, pp. 335–340. [Google Scholar]
- Giroud, J.P.; Bonaparte, R.; Beech, J.F.; Gross, B.A. Design of soil layer-geosynthetic systems overlying voids. Geotext. Geomembr. 1990, 9, 11–50. [Google Scholar] [CrossRef]
- Wang, M.C.; Feng, Y.X.; Jao, M. Stability of geosynthetic reinforced soil above a cavity. Geotext. Geomembr. 1996, 14, 95–109. [Google Scholar] [CrossRef]
- Briancon, L.; Villard, P. Design of geosynthetic-reinforced platforms spanning localized sinkholes. Geotext. Geomembr. 2008, 26, 416–428. [Google Scholar] [CrossRef]
- Moghaddas Tafreshi, S.N.; Khalaj, O. Laboratory tests of small-diameter HPDE pipes buried in reinforced sand under repeated load. Geotext. Geomembr. 2008, 26, 145–163. [Google Scholar] [CrossRef]
- Khing, K.H.; Das, B.M.; Puri, V.K.; Yen, S.C.; Cook, E.E. Foundation on strong sand underlain by weak clay with geogrid at the interface. J. Geotext. Geomembr. 1994, 13, 199–206. [Google Scholar] [CrossRef]
- Demir, A.; Yildiz, A.; Laman, M.; Ornek, M. Experimental and numerical analyses of circular footing on geogrid-reinforced granular fill underlain by soft clay. Acta Geotech. 2014, 9, 711–723. [Google Scholar] [CrossRef]
- Shukla, S.K.; Shallow Foundations. Handbook of Geosynthetic Engineering. 2017. Available online: https://www.icevirtuallibrary.com/doi/full/10.1680/hge.41752.129 (accessed on 1 December 2017).
- Raja, M.N.A.; Shukla, S.K. Experimental study on repeatedly loaded foundation soil strengthened by wraparound geosynthetic reinforcement technique. J. Rock Mech. Geotech. Eng. 2021, 13, 899–911. [Google Scholar] [CrossRef]
- Anaswara, S.; Shivashankar, R. Study on Behaviour of Two Adjacent Strip Footings on Unreinforced/Reinforced Granular Bed Overlying Clay with Voids. Geotech. Geol. Eng. 2021, 39, 1831–1848. [Google Scholar] [CrossRef]
- Lai, F.; Chen, F.; Li, D. Bearing capacity characteristics and failure modes of low geosynthetic-reinforced embankments overlying voids. Int. J. Geomech. 2018, 18, 0401805. [Google Scholar] [CrossRef]
- Burd, H.J.; Frydman, S. Discussion on bearing capacity of footings over two-layered foundation soils. J. Geotech. Eng. ASCE 1996, 122, 699–700. [Google Scholar] [CrossRef]
- Hanna, A.M.; Meyerhof, G.G. Design charts for ultimate bearing capacity of foundations on sand overlying soft clay. Can. Geotech. J. 1980, 17, 300–303. [Google Scholar] [CrossRef]
- Michalowski, R.L.; Shi, L. Bearing capacity of footings over two-layer foundation soils. J. Geotech. Eng. 1995, 121, 421–428. [Google Scholar] [CrossRef]
- Shiau, J.S.; Lyamin, A.V.; Sloan, S.W. Bearing capacity of a sand layer on clay by finite element limit analysis. Can. Geotech. J. 2003, 40, 900–915. [Google Scholar] [CrossRef]




















| Type | Description | Value |
|---|---|---|
| Soil | Unit weight of sand γ (kN/m3) Unit weight of clay γ (kN/m3) Friction angle φ ᵒ Dilatancy angle ψ ᵒ Shear modulus G (kPa) Bulk modulus K (kPa) Interface reduction factor sand and clay | 20.00 16.00 40 35 3.45 33.33 1.0, 0.5 |
| Geotextile | Normal stiffness EA (KN/m) | 2000 |
Disclaimer/Publisher’s Note: The statements, opinions and data contained in all publications are solely those of the individual author(s) and contributor(s) and not of MDPI and/or the editor(s). MDPI and/or the editor(s) disclaim responsibility for any injury to people or property resulting from any ideas, methods, instructions or products referred to in the content. |
© 2022 by the authors. Licensee MDPI, Basel, Switzerland. This article is an open access article distributed under the terms and conditions of the Creative Commons Attribution (CC BY) license (https://creativecommons.org/licenses/by/4.0/).
Share and Cite
Chaabani, W.; Remadna, M.S.; Abu-Farsakh, M. Numerical Modeling of the Ultimate Bearing Capacity of Strip Footings on Reinforced Sand Layer Overlying Clay with Voids. Infrastructures 2023, 8, 3. https://doi.org/10.3390/infrastructures8010003
Chaabani W, Remadna MS, Abu-Farsakh M. Numerical Modeling of the Ultimate Bearing Capacity of Strip Footings on Reinforced Sand Layer Overlying Clay with Voids. Infrastructures. 2023; 8(1):3. https://doi.org/10.3390/infrastructures8010003
Chicago/Turabian StyleChaabani, Walid, Mohamed Saddek Remadna, and Murad Abu-Farsakh. 2023. "Numerical Modeling of the Ultimate Bearing Capacity of Strip Footings on Reinforced Sand Layer Overlying Clay with Voids" Infrastructures 8, no. 1: 3. https://doi.org/10.3390/infrastructures8010003
APA StyleChaabani, W., Remadna, M. S., & Abu-Farsakh, M. (2023). Numerical Modeling of the Ultimate Bearing Capacity of Strip Footings on Reinforced Sand Layer Overlying Clay with Voids. Infrastructures, 8(1), 3. https://doi.org/10.3390/infrastructures8010003

