Next Article in Journal
The Governance Approach of Smart City Initiatives. Evidence from Trondheim, Bergen, and Bodø
Next Article in Special Issue
Path and Control Planning for Autonomous Vehicles in Restricted Space and Low Speed
Previous Article in Journal
Detecting Embankment Instability Using Measurable Track Geometry Data
Previous Article in Special Issue
Roadworks Warning—Closure of a Lane, the Impact of C-ITS Messages
 
 
Font Type:
Arial Georgia Verdana
Font Size:
Aa Aa Aa
Line Spacing:
Column Width:
Background:
Article

Competing Risks Models for the Assessment of Intelligent Transportation Systems Devices: A Case Study for Connected and Autonomous Vehicle Applications

1
Department of Civil and Environmental Engineering, Florida Agricultural & Mechanical University -Florida State University College of Engineering, 2525 Pottsdamer Street, Tallahassee, FL 32310, USA
2
Department of Statistics, Florida State University, 214 Rogers Building (OSB), 117 N Woodward Ave., Tallahassee, FL 32306, USA
*
Author to whom correspondence should be addressed.
Infrastructures 2020, 5(3), 30; https://doi.org/10.3390/infrastructures5030030
Submission received: 20 January 2020 / Revised: 19 February 2020 / Accepted: 29 February 2020 / Published: 15 March 2020
(This article belongs to the Special Issue Smart Mobility)

Abstract

Intelligent transportation system (ITS) has become a crucial section of transportation and traffic management systems in the past decades. As a result, transportation agencies keep improving the quality of transportation infrastructure management information for accessibility and security of transportation networks. The goal of this paper is to evaluate the impact of two competing risks: “natural deterioration” of ITS devices and hurricane-induced failure of the same components. The major devices employed in the architecture of this paper include closed circuit television (CCTV) cameras, automatic vehicle identification (AVI) systems, dynamic message signals (DMS), wireless communication systems and DMS towers. From the findings, it was evident that as ITS infrastructure devices age, the contribution of Hurricane Category 3 as a competing failure risk is higher and significant compared to the natural deterioration of devices. Hurricane Category 3 failure vs. natural deterioration indicated an average hazard ratio of 1.5 for CCTV, AVI and wireless communications systems and an average hazard ratio of 2.3 for DMS, DMS towers and portable DMS. The proportional hazard ratios of the Hurricane Category 1 compared to the devices was estimated as <0.001 and that of Hurricane Category 2 < 0.5, demonstrating the lesser impact of the Hurricane Categories 1 and 2. It is expedient to envisage and forecast the impact of hurricanes on the failure of wireless communication networks, vehicle detection systems and other message signals, in order to prevent vehicle to infrastructure connection disruption, especially for autonomous and connected vehicle systems.

1. Introduction

Intelligent transportation systems (ITS) and their associated technologies have been employed for the past decades to improve mobility and accessibility on roadways. The United States Department of Transportation (USDOT) and the Federal Highway Administration (FHWA) keep refining standards and engaging in programs to upgrade the overall performance on roadways. With the projected impact of connected and autonomous vehicle systems’ (CAVs) traffic data collection, management and analysis remain crucial for decision-making. As such, innovative travel time reliability, safety and operational measures on corridors remain critical for effective navigation, trip virtualization, intersection crossing and way-finding purposes. As part of the goal of enhancing the ITS on roadways, highway cameras, weather stations, fiber optic cables, traffic detection systems, dynamic message signs and ethernet conversion of ITS networks are constantly installed, furnished, or replaced to effectively manage incidents and traffic along corridors. Additionally, robust and secure networks are introduced on roadways to effectively reduce gaps within the ITS network while managing incidents and traveler information in corridors.
As important as many transportation infrastructures are to the overall performance of the transportation network, natural disasters, including hurricanes, earthquakes and storm surges, often impact large geographic areas, ruining some transportation infrastructure while reducing the functional integrity of others.
To efficiently forecast the overall performance and functionality of the transportation infrastructure systems, the competing risks methodology is used to assess a schematic ITS architecture comprising major ITS network components such as sign cantilever, device servers, closed circuit television (CCTV) cameras, automatic vehicle identification (AVI) systems, vehicle detection systems (VDS), lane status and toll amount-embedded dynamic message signs (DMS) in terms of natural deterioration and electrical/mechanical failures, as well as hurricane-induced failures.
This paper is relevant at a time where the transfer of streams of transportation data due to CAV systems requires reliability of the overall networks. Hence, it is critical to reduce gaps and incidence management and transfer information in the corridor. With the growing need to maintain transportation infrastructure by making the greatest use of limited funds, this research is conducted to evaluate the competing causes of failure of the selected transportation infrastructure components to achieve optimal functionality outcomes in transportation asset management.

2. Literature Review

The development of intelligent transportation systems (ITS) on road networks has improved the performance of transportation systems for the past two decades, providing connectivity, security and mobility alternatives to road users [1,2,3,4,5,6] According to the Traffic Engineering and Operations Office of the Florida Department of Transportation (FDOT), operation and maintenance (O&M) personnel including engineers, information technology (IT) professionals, traffic management center (TMC) operators and field technicians constantly monitor the ITS infrastructure for effective operability. Additionally, the ITS facility management (ITSFM) system is monitored daily for daily maintenance and emergency management needs by engaging in preventative maintenance activities such as pre-trip diagnostics, configuration management, routine repair and replacement activities, as well as asset management operations while updating the associated database with all the condition and needs of the systems [7]. Additionally, connected vehicle (CV) systems have been used for the assessment of traffic communications using mobile wireless nodes, forecasting smart grids and for dilemma zone regulation [8,9,10,11].
The life cycle of these complex systems (such as these ITS devices and network of systems) could be associated with its acquisition cost, operational and failure cost and salvage cost, as well as maintainability properties, policies and the environments or system conditions [12,13]. For a complex interaction of components on a transportation network, ITS components are of higher importance in the network. A substantial failure of such critical components would iteratively impact the overall operability of the transportation system [14,15]. Additionally, the impact of connected and autonomous vehicles (CAVs) and the associated vehicle to infrastructure communication applications such as the global positioning systems (GPS), vehicle wireless data networks, cooperative intelligent transport systems and traffic signals remain prime for the efficient sustainability of the transportation network [16,17,18,19].
In the event of hazards such as hurricane-induced failure, earthquakes, electrical/mechanical downtimes and natural deterioration, the likelihood of incidence, conflicts, congestion and ultimate closure of roadways cannot be overlooked. Historical evidence has shown the impact of storm surges, tornadoes, hurricanes, wildfires, earthquakes and intentional hazards on the transportation [20,21,22,23,24,25,26,27]. Additionally, hurricane hazards have resulted in the failure and fracture-critical assessment of traffic signal systems, sign cantilevers and high masts, as well as sign-span and cables elements [21,28]. According to the Federal Highway Authority (FHWA), knock-downs, lightning, floods and other unforeseen events also engender failure of ITS infrastructures [29].
Past investigations have employed the traditional survival analysis concept to evaluate the reliability of transportation infrastructure components. However, the complex impact of failures using the dependent failure assumption and the competing risks scenario remains an area to be explored. The competing risks model employed in this research evaluates the impact of the different risks of failure in the event of multiple failures by determining the main failure event among the other competing causes.
The concept of competing risks has been employed in studies involving risk stratification and degradation of electronic systems, as well as the recurrence and relapse of diseases in patients [30,31]. In the field of transportation, the concept of competing risks has been utilized by experts to investigate traffic choice models and vehicle transaction behaviors. Additionally, other transportation infrastructure performance assessments have been analyzed using the dependent failure assumption [26,32,33,34]. Other researchers have employed machine-learning models and artificial intelligence frameworks to evaluate traffic signal communications, hybrid electric vehicles’ performance costs and other transportation infrastructure operations [10,11,35,36].
Like the already-mentioned investigations, this paper aims at estimating the performance of selected ITS infrastructures using the competing risks model and the dependent failure assumption in the presence of three major failure modes: natural deterioration, mechanical and electrical failures and hurricane-induced failures.

3. Methodology

This section of the paper discusses the competing risks model and the dependent failure assumption. The authors build up the competing risks scenario from the traditional survival analysis and the independent failure assumption and then explains the nonparametric (Kaplan Meier estimates) and parametric survival analyses (Weibull analysis), as well as the cumulative incidence function (CIF) for the performance assessment. A schematic representation of the roadway ITS infrastructure is shown from which time the failure and survival probabilities are computed using historic data on natural deterioration, hurricane exposure and vulnerability information.

3.1. Competing Risk Model

A competing risk is an event that hinders the observation of an event of interest [37]. As discussed by David and Moeschberger [38], Prentice et al. [39] and Gail [40], for any failure event, there is only one cause of failure among the m competing causes. Competing risks problems are often formulated in terms of latent or potential failure times, μ 1 ,   μ 2 ,   , μ j corresponding to j failure types with the observed failure time T = min ( μ 1 ,   μ 2 ,   ,   μ j ) .
The concepts of the net and crude lifetimes are required for competing event analysis. The lifetime analyses employ different assumptions for risk assessment. That is, the net probability formulation adopts the independence assumption where the specific risk present C j ,   j = 1 , 2 , ,   k is analyzed as the only risk. That is, the subjects present are impacted by the one and only risk present. The net probability of failure in [ p ,   q ) by failure risk j could be described as shown below:
R j ( p , q ) = P [ p μ j < q   |   μ j p ]            
R j ( p , q ) = 1 { ( P [ μ j q ] ) ( P [ μ j p ]   )   1 }
R j ( p , q ) = 1 e p q h μ j ( τ ) d τ
with the cumulative hazard function given as H ( τ ) = e p q h μ j ( τ ) d τ .
The crude lifetime and probabilities are evaluated in the presence of all other j causes. That is, assuming all risks are present, the crude probability of failure by failure risk j , in the time interval [ p ,   q ) given the survival of a specific component or the ITS device until time p , is described as
π j ( p ,   q ) = P [ p μ j < q ,     μ j < μ i   f o r   a l l   i j |   μ a ]
π j ( p ,   q ) = p q h μ j ( μ ) e p x h T ( τ ) d τ d x      
Additional computational expressions on competing risks are outlined in Klein and Moeschberger [41] and Crowder et al. [42]. From the above concepts, the three competing events evaluated are natural deterioration, electrical and mechanical failures and hurricane-induced failures. The deterioration of the selected ITS components are modeled for their survival probabilities using estimators such as the hazard ratios, log-rank statistics and the Kaplan-Meier statistics. The log-rank test is used to evaluate whether there is enough evidence that the survival probabilities due to the risks present are significantly different, while the hazard ratios estimate the hazard rates due to the failure time covariate.

3.2. Natural Deterioration, Electrical and Mechanical Failures

Traffic management system life-cycle includes assessment of the overall functionality of ITS infrastructures during its lifetime. The overall performance is measured based on key operational factors such as construction/installation programs, maintenance procedures, emergency assessment and decommissioning planning programs and associated cost analyses. Most departments of transportation and transportation agencies inspect infrastructures annually or biennially for maintenance, rehabilitation and repair purposes. Elements are monitored from which forecasting models are generated for future performance analyses. Past investigations have associated high annual maintenance costs with different ITS devices. These include devices such as signal controllers, weigh-in motions and communications hubs and consoles. The least costly of the maintenances have been affiliated with radio, sonic and radar detectors, as well as automatic vehicle identification readers (Figure 1).
ITS devices and their signages are constantly monitored for natural deterioration, as well as electrical and mechanical failures. Most transportation infrastructure conditioned states have been modeled using regression and deterioration models based on condition ratings. Remedial actions (repair or replacement) of installed transportation management system components because of natural or other causes of failure are also undertaken by required agencies [7].
Also, TMS life-cycle metrics evaluate the degradation and obsolescence of system components with time. Parameters such as mean time between failure of components, mean time to repair and average cost of repair are used in evaluating the condition of components. Table 1 and Figure 2 are representations of TMS components and their life expectancy.
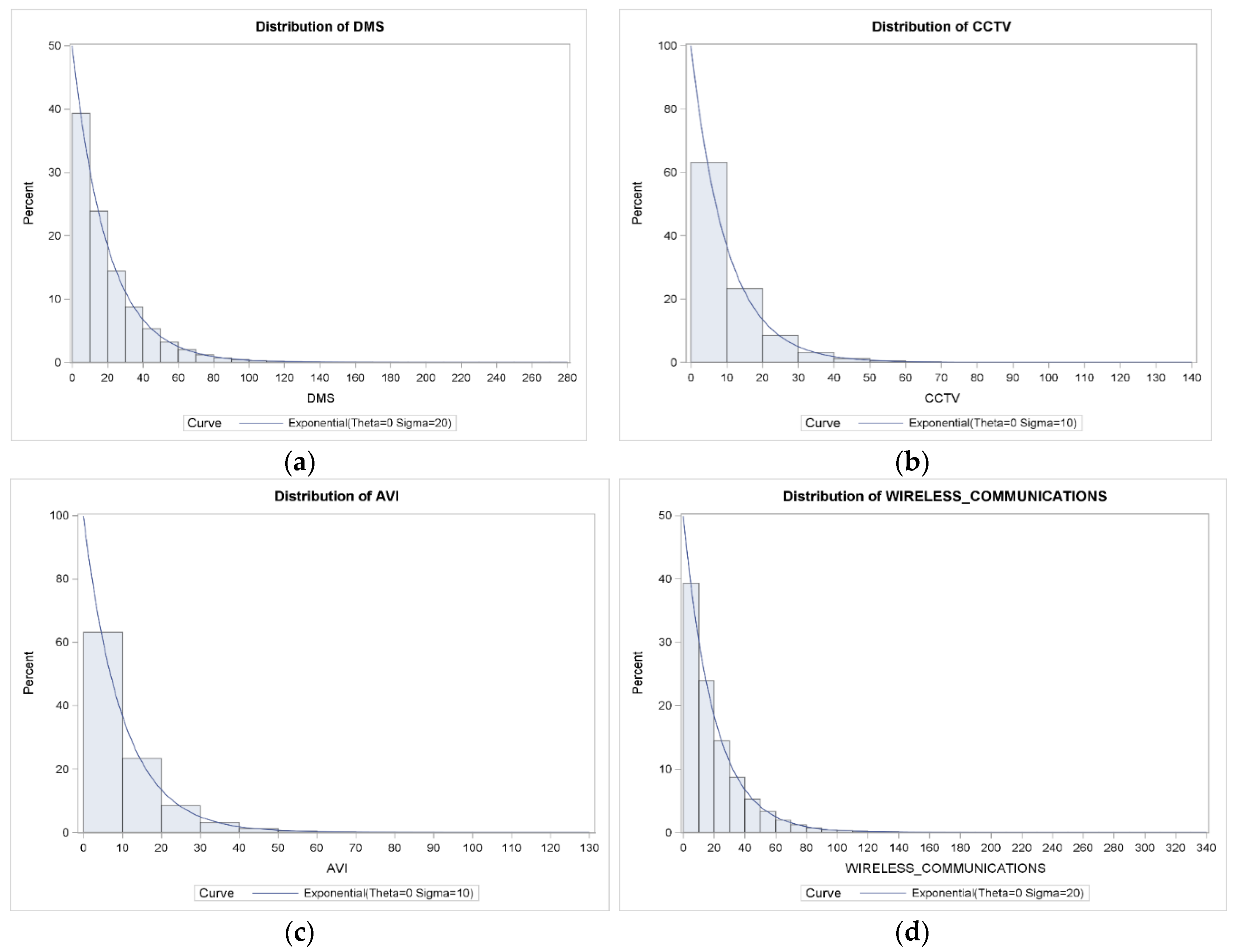
To evaluate the operational characteristics of ITS devices using competing risks models, the failure times of the various ITS control devices are modeled based on the Weibull distribution family. The distribution family was chosen to simulate random failure arrival times to mimic the mode of degradation of electrical, mechanical and structural systems. The wireless communication systems, hubs and consoles which perform like computer systems were modeled using the exponential distribution (Poisson point process) with their mean time to failure expressed as the inverse of the failure rates, while the dynamic message sign towers and portable message signs are modeled using the Weibull distribution based on past literature [43,44,45,46,47]. The data is generated based on the life expectancy data from Table 1 using the algorithm shown below. Distributions of the failure times are shown in Figure 3.
Algorithm 1: Exponential and Weibull Data Generation
Input Parameter: λ
forn = 1 to N do
data1 = rand(exp, λ) #Generate N number of variables with mean λ
data2 = rand(weibull, β, μ) #Generate N number of variables with shape β and scale μ
end for
return data1, data2

3.3. Hurricane Hazard and Exposure Probabilities

According to the FDOT traffic operations [7], operation and maintenance (O&M) personnel often monitor the ITS infrastructure for effective deployment and operability through daily maintenance and emergency management evaluations. The evaluations are characterized by pre-trip diagnostics, configuration management, routine repair and replacement activities while updating the associated databases with all the conditions and needs of the systems for asset management operations, especially in the event of hazards.
Previous hazard impact assessments on civil infrastructures have been conducted on roadway and bridge components and subsystems using historical records from hurricanes, storm surges and earthquake occurrences [25,41,42,48]. Damage of roadway infrastructures have been quantified as slight, moderate, extensive or complete based on the level of vulnerability due to hazard impacts [49]. Qualitative damage states describing hurricane-induced damage for structural and nonstructural elements employed in this paper are provided in detail in the Hazards United States, HAZUS-MH [21,26]. Due to limited data, the vulnerability weights assigned to traffic sign structure failures due to past hurricane damages as reported in [21] are employed to estimate expected damages and associated probabilities of the failure of signs, poles, mast and signals. Hurricane wind data from the Hazards United States database are used to compute occurrence probabilities for Hurricane Categories 1, 2 and 3 storms.
The exposure probability at traffic sign structure locations on roadways per year is expressed mathematically as shown in Equations (6) and (7).
P β = ϑ β exp ( ϑ ) β !
( T   τ ) = 1 e x p [ ϑ τ ]
where P β —probability of β number of storms occurring in a specified year, ϑ —mean rate of storms per year,   P ( T   τ ) —cumulative distribution function and τ is a random variable representing a given period.
To evaluate the hurricane arrival rates along with vulnerability ratings, the concept of interarrival times are utilized. That is, for a sequence of interarrival times, the time between ( a 1 ) st and the a th hurricane event is expressed as the mean arrival time and computed as 1 / λ . The arrival time S a of the a th event is given as
S a = i = 1 n T i
and the expectation of the arrival time is computed as
E ( S a ) = i = 1 a E ( T i )
With the hurricane event being modeled as a Poisson process with rate λ , the hurricane event in a particular location could belong to s number of groups (that is, different hurricane categories, locations (coastal or noncoastal) or roadway functional classes (interstate or noninterstate)). With a specified hurricane event being independent of all other events, the probability of being in group I among an s hurricane event is given as
P ( E ) = Pr ( j | X ) H = h P ( X | H ) P ( H )
P ( E ) = probability of hurricane failure of element i, P ( j | X )   = probability of damage j given element vulnerability level X . P ( X | H )   = element vulnerability level X given hurricane category H occurrence and P ( H ) = probability of occurrence of the hurricane category.
From the computed probabilities of failure, the Poisson processes of { L 1 ( t ) ,   t   0 } , { L 2 ( t ) ,   t 0 } { L 3 ( t )   and   t 0 } to { L s ( t ) ,   t 0 } of the s events would yield rates λ p 1 , λ p 2 , λ p 3 …… to   λ p k , with the processes being independent and the probability of event L i ( t ) is given as e λ p i ( t ) .
To estimate the risks outcomes for the already-mentioned hazards, outcomes of the exposure probabilities computed, vulnerability weights and fragility outputs are used to estimate final failure probabilities and expected failure times for competing risks analysis. Data on hurricane damages, including those from Florida, Texas, Louisiana and Alabama, are used as supplementary data for engineering assessments and validation of failure times based on historical data of these states. Records of hurricane-induced failures of sign structures [21,48,49,50,51], shown in Figure 4, are employed in estimating the probabilities of damage due to signs, signals and other operation facilities on roadways (Figure 5).

4. Results and Discussion

This section discusses risks of failure of ITS devices (by natural deterioration, electrical or mechanical) in the presence of hurricanes. The competing risk model is applied to assess the performance of six ITS components, namely, CCTV, AVI, wireless communication systems, DMS and portable DMS, and their failure due to the impact of Hurricane Categories 1, 2 and 3. The various risks are compared using the hazard ratios of the competing events with age as the covariate along with the cumulative incidence curves.
From the output of the product-limit survival estimates and the cause-specific hazard outputs for the DMS system (Figure 6 and Figure 7), it is estimated that the impact of Hurricanes Category One (1) would not fail the devices as a competing event compared to the deterioration of the devices either through wear-out or electrical/mechanical failures. From the analyzed data, it is realized that the contribution of wear-out or electrical/mechanical failures of DMS, DMS towers and portable DMS is significantly higher and different from the Hurricane Categories 1 and 2 impacts as demonstrated by the chi-square estimates and the corresponding p-value (<0.05) from the CIF (Table 2 and Table 3). The point estimate of the hazard ratios due to the impact of the deterioration of the DMS, the DMS towers, and the portable DMS are of the order of 0.293 (with confidence intervals of 0.267 and 0.322), 0.314 (with confidence bounds of 0.287 and 0.344) and 0.425 (with confidence bounds of 0.392 and 0.460), compared to the impact of Hurricane Category 3. As such, the average hazard ratio for Hurricane Category 3 compared to the devices is estimated to be more than twice the impact of the DMS deterioration, indicating the severity of the impact of Hurricane Category 3 compared to the natural deterioration of components. It is postulated from the results that the impact of Hurricane Category 3 could undermine the reliability of the dynamic message signal components during its service life ahead of natural wear-out, electrical or mechanical failures. Autonomous and connected vehicles research would therefore have to envisage and forecast the impact of hurricanes on the vehicle to infrastructure connection disruption due to hurricane-induced failures of towers and other message signals. The results described above also suggest that, in the event of hurricane-induced failures, departments of transportation (DOTs) would have to plan for the repercussions of the net effect of the hazards that could lead to road-posting and the partial or complete closure of roadways.
Also, the vehicle detection and tracking devices demonstrated rapid failures with time. From the pairwise comparison of the CCTV, AVI and wireless communications systems with Hurricane Categories 1 and 2, the results showed a high likelihood of failure of vehicle detections systems due to deterioration as a competing event (Figure 8 and Figure 9). The proportion hazard ratios of the Hurricane Category 1 compared to the devices was < 0.0001 and that of Hurricane Category 2 < 0.5, demonstrating the lower impact of the Hurricane Categories 1 and 2 (Table 4 and Table 5). Like the results for the DMS components, Hurricane Category 3 was observed to be significant and statistically different in its impact (based on the hazard ratios and the cumulative incidence functions) compared to the AVI and the CCTV. The hazard ratios of Hurricane Category 3 compared to the CCTV, AVI and wireless communication systems were 1.51, 1.54 and 3.41 times, respectively.
Additionally, the CCTV and the AVI showed faster deterioration than DMS and DMS towers. This was not unexpected, since the vehicle detection devices are more prone to electrical and mechanical failures [29]. As such, preventive maintenance and monitoring would be required for efficient functionality of the devices. To maintain the overall reliability of the ITS systems, roadway communications and detection devices would have to be evaluated for deterioration on a regular basis and inspected after hurricanes to maintain a high standard of operation of ITS systems.

5. Conclusions

This paper has employed the competing risks model to estimate the performance of ITS infrastructures. The product-limit survival estimates and the cumulative incidence functions were used to depict the risks of failure of CCTV, AVI, wireless communication systems and DMS due to natural deteriorations in the presence of hurricane-induced failures of the devices from Hurricane Categories 1, 2 and 3.
It was demonstrated that, as ITS infrastructure devices age, the contribution of Hurricane Category 3 as a competing failure risk is higher and significant compared to natural deterioration. This was evident as the Hurricane Category 3 failure vs. natural deterioration yielded an average hazard ratio of 1.5 for CCTV, AVI and wireless communications system and an average hazard ratio of 2.3 for DMS, DMS towers and portable DMS. The proportion hazard ratios of the Hurricane Category 1 compared to the devices was < 0.0001 and that of Hurricane Category 2 < 0.5, demonstrating the lower impact of the Hurricane Categories 1 and 2. Survival probabilities also indicated that Hurricane Categories 1 and 2 caused relatively low impacts as competing events compared to DMS components and vehicle detection systems.
Also, the results demonstrated that the chance of “failure” of ITS infrastructures declining in their reliabilities could not only be with affiliated with natural deterioration only but also electrical and mechanical failures, as well as hurricane failures. As such, institutions would have to envisage and forecast the impact of hurricanes on vehicle to infrastructure connection disruptions due to hurricane-induced failures of towers and other message signals, especially for autonomous and connected vehicle systems. Overall, it was successfully demonstrated that competing risk models were effective in assessing the performance of ITS devices based on the dependent modes of failure and their extent and contribution to the holistic failures of ITS infrastructures.

Author Contributions

This paper was fully contributed to by all co-authors. S.I., PhD (corresponding author), Conceived the presented idea, Developed the framework and data analyses schemas, Worked on the collection, cleaning and analyses of the data, Worked on the manuscript. J.S., PhD, PE, Reviewed the idea, Developed and reviewed the framework and data analyses schemas, Reviewed the final data and manuscript. E.C., PhD, Reviewed the idea and framework, Reviewed statistical analyses and models, Reviewed manuscript. All authors have read and agreed to the published version of the manuscript.

Funding

This research received no external funding.

Acknowledgments

The authors would like to appreciate the support of the Florida Department of Transportation (FDOT) for providing the authors with information on historical hurricane risk and other transportation infrastructure condition data.

Conflicts of Interest

The authors declare no conflict of interest.

Data Availability

The dataset used during the study was provided by the Florida Department of Transportation (FDOT). Direct requests for the data may be made to the provider as indicated in the acknowledgements. The authors could be contacted about the code and models used in the study.

References

  1. Gerla, M.; Lee, E.K.; Pau, G.; Lee, U. Internet of vehicles: From intelligent grid to autonomous cars and vehicular clouds. In Proceedings of the 2014 IEEE World Forum on Internet of Things (WF-IoT), Seoul, Korea, 6–8 March 2014; pp. 241–246. [Google Scholar]
  2. Zhang, J.; Wang, F.; Wang, K.; Lin, W.; Xu, X.; Chen, C. Data-Driven Intelligent Transportation Systems: A Survey. IEEE Trans. Intell. Transp. Syst. 2011, 12, 1624–1639. [Google Scholar] [CrossRef]
  3. An, S.H.; Lee, B.H.; Shin, D.R. A survey of intelligent transportation systems. In Proceedings of the 2011 Third International Conference on Computational Intelligence, Communication Systems and Networks, Bali, Indonesia, 26–28 July 2011; pp. 332–337. [Google Scholar]
  4. Dimitrakopoulos, G.; Demestichas, P. Intelligent Transportation Systems. IEEE Veh. Technol. Mag. 2010, 5, 77–84. [Google Scholar] [CrossRef]
  5. Figueiredo, L.; Jesus, I.; Machado, J.A.T.; Ferreira, J.R.; Martins de Carvalho, J.L. Towards the development of intelligent transportation systems. In Proceedings of the 2001 IEEE Intelligent Transportation Systems (ITSC 2001), Oakland, CA, USA, 25–29 August 2001; pp. 1206–1211. [Google Scholar] [CrossRef]
  6. Zhao, Y. Mobile phone location determination and its impact on intelligent transportation systems. IEEE Trans. Intell. Transp. Syst. 2000, 1, 55–64. [Google Scholar] [CrossRef]
  7. FDOT Traffic Operations; State Traffic Operations Office: Tallahassee, FL USA, 2019. Available online: https://www.fdot.gov/traffic/itsfm/operations (accessed on 1 March 2020).
  8. Rosca, J.; Ugalde, I.; Songchitruksa, P.; Sunkari, S. CONVAS: Connected Vehicle Assessment System for Realistic Co-simulation of Traffic and Communications. Netw. Simul. Intell. Transp. Syst. 2017, 5, 133–163. [Google Scholar]
  9. Songchitruksa, P.; Sunkari, S.; Ugalde, I.; Rosca, J.; Ojea, J.A. Interlinking Vissim and ns-3 for Connected Vehicle Simulation: Case Study of Intelligent Dilemma Zone Avoidance. Transp. Res. Rec. J. Transp. Res. Board 2017, 2619, 36–43. [Google Scholar] [CrossRef]
  10. Lin, X.; Wang, Y.; Bogdan, P.; Chang, N.; Pedram, M. Reinforcement learning based power management for hybrid electric vehicles. In Proceedings of the 2014 IEEE/ACM International Conference on Computer-Aided Design (ICCAD), San Jose, CA, USA, 2–6 November 2014; pp. 33–38. [Google Scholar]
  11. Lin, X.; Bogdan, P.; Chang, N.; Pedram, M. Machine learning-based energy management in a hybrid electric vehicle to minimize total operating cost. In Proceedings of the 2015 IEEE/ACM International Conference on Computer-Aided Design (ICCAD), Austin, TX, USA, 2–6 November 2015; pp. 627–634. [Google Scholar]
  12. Samrout, M.; Yalaoui, F.; Châtelet, E.; Chebbo, N. New methods to minimize the preventive maintenance cost of series–parallel systems using ant colony optimization. Reliab. Eng. Syst. Saf. 2005, 89, 346–354. [Google Scholar] [CrossRef]
  13. Venkatasubramanian, V. Prognostic and diagnostic monitoring of complex systems for product lifecycle management: Challenges and opportunities. Comput. Chem. Eng. 2005, 29, 1253–1263. [Google Scholar] [CrossRef]
  14. Beeson, S.; Andrews, J.D. Importance measures for noncoherent-system analysis. IEEE Trans. Reliab. 2003, 52, 301–310. [Google Scholar] [CrossRef]
  15. Fricks, R.M.; Trivedi, K.S. Importance analysis with Markov chains. In Proceedings of the IEEE Annual Reliability and Maintainability Symposium, Tampa, FL, USA, 27–30 January 2003; pp. 89–95. [Google Scholar]
  16. Bui, N.; Jung, J. Internet of agents framework for connected vehicles: A case study on distributed traffic control system. J. Parallel Distrib. Comput. 2018, 116, 89–95. [Google Scholar] [CrossRef]
  17. Shladover, S.E. Connected and automated vehicle systems: Introduction and overview. J. Intell. Transp. Syst. 2017, 22, 190–200. [Google Scholar] [CrossRef]
  18. Guerrero-Ibanez, J.A.; Zeadally, S.; Contreras-Castillo, J. Integration challenges of intelligent transportation systems with connected vehicle, cloud computing, and internet of things technologies. IEEE Wirel. Commun. 2015, 22, 122–128. [Google Scholar] [CrossRef]
  19. Uhlemann, E. Introducing Connected Vehicles [Connected Vehicles]. IEEE Veh. Technol. Mag. 2015, 10, 23–31. [Google Scholar] [CrossRef]
  20. Consolazio, G.R.; Cowan, D.R. Numerically Efficient Dynamic Analysis of Barge Collisions with Bridge Piers. J. Struct. Eng. 2005, 131, 1256–1266. [Google Scholar] [CrossRef]
  21. Thompson, P.; Sobanjo, J.; Kerr, R. Modeling the risk of advanced deterioration in bridge management systems. Transp. Res. Rec. J. Transp. Res. Board 2013, 2360, 52–59. [Google Scholar] [CrossRef]
  22. Sheppard, D.M.; Marin, J. Wave Loading on Bridge Decks; Technical Report No. FDOT BD545-58; Florida Department of Transportation: Tallahassee, FL, USA, 2009. [Google Scholar]
  23. Salman, A.; Li, Y. Age-dependent fragility and life-cycle cost analysis of wood and steel power distribution poles subjected to hurricanes. Struct. Infrastruct. Eng. 2015, 12, 890–903. [Google Scholar] [CrossRef]
  24. Scherb, A.; Garrè, L.; Straub, D. Probabilistic risk assessment of infrastructure networks subjected to hurricanes. In Proceedings of the 12th International Conference on Applications of Statistics and Probability in Civil Engineering, ICASP12, Vancouver, BC, Canada, 12–15 July 2015. [Google Scholar]
  25. Baker, J. Efficient Analytical Fragility Function Fitting Using Dynamic Structural Analysis. Earthq. Spectra 2015, 31, 579–599. [Google Scholar] [CrossRef]
  26. Inkoom, S.; Sobanjo, J.O. Competing risks models for the deterioration of highway pavement subject to hurricane events. Struct. Infrastruct. Eng. 2019, 15, 837–850. [Google Scholar] [CrossRef]
  27. Inkoom, S.; Sobanjo, J.; Barbu, A.; Niu, X. Prediction of the crack condition of highway pavements using machine learning models. Struct. Infrastruct. Eng. 2019, 15, 940–953. [Google Scholar] [CrossRef]
  28. Sheppard, D.M.; Miller, W., Jr. Design storm surge hydrographs for the Florida coast (No. 4910 45-04-920). 2003. Available online: http://www.fdot.gov/research/Completed_Proj/Summary_STR/FDOT_BC354_70_rpt.pdf (accessed on 19 December 2019).
  29. Vick, C.; Sumner, R. Guidelines for Transportation Management Systems Maintenance Concept and Plans; FHWA Report No. FHWA-OP-04-011; Federal Highway Authority, United States, 31 December 2002. Available online: https://rosap.ntl.bts.gov/view/dot/37747 (accessed on 19 December 2019).
  30. Wang, Y.; Pham, H. A Multi-Objective Optimization of Imperfect Preventive Maintenance Policy for Dependent Competing Risk Systems With Hidden Failure. IEEE Trans. Reliab. 2011, 60, 770–781. [Google Scholar] [CrossRef]
  31. Wang, Y.; Pham, H. Modeling the Dependent Competing Risks With Multiple Degradation Processes and Random Shock Using Time-Varying Copulas. IEEE Trans. Reliab. 2011, 61, 13–22. [Google Scholar] [CrossRef]
  32. Inkoom, S.; Sobanjo, J. Multilevel competing risks model for the performance assessment of highway pavement. Int. J. Pavement Eng. 2018. [Google Scholar] [CrossRef]
  33. Li, R.; Guo, M. Competing risks analysis on traffic accident duration time. J. Adv. Transp. 2014, 49, 402–415. [Google Scholar] [CrossRef]
  34. Yang, J.; Kim, S.-H. Investigating the performance of as-built and overlaid pavements: a competing risks approach. Int. J. Pavement Eng. 2014, 16, 191–197. [Google Scholar] [CrossRef]
  35. Yamamoto, T.; Kitamura, R.; Kimura, S. Competing-Risks-Duration Model of Household Vehicle Transactions with Indicators of Changes in Explanatory Variables. Transp. Res. Rec. J. Transp. Res. Board 1999, 1676, 116–123. [Google Scholar] [CrossRef]
  36. Inkoom, S.; Sobanjo, J.; Barbu, A.; Niu, X. Pavement Crack Rating Using Machine Learning Frameworks: Partitioning, Bootstrap Forest, Boosted Trees, Naïve Bayes, and K -Nearest Neighbors. J. Transp. Eng. Part B: Pavements 2019, 145, 04019031. [Google Scholar] [CrossRef]
  37. Noordzij, M.; Leffondré, K.; Van Stralen, K.; Zoccali, C.; Dekker, F.J.; Jager, K.J. When do we need competing risks methods for survival analysis in nephrology? Nephrol. Dial. Transplant. 2013, 28, 2670–2677. [Google Scholar] [CrossRef]
  38. David, H.A.; Moeschberger, M.L. The Theory of Competing Risks; C. Griffin: London, UK, 1978. [Google Scholar]
  39. Prentice, R.L.; Kalbfleisch, J.D.; Peterson, A.V.; Flournoy, N.; Farewell, V.; Breslow, N.E. The Analysis of Failure Times in the Presence of Competing Risks. Biometrics 1978, 34, 541–554. [Google Scholar] [CrossRef]
  40. Gail, M. A Review and Critique of Some Models Used in Competing Risk Analysis. Biometrics 1975, 31, 209–222. [Google Scholar] [CrossRef]
  41. Klein, J.P.; Moeschberger, M.L. Survival Analysis: Techniques for Censored and Truncated Data; Springer Science & Business Media: New York, NY, USA, 2003. [Google Scholar]
  42. Crowder, M.J. Classical Competing Risks; CRC Press: Boca Raton, FL, USA, 2001; p. 200. ISBN 9781584881759. [Google Scholar]
  43. Zhang, X.; Gockenbach, E. Component reliability modeling of distribution systems based on the evaluation of failure statistics. IEEE Trans. Dielectr. Electr. Insul. 2007, 14, 1183–1191. [Google Scholar] [CrossRef]
  44. Propst, J.E.; Doan, D.R. Improvements in modeling and evaluation of electrical power system reliability. IEEE Trans. Ind. Appl. 2001, 37, 1413–1422. [Google Scholar] [CrossRef]
  45. Leemis, L.M. Reliability: Probabilistic Models and Statistical Methods; Prentice-Hall, Inc.: Englewood Cliffs, NJ, USA, 1995; p. 319. ISBN 9780137205172. [Google Scholar]
  46. Agrawal, A.; Kawaguchi, A.; Chen, Z. Deterioration Rates of Typical Bridge Elements in New York. J. Bridg. Eng. 2010, 15, 419–429. [Google Scholar] [CrossRef]
  47. Chan, J.-K.; Shaw, L. Modeling repairable systems with failure rates that depend on age and maintenance. IEEE Trans. Reliab. 1993, 42, 566–571. [Google Scholar] [CrossRef]
  48. Flexible Pavement Condition Survey Handbook; State Materials Office: Tallahassee, FL, USA, 2017. Available online: http://www.fdot.gov/materials/administration/resources/library/publications/researchreports/pavement/flexiblehandbook.pdf (accessed on 26 August 2018).
  49. Padgett, J.E.; Desroches, R. Retrofitted Bridge Fragility Analysis for Typical Classes of Multispan Bridges. Earthq. Spectra 2009, 25, 117–141. [Google Scholar] [CrossRef]
  50. State Emergency Response Team (SERT). Florida: Hurricane Dennis’s statewide response briefing sheet, July 12, 2005. Available online: www.FloridaDisaster.org (accessed on 11 June 2019).
  51. The Saffir-Simpson Team. The Saffir-Simpson Hurricane Wind Scale. 2012. Available online: https://www.nhc.noaa.gov/pdf/sshws.pdf (accessed on 11 June 2019).
Figure 1. Annual maintenance costs for ITS devices. NB: 2019 maintenance costs obtained based on data from Vick and Sumner [9] and inflation rate for the year 2019; MC is the maintenance cost.
Figure 1. Annual maintenance costs for ITS devices. NB: 2019 maintenance costs obtained based on data from Vick and Sumner [9] and inflation rate for the year 2019; MC is the maintenance cost.
Infrastructures 05 00030 g001
Figure 2. Schematic representation of the ITS infrastructure on the roadway.
Figure 2. Schematic representation of the ITS infrastructure on the roadway.
Infrastructures 05 00030 g002
Figure 3. Distributions of the typical lifetimes (age) of ITS devices: (a) DMS lifetime distribution plot, (b) CCTV lifetime distribution plot, (c) AVI lifetime distribution plot (d) Wireless Communications lifetime distribution plot.
Figure 3. Distributions of the typical lifetimes (age) of ITS devices: (a) DMS lifetime distribution plot, (b) CCTV lifetime distribution plot, (c) AVI lifetime distribution plot (d) Wireless Communications lifetime distribution plot.
Infrastructures 05 00030 g003
Figure 4. Historical damage records for signs damaged based on hurricane categories in Florida.
Figure 4. Historical damage records for signs damaged based on hurricane categories in Florida.
Infrastructures 05 00030 g004
Figure 5. Fragility curve for signs and signals damaged based on hurricane categories in Florida. NB: signs and signals include signs (horizontal and vertical members), traffic signals, small signs, lights and fixtures and roadway and bridge operation facilities.
Figure 5. Fragility curve for signs and signals damaged based on hurricane categories in Florida. NB: signs and signals include signs (horizontal and vertical members), traffic signals, small signs, lights and fixtures and roadway and bridge operation facilities.
Infrastructures 05 00030 g005
Figure 6. Product limit survival estimates for dynamic message sign (DMS) components compared with hurricane failure intensities.
Figure 6. Product limit survival estimates for dynamic message sign (DMS) components compared with hurricane failure intensities.
Infrastructures 05 00030 g006
Figure 7. Cumulative incidence function estimates for dynamic message sign components compared with hurricane failure intensities.
Figure 7. Cumulative incidence function estimates for dynamic message sign components compared with hurricane failure intensities.
Infrastructures 05 00030 g007
Figure 8. Product limit survival estimates for vehicle tracking and detection systems (CCTV, AVI and WIRELESS COMMUNICATIONS) compared with hurricane failure intensities.
Figure 8. Product limit survival estimates for vehicle tracking and detection systems (CCTV, AVI and WIRELESS COMMUNICATIONS) compared with hurricane failure intensities.
Infrastructures 05 00030 g008
Figure 9. Cumulative incidence function estimates for vehicle-tracking and detection systems compared with hurricane failure intensities.
Figure 9. Cumulative incidence function estimates for vehicle-tracking and detection systems compared with hurricane failure intensities.
Infrastructures 05 00030 g009
Table 1. Traffic management system (TMS) subsystem components and lifetime, Vick and Sumner [9].
Table 1. Traffic management system (TMS) subsystem components and lifetime, Vick and Sumner [9].
TMS SubsystemLifetime (Years)
Roadside Telecommunications (RS-TC)
DS3 Communication Line20
Roadside Detection (RS-D)
CCTV Video Camera10
CCTV Video Camera Tower20
Roadside Control (RS-C)
Signal Preemption Receiver5
Signal Controller Upgrade for Signal Preemption10
Ramp Meter5
Software for Lane Control20
Lane Control Gates20
Fixed Lane Signal20
Roadside Information (RS-I)
Dynamic Message Sign20
Dynamic Message Sign Tower20
Dynamic Message Sign—Portable14
Table 2. Pairwise: hazard ratios for failure (DMS components).
Table 2. Pairwise: hazard ratios for failure (DMS components).
Description (Hazard I vs. Hazard II)Point Estimate95% Wald Confidence Limits (Upper and Lower)
Portable DMS vs. DMS1.4491.3031.611
DMS towers vs. DMS1.0730.9571.202
Hurricane Category 1 vs. DMS<0.001<0.001<0.001
Hurricane Category 2 vs. DMS0.010.0050.023
Hurricane Category 3 vs. DMS3.4123.1093.744
DMS towers vs. Portable DMS0.740.6670.822
Hurricane Category 1 vs. Portable DMS<0.001<0.001<0.001
Hurricane Category 2 vs. Portable DMS0.0070.0030.016
Hurricane Category 3 vs. Portable DMS2.3552.1732.553
Hurricane Category 1 vs. DMS towers<0.001<0.001<0.001
Hurricane Category 2 vs. DMS towers0.010.0040.022
Hurricane Category 3 vs. DMS towers3.1812.9063.482
NB: base hazard is DMS failure.
Table 3. Maximum likelihood estimates (DMS components).
Table 3. Maximum likelihood estimates (DMS components).
ParameterDFParameter EstimateStandard ErrorChi-SquarePr > ChiSqHazard Ratio
FailurePORTABLE DMS10.370710.054246.7744<0.00011.449
FailureDMS TOWERS10.070080.058031.45820.22721.073
FailureHURRICANE CATEGORY 11−14.681250.04349113,969.29<0.0001<0.0001
FailureHURRICANE CATEGORY 21−4.559010.4102123.5235<0.00010.01
FailureHURRICANE CATEGORY 311.227350.0474670.5782<0.00013.412
Table 4. Pairwise: hazard ratios for failure (vehicle detection components).
Table 4. Pairwise: hazard ratios for failure (vehicle detection components).
Description (Hazard I vs. Hazard II)Point Estimate95% Wald Confidence Limits (Upper and Lower)
AVI vs. CCTV0.9790.9071.058
Wireless Communications vs. CCTV0.4450.4030.49
Hurricane Category 1 vs. CCTV<0.001<0.001<0.001
Hurricane Category 2 vs. CCTV0.0050.0020.01
Hurricane Category 3 vs. CCTV1.5141.4121.623
Wireless Communications vs. AVI0.4540.4120.501
Hurricane Category 1 vs. AVI<0.001<0.001<0.001
Hurricane Category 2 vs. AVI0.0050.0020.011
Hurricane Category 3 vs. AVI1.5461.4411.658
Hurricane Category 1 vs. Wireless Communications<0.001<0.001<0.001
Hurricane Category 2 vs. Wireless Communications0.010.0050.023
Hurricane Category 3 vs. Wireless Communications3.4053.1033.736
Table 5. Maximum likelihood estimates (vehicle detection components).
Table 5. Maximum likelihood estimates (vehicle detection components).
ParameterDFParameter EstimateStandard ErrorChi-SquarePr > ChiSqHazard Ratio
FailureAVI1−0.021030.039340.28570.5930.979
FailureWIRELESS COMMUNICATIONS10.810630.05004262.4045<0.00010.445
FailureHURRICANE CATEGORY 11−14.891910.03031241,382.22<0.0001<0.0001
FailureHURRICANE CATEGORY 21−5.373150.40899172.5948<0.00010.005
FailureHURRICANE CATEGORY 310.414580.03562135.4422<0.00011.514
NB: Base hazard is CCTV failure.

Share and Cite

MDPI and ACS Style

Inkoom, S.; Sobanjo, J.; Chicken, E. Competing Risks Models for the Assessment of Intelligent Transportation Systems Devices: A Case Study for Connected and Autonomous Vehicle Applications. Infrastructures 2020, 5, 30. https://doi.org/10.3390/infrastructures5030030

AMA Style

Inkoom S, Sobanjo J, Chicken E. Competing Risks Models for the Assessment of Intelligent Transportation Systems Devices: A Case Study for Connected and Autonomous Vehicle Applications. Infrastructures. 2020; 5(3):30. https://doi.org/10.3390/infrastructures5030030

Chicago/Turabian Style

Inkoom, Sylvester, John Sobanjo, and Eric Chicken. 2020. "Competing Risks Models for the Assessment of Intelligent Transportation Systems Devices: A Case Study for Connected and Autonomous Vehicle Applications" Infrastructures 5, no. 3: 30. https://doi.org/10.3390/infrastructures5030030

APA Style

Inkoom, S., Sobanjo, J., & Chicken, E. (2020). Competing Risks Models for the Assessment of Intelligent Transportation Systems Devices: A Case Study for Connected and Autonomous Vehicle Applications. Infrastructures, 5(3), 30. https://doi.org/10.3390/infrastructures5030030

Article Metrics

Back to TopTop