Next Article in Journal
Performance Analysis of Transcritical CO2 Quasi-Secondary Compression Cycle with Ejector Based on Pinch Point
Previous Article in Journal
About the Mechanical Strength of Calcium Phosphate Cement Scaffolds
 
 
Font Type:
Arial Georgia Verdana
Font Size:
Aa Aa Aa
Line Spacing:
Column Width:
Background:
Article

Peltier Cell Integration in Packaging Design for Minimizing Energy Consumption and Temperature Variation during Refrigerated Transport

1
Department of Electromechanical Engineering, University of Beira Interior, Rua Marquês d’Ávila e Bolama, 6201-001 Covilhã, Portugal
2
C-MAST Center for Mechanical and Aerospace Science and Technologies, University of Beira Interior, 6201-001 Covilhã, Portugal
*
Author to whom correspondence should be addressed.
Designs 2023, 7(4), 88; https://doi.org/10.3390/designs7040088
Submission received: 24 May 2023 / Revised: 26 June 2023 / Accepted: 29 June 2023 / Published: 4 July 2023

Abstract

This study proposes an innovative approach to reduce temperature fluctuations in refrigerated transport during loading and unloading, aiming to minimize food waste and optimize energy consumption in the food supply chain. The solution involves integrating Peltier cells into secondary and tertiary packaging to improve system efficiency and minimize temperature variations. Four distinct tests were conducted: a reference test, continuous Peltier system operation, and two intermittent cooling tests for the hot side of the cells. The results highlight the effectiveness of this approach, particularly in the fourth test where the average final food temperature decreased from 3.2 °C (reference test) to 2.8 °C. Integrating Peltier cells into packaging shows potential benefits in minimizing food waste, reducing energy consumption, and associated emissions during refrigerated transport. This research contributes to the sustainable design and manufacturing of packaging systems, specifically in the context of refrigerated transport. By maintaining a consistent temperature environment during the critical loading and unloading phases, incorporating Peltier cells enhances the overall performance and efficiency of refrigerated transport system. These results point out the significance of exploring innovative solutions for sustainable food preservation and the decrease of waste all along the food supply chain.

1. Introduction

Throughout the existence of human society, there has always been a concern and need to keep food edible and, more recently, to preserve all its nutrients. However, they can only be kept in these conditions if certain factors, such as the humidity and temperature, are within the range of values appropriate for them so that there is no development of organisms that can lead to food waste or food losses [1]. As a result, the Food and Agriculture Organization of the United Nations (FAO) predicts that a third of the food produced for human consumption in the food supply chain is wasted or lost [2]. In the European Union (EU), it is estimated that approximately 88 million tons (MT) (±14 MT) of food is wasted or lost along the supply chain each year, which corresponds to 173 ± 27 kg per capita per year. This number is quite large on a planet where there is a high food shortage to meet the needs of all its inhabitants. Thus, it is necessary to develop systems that can help to reduce this waste, allowing more food to reach consumers in good condition. Another important fact is, by reducing food waste, the environmental impact of waste is also reduced. The environmental impact of food waste includes all emissions from points earlier in the chain (such as production, processing, shipping, and so forth), and the impact is greater the further along the chain the food waste occurs. As a result, the effect of food waste on the environment is determined by adding the emissions from all sites along the food supply chain. The environment is significantly harmed by food waste, canceling out all earlier good actions to reduce emissions along the food chain. The amount of food produced and the total effects connected with it can be decreased by decreasing unnecessary waste in the food supply chain, as the environmental effects of overproduction and overprocessing up to that point. The United Nations (UN) Sustainable Development Goal 12.3, which has set a target to reduce food waste at the consumer and retail level by 50% by 2030 and reduce the environmental impact of food losses, requires cutting down on food losses along the production and supply chains [3]. To reduce these losses, various food preservation techniques have been used throughout history. First, in hunter–gatherer and primitive agricultural societies, very low-energy methods were used, such as drying, salting, or smoking. Then, during the Industrial Revolution, new technologies such as compressed gas refrigeration and canning were developed and used, requiring more energy. While these methods were being developed, there was also a development in food transportation, and with that came an improvement in overcoming spatial and temporal gaps in productivity. Thus, over the years, the current global transportation system has evolved, making it possible to provide fresh and preserved food around the world. However, there has also been a growing global population, with [4] predicting that the world’s population will reach 10 thousand million by 2050 and that they will be in increasingly urbanized places. This prediction implies that there will be a greater reliance on food storage and transportation technologies that currently require high energy sources using fossil fuels, which have finite reserves and are rapidly depleting [1]. Thus, there is great interest in food packaging research and development due to growing concerns about the environmental impact of waste, greater consumer awareness of safety, the longer shelf life of food, and greater ecological awareness of finite resources [5].
Based on the effects produced at various points in the supply chain, as well as the effects produced by the food that is consumed and the food that is discarded, the life cycle of food is categorized. The terminology used in the example study is drawn from the life cycle of an apple [3], and Figure 1 depicts the architecture of the life cycles of food products. The amount commonly consumed by an EU citizen has been chosen as the functional unit because the product under discussion in that study is intended for consumption rather than waste. This unit corresponds to the mass flows. Figure 1 shows the life cycle structure of the consumption of 1 kg of food (in this case, an apple).
As a result, the emissions related to food waste include all emissions produced during the production (gray), processing (light gray), retailing and distribution (white), and consumption (dark gray) of the wasted food. They also include all emissions from operations and waste disposal (dashed). As a result, this food supply chain starts with the original production of 1.28 kg of apples, of which 0.04 kg is discarded as food waste. Then, 1.24 kg of processed food are put into the system, while 0.02 kg of food waste are taken out. Then, because it is food waste, 0.02 kg of the 1.22 kg supplied is taken away. Finally, 1 kg of apples is consumed by citizens, and a total of 0.28 kg has been wasted along the food chain, meaning that 1.28 kg of apples must be produced for 1 kg of apples to be consumed [3].
Food preservation and transportation are closely related since long-distance food transportation calls for effective preservation techniques. As a result, improvements in transportation technology have been crucial in bringing food to places that are becoming more urbanized and crowded. Cities have expanded along with their ecological footprints and reliance on far-off ecosystems for food production. Several technological innovations that have increased the speed and decreased consumption has decreased the amount of time it takes to deliver food. Since the dawn of civilization, travel has become faster, going from a few kilometers per hour for animal-powered vehicles in early agricultural cultures to thousands of kilometers per hour for jet planes in contemporary urban communities. Access to fossil fuels, the inventions of various engines (steam, internal combustion, and jet), and the development of the infrastructure to support them are the main causes of this increase in travel speed [1]. However, a new energy transition is underway as we migrate away from fossil-fuel-based energy consumption and production systems, such as those based on coal, oil, and natural gas, and toward renewable energy sources, such as solar or wind [6]. Even though energy transitions are not new and have occurred throughout the history of civilization, such as the transfer in the 19th century from wood to coal, this shift represents an urgent effort to protect the planet. Since governments worldwide have started initiatives to mitigate climate change by lowering greenhouse gas emissions, immediate action is essential. These efforts primarily focus on decarbonizing key sectors such as power generation, heating, and industry. However, achieving a consensus on the optimal trajectory and extent of decarbonization in these sectors remains a challenge within society. In addition to addressing climate change, a successful energy transition aims to minimize local ecological impacts, enhance economic well-being, and ensure public acceptance, among other objectives. To achieve a sustainable energy transition, it is crucial to consider and balance all these objectives simultaneously [7,8]. As a result, the cost of renewable technologies has been reduced by 60% for onshore wind and 80% for solar photovoltaics in just ten years (2010–2019), which has accelerated development in the energy industry [9]. However, this energy transition entails a paradigm shift that affects the entire system and goes beyond a simple adjustment to the way energy is delivered. Along with the environment, this strategy may also benefit the society and the economy. Digitization of the power grid has the potential to usher in the age of smart grids and pave the way for innovative consumer services. The circular economy’s guiding principles allow for the recycling of coal-fired power plants, while electric mobility and renewable energy sources minimize pollution. The newly formed positions can accommodate persons who have previously worked in the thermoelectric industry in terms of social sustainability [9]. Policymakers have a critical role in supporting and promoting the necessary measures to help reduce climate change. Numerous studies have been carried out to show how the energy shift will benefit society. Implementing circular economy principles and increasing energy efficiency can drastically cut energy use across all industries [10]. According to Elmanakhly et al. [11], hydrogen technologies have the ability to meet energy needs, lower emissions of pollutants into cities, minimize carbon footprints, and promote circular economy. Nevertheless, the global warming potential of hydrogen must be taken into account, as its chemical reactions change the amount of greenhouse gases such as methane, ozone, and stratospheric water vapor, as well as aerosols [12]. Thapa-Parajuli et al. [13] investigated the connection between Nepal’s economic growth from 1980 to 2018 and its export performance, energy consumption, and energy use. Their findings confirm a long-run relationship between energy consumption, economic growth, and exports, indicating the importance of energy in supporting economic development. Bertoncini et al. [14] demonstrate the suitability of a biomass-fired trigeneration central plant combined with the installation of rooftop photovoltaic panels in a district of Turin, Italy. This study emphasizes how incorporating renewable energy sources can help to sustainably meet energy needs.
This research adds to the growing body of evidence on the benefits of transitioning to cleaner and more sustainable energy sources. By considering such studies, policymakers can make informed decisions and develop effective policies to promote the energy transition, address climate change, and foster economic growth. Höfer and Madlener [7] analyzed potential energy transition scenarios and their implications for policy based on the views of numerous stakeholders. The study evaluated and compared different scenarios to identify the most effective ways to transform the energy system. According to the stakeholders’ assessments, scenarios that emphasizes ambitious climate change mitigation measures and the collaboration across Europe to transform the energy system are considered the most favorable options for energy system transformation. On the other hand, all stakeholders agree that the reference scenario developed by the TSOs (German Transmission System Operators) is less suitable compared to at least one other scenario. This suggests a consensus among stakeholders that alternative scenarios provide more appropriate strategies for energy system transformation. On the other hand, Dialga [15] presents a comprehensive study that outlines six distinct areas where policymakers can take action. The first component, called “Environment and Resource Use,” focuses on issues related to waste management, efficient resource use, and air quality. Within the index, the “Sustainable Territories and Mobility” component includes factors that affect territorial allure. “Energy Security and Transition”, the third domain, addresses issues with energy supply and the proportion of renewable sources in the overall energy mix. The economic dynamism of regions is assessed by considering factors such as wealth, employment opportunities, and purchasing power. In addition, the “Governance Dimension” examines the extent to which citizens and non-governmental organizations (NGOs) are involved in policy implementation. Finally, the “Social Dimension” encompasses various aspects such as living standards, social equity, demographics, and employment-related concerns. To use energy sources (batteries) that can be recharged by renewable energy sources like the sun or wind, as set in the current research, the duty of stakeholders and policymakers should be to encourage and support the energy transition. This approach can enable better use of the food produced, transported, and sold, resulting in less food waste, cheaper prices to obtain the same amount of food, and less energy consumed in refrigerated transport, reducing thermal variations and, hence, reducing emissions. As people’s living standards improve and the pace of life accelerates, people’s demand for preserved food has increased rapidly, and refrigerated food has become a staple food for most young people due to its convenience [16]. However, this trend needs to be counteracted as these foods may lead to health issues, and fresh meals like fruits and vegetables must be consumed more frequently, and they must be preserved throughout transportation [17].
High food quality is very important for the fresh food supply chain because it is the high quality of food that leads to the high market value of the product and customer acceptance, so there is food safety. One of the characteristics of fresh food is that it has a strict time limit before it spoils, and, after that period, the food will quickly lose its value, which can lead to additional losses and expenses, loss of market share, and result in food safety problems [17]. As a result, low-temperature transport networks, which are now the primary means of carrying fresh food, can better protect food freshness. The temperature has a major impact on food preservation in the low-temperature transport chain because it can lengthen the shelf life of various fruits, vegetables, and other commodities. Low-temperature transport chains are primarily concentrated in medium and large cities due to the limits of economic conditions and various geographic locations, as the requirement for low-temperature transport chains in rural areas is not very large [18]. Since items are delivered within hours of arrival at the distribution center, managing low-temperature supply chains for new products requires making prompt decisions to increase the shelf life of the freshest products. Logistics for low-temperature supply chains must, therefore, be always monitored and controlled automatically. However, ground transportation is an expensive option for the businesses that deliver and pick up the goods and has a detrimental effect on the environment because of CO2 emissions. For instance, delivering fresh or frozen groceries, medicines, and flowers results in higher emissions since more fuel is required to maintain the temperature of the trucks. Refrigerant leaks are also linked to increased emissions. Temperature control during storage might potentially result in extra expenses and emissions [19]. Fresh foods also need to be kept at a controlled temperature to maintain high quality and ensure longer shelf life [20,21,22]. Indeed, to prevent losses along the transport chain at low temperatures, Gogou et al. [23] developed a study to investigate temperature variations as shown in Figure 2. In this case, it was considered for the transport of meat in two countries (Greece and France) along the chain. The field test was performed by inserting one data logger per food package invisible to people involved in the supply chain and the consumer. Currently, there are technological sensory solutions based on wireless communications that allow for monitoring the temperature and humidity of the conservation environment or of the food products as well as other items [24,25], suitable for real-time traceability [26,27].
It was found that there was a greater variation in temperatures at the change of storage location, with a particular variation in the transport by the consumer, where it was verified that the transport temperatures, although varying from only a few minutes to 1.2 h, reached 17 °C in the case of Greece and 9 °C in the case of France, corresponding to an increase of 9 °C and 4 °C, respectively, concerning the maximum temperature presented until that moment. After that moment, the average temperature of storage by the consumer is 2 °C to 4 °C higher than the value before transport by the consumer.
Based on the information described so far, it is possible to ask several questions, such as: (1) Is it possible to reduce food losses along the supply chain by reducing the temperature fluctuations that food suffers during transport from the production site to the supermarket? (2) Is it possible that the solution to this minimization is to develop a system in which it is possible to maintain the same ideal temperature for the food throughout the supply chain? (3) Will the use of the Peltier effect allow us to answer these questions, even partially? This is the focus of this research, which aims to develop and test a new approach to preserve food in secondary/tertiary packaging to combat these problems. Addressing these problems, our study aimed to reduce energy consumption and temperature fluctuations during loading and unloading procedures associated with refrigerated transport and promote the reduction of food waste in the food supply chain. Therefore, this research includes an approach to reducing wasted food. But, before dealing with the developed system, it is important to characterize some of the currently existing preservation methods, as well as to characterize the Peltier effect and its applications.

1.1. Preservation Methods

1.1.1. Chilling

Although chilled food has no specific definition for what constitutes it, food can be considered to be chilled when its storage temperature is reduced to below room temperature but is still above the temperature at which its water component freezes (changes from a liquid to solid state). However, depending on the food, the temperature at which it can be preserved by this method varies, with foods such as meat and fish being preserved at a temperature closer to the freezing point, while other foods such as bananas and other tropical fruits being preserved at temperatures as low as 14 °C. The chilling process consists of removing heat from the food until it reaches the ideal temperature above its freezing point, which can only be achieved through three processes, namely, radiation, conduction, and convection, the latter being, by far, the most important since it is the one most used in most refrigeration systems. Thus, this preservation process is usually the most used since it does not cause significant changes in the odor, taste, appearance, or texture of the food, and it manages to maintain the characteristics of the “fresh” quality of the food [28]. There are several types of refrigeration systems, the most used being the following:
  • Recirculating air is the most frequently used method for chilling food because it is the most economical and hygienic, and causes very little corrosion to the equipment. Most preserved foods such as fish, meat, vegetables, and fruits are stored in large rooms using this cooling system.
  • By immersion or spraying: This system involves spraying a cold liquid or immersing the food in a cold liquid. When water is used it is usually called “hydro cooling” as this is the most economical method, since water is used at a temperature close to 0 °C.
  • By vacuum: Solid foods with a large surface area about their volume and with a large capacity to release water internally are susceptible to cooling by this method.

1.1.2. Freezing

Freezing preserves food by placing it in an environment where most of its water becomes ice, and in food containing water, ice may form below its original freezing point. Once the ice is formed in the food, it does not disappear until the temperature is increased back to the melting point. Therefore, food is considered frozen if its temperature is −10 °C or below, or if a large proportion of the water in the food (about 80%) has been transformed into ice. Thus, there are five stages of food freezing: initial cooling, supercooling, transition (change of state), completion of freezing, and, finally, equilibrium. Therefore, freezing is the process of removing heat, and the three fundamental mechanisms of radiation, conduction, and convection are the only ones capable of achieving this. Because they have a good contact surface, food products such as meat, fish, ice cream, and fruit juices are typically the only ones that use conduction. On the other hand, radiation is employed on a considerably larger variety of food products and does not require a huge contact surface but rather a significant temperature difference between the food and the surroundings. Convection is the final step, and, like the cooling process, it is the most crucial. Most freezing systems employ it because it can be applied to any product [29]. Thus, there are several types of freezing systems, with the most used being the following:
  • With the help of air circulation in large cold stores, this method makes it possible to extend the life of food products, for example, in the case of shrimps, up to 3–4 months at a temperature of −18 °C or up to 2.5 years for lamb at a temperature of −25 °C.
  • By spraying or by immersion: This system involves spraying a cold liquid into the food or immersing the food in a cold liquid. Since the heat transfer temperature must be lower than 0 °C, it usually uses substances such as sugar, salt, or alcohol solutions in water so that it does not freeze before application.

1.1.3. Aseptic Packaging

Aseptic packaging, which is the insertion of a commercially sterile material into a product, has been used for food preservation for several decades. This is achieved by heat treating in a pre-sterilized container under aseptic conditions and then hermetically sealing to prevent further contamination. Indeed, milk and other non-fermenting dairy products such as cream or pudding, as well as other products such as juices, soups, and sauces, are typical examples of foods packaged in pre-sterilized product packaging. However, for the microbiological stability of some items, such as pasteurized product packaging, where spore-forming bacteria cannot develop, sterilization is not necessary [30].

1.1.4. Drying

Drying involves reducing the water content of foods such as grains and spices. Drying is used to extend the shelf life by reducing the water content to levels that do not cause microbial growth, enzyme activity, or spoilage. On the other hand, drying is also used to enhance the value of food by imparting characteristics (such as texture, flavor, color, etc.) that are present only after this process. However, the removal of moisture from food only allows for the inhibition of microbial growth and adverse reactions, and cannot guarantee food safety, since rehydrating food causes the recovery of water in the food, implying an increase in its water activity, making the food vulnerable to microbial degradation and adverse reactions. Therefore, it is necessary to apply methods to eliminate contamination by micro-organisms before drying, during drying, and after drying [31].

1.1.5. Pasteurization

Pasteurization is a relatively-low-heat treatment, usually at temperatures below the boiling point of water, but, more recently, temperatures well above 100 °C for a few seconds have been used and are also referred to as pasteurization. In effect, this method of heat treatment destroys most pathogenic micro-organisms of food origin, except for heat-resistant spores. This should then reduce the number of viable micro-organisms to the extent that spoilage of the food will be slowed, delayed, or stopped to ensure an acceptable shelf life for the product. On the other hand, heating is intended to inactivate enzymes in the food that would otherwise cause undesirable organic changes to occur. Finally, moderate heat treatment can preserve food quality to a greater extent than the more severe sterilization process [32]. Although it is usually associated with milk, pasteurization is also applied to various foods such as beer, juices, wine, cider, soups, processed cheese, and prepared meals.

1.2. Peltier Effect

The Peltier effect consists of the phenomenon of heat release or absorption at the junction of two different metals or semiconductors, produced when an electric current passes through it (closed circuit). This effect is due to the presence of an electromotive force at the junction, caused by the different compositions on either side of the junction [33]. The amount of heat exchanged depends on the type of materials used and the intensity of the current. The Peltier effect is given by:
Q p = Π × I  
where:
  • Qp—corresponds to the associated heat;
  • Π—corresponds to the Peltier coefficient;
  • I—corresponds to the electric current in the system.
The Peltier effect can be considered as the inverse of the Seebeck effect where the associated heat in the Peltier effect in terms of the Seebeck coefficient is as follows:
Q p = α × I × T      
where:
  • Qp—corresponds to the associated heat;
  • α—corresponds to the Seebeck coefficient;
  • I—corresponds to the electric current in the system;
  • T—corresponds to the absolute temperature of the system.
Peltier cells, shown in Figure 3a, consist of two “plates” of insulating material (usually ceramic) with a mesh of conductive material (e.g., copper) on the inside of the plate. Between the two meshes of conductors are several pairs of “N” (negative)- and “P” (positive)-type semiconductors, which initiate the Peltier effect by absorbing heat in one of the plates and emitting heat in the other plate. Figure 3b shows that when energy is applied to the Peltier cell, the increase in energy causes the movement of electrons from P-type to N-type semiconductors. As the electron moves from the N-type semiconductors to the P-type ones, heat is released, which is called the hot side. The cold-side temperature is cooling relative to the hot-side temperature. This is why Peltier modules are differential coolers. Heat must be constantly radiated away from the hot side to maintain a constant temperature on the cold side [33].
It should be noted that Peltier cells are solid devices with no moving parts, and are completely silent, extremely reliable, small, lightweight, and maintenance-free, has a wide temperature range, and are environmentally friendly. However, if Peltier cells consume too much power and a failure occurs, this can destroy the cold side, because when negative temperatures are reached, condensation can occur, depending on the environment and the humidity of the air. If the heat generated cannot be dissipated to the environment, it will be dissipated to the cell itself, bringing the system into thermal equilibrium and drastically reducing the life of the cell. In certain designs, it is possible to find “stacked” cells that converge their heat-dissipating sides with the absorbing side of another cell, thus increasing the cooling power in the first cell. Due to all the characteristics of Peltier cells, there are several applications for which they are useful: Badalan and Svasta [35] present the comparison between the operation of an LED with a Peltier cell and an LED using a normal heat sink; Halima et al. [36] studied the effect of adding a Peltier cell to the heat sink of an LED; Lu et al. [37] used a Peltier cell to stabilize the junction temperature of a high-power LED; Iskrenović et al. [38] built a thermostat that provides faster and more accurate measurements and runs without oscillation during temperature adjustment; Diatta et al. [39] investigated the influence of the Peltier cell effect on the evolution of grain size heterogeneity, density, and temperature during boron carbonate spark plasma sintering agglomeration (SPS); Freire et al. [40] tested the extraction of energy from Peltier-cell-based thermoelectric generators by natural and/or artificial heat sources, providing a new environmentally friendly tool for clean energy generation; Abraham James et al. [41] proposed and developed a portable device for the storage and disinfection of masks; Casano and Piva [42] performed a quantitative evaluation of cooling system performance for removing the heat produced by the electronic devices’ active and passive components and SMPS for limiting its maximum temperature operation; Casano and Piva [43] conducted an experimental study to determine the performance of thermoelectric modules across various ohmic loads; Ivanov et al. [44] studied and applied a new way to reduce heat losses by using power cables equipped with Peltier cells; Guráš and Mahdal [45] created a testing apparatus to evaluate the usage of Peltier cells in a heat exchanger and a liquid intermediate circuit for liquid cooling; Guráš et al. [46] used geophysical fluid dynamics (GFD) to simulate the internal heat exchanger heat transfer of a unique liquid chilling device that combines a two-circuit liquid refrigeration system featuring a Peltier-module-based new chilling core and an accumulator; Jahangir et al. [47] proposed a fresh design for a jacket that cools using the Peltier effect; Siddique et al. [48] presents a thermoelectric Peltier-module-based cooler augmented with phase change material (PCM) for storage and refrigeration applications in the food business; and Shi et al. [49] studied the cooling drinking water cost using the conventional specific exergy costing (SPECO) hypothesis. An attempt was made to construct a prototype instant drinking water cooler utilizing Peltier modules; Corpuz et al. [50] created a food delivery storage system with built-in artificial heating and cooling to prevent the temperature of the food from rising too quickly during delivery. However, the applications found most interesting for this research were from Kalimuthu et al. [51] and Rokde et al. [52]. Kalimuthu et al. [51] have created a sophisticated, mobile refrigerator that may be utilized to transport medications and food to the desired area. By enabling the user to choose the desired target temperature at which the entire refrigeration unit must work, this gadget offers greater efficiency than the current refrigerator. On the other hand, Rokde et al. [52] developed a solar-powered refrigerator for use in rural areas, which proved to be more reliable than portable refrigerators and more cost-effective and environmentally friendly, which is the current requirement most desired by society. The developed refrigerator has internal dimensions of 30 × 30 × 14 cm3 with an average wall thickness of 4 mm of fiberboard, thus having a capacity of 12.5 L, as shown in Figure 4. Thus, by controlling the temperature range of the refrigeration unit, this refrigerator can be used in various sectors, such as the preservation of dairy products, fish, and seafood transported to markets, or even the transport and storage of blood and pharmaceutical products. For example, this refrigerator started at a temperature of 32 °C and proved to have an efficiency of up to 7 h, and the temperature it managed to reach after 5 h was 14 °C. However, the efficiency can increase by raising the number of Peltier cells used to reach even lower temperatures.

2. Materials and Methods

2.1. Materials

To carry out this project, it is first necessary to present all the material necessary for its elaboration. Therefore, this section presents all the necessary materials and the corresponding technical characteristics, i.e., dimensions, range, and tolerances, among others.
For the elaboration of the research work, it is necessary to have a secondary packaging used for the transport of food and, considering the sustainability, the IFCO RPC packaging can be used, for example, the Green Lite CH6416 (Figure 5) with the characteristics described in Table 1.
Thus, the tertiary packaging is the component where the secondary packaging will be placed and, again, considering sustainability, pallets from the company INKA can be used, more specifically, compacted plastic pallets that are built using recycled plastic: an example can be IKP1878 PEE (Figure 6), with the characteristics shown in Table 2 [54].
The batteries should have the characteristics described in Table 3 so that they can be included in the tertiary packaging while taking up as little space as possible.
The Fluke 51 K/J thermometer temperature monitoring system [55] is used to monitor the surface temperatures in the first two preliminary tests, both in both parts of the Peltier cells and the temperature of the food used in the tests. The monitoring system used the specifications shown in Table 4.
The temperature monitoring system used for the remaining tests is the PCE-T 1200 [56]. The monitoring system used has the specifications shown in Table 5.
A Hewlett-Packard E2373A multimeter [57] is also used to measure the voltage and current in the Peltier cells used in the test. Its specifications are listed in Table 6.
The Peltier cells, as shown in Figure 7, are used, as described in Section 1.2, to lower and/or maintain the temperature of the food being tested. In this test, two types of Peltier cells were used [58,59], the characteristics of which are shown in Table 7.
Finally, the last material used was fruit, specifically oranges, tangerines, and grapefruits.

2.2. Methods

2.2.1. Characterization of the External Environment

To carry out the tests, it is necessary to take into account the temperatures of the external environment, the room ambient temperature, and the temperature inside a refrigerated vehicle, whose temperature, according to Table 8 of CENEX for oranges, mandarins, and grapefruits (foodstuffs used in the tests), is within the parameters for refrigerated foodstuffs at high temperatures, 8 °C [60].

2.2.2. Positioning of the Battery and the Peltier Cells

Starting with the battery, its positioning should be in a place where there is minimal loss of usable space for placing the secondary packaging. For this reason, it was determined that the battery, with the maximum dimensions mentioned above, could be placed at the bottom of the euro pallet, as shown in Figure 8. It is protected on both sides by two metal plates with maximum dimensions of 500 × 78 × 5 mm3 so that the forks of the forklifts do not damage the batteries.
The Peltier effect is used to create Peltier cells, which are based on the phenomenon of heat being released or absorbed at the junctions of different metals or two semiconductors when an electric current passes through them in a closed circuit. As a result, Peltier cells have many uses (some of which are discussed in Section 1.2) such as in electronics, where temperature is one of the speed limitations of microprocessors, and the higher the speed, the more heat is produced. Processors can perform better at lower temperatures because of the Peltier effect. In scientific research labs, where several components, like lasers or infrared detectors, must be kept at low temperatures, this effect is also used in this manner.
Before considering the created prototype, it is necessary to know the number of cells required by the required power, which can be determined by Equation (3), considering that the secondary package is closed because it has another package covering its top. Then, the value of the area, Ar, can be calculated by Equation (4), ignoring the losses as a passive charge by radiation and conduction to simplify the calculations and because they are negligible.
Q c o n v e c = h × A r × ( T a m b T f )
A r = 2 × A 1 + 2 × A 2 + 2 × A 3
Calculate Ar using Equation (4) and the dimensions of the secondary package:
A r = 2 × ( 0.6 × 0.4 ) + 2 × ( 0.4 × 0.164 ) + 2 × ( 0.6 × 0.164 ) = 0.808   m 2
Calculating the value of the convection heat load using Equation (3) and given that the value of h is 21.7 W/m2 °C [61] for a horizontal plate at a pressure of 1 atm, Tamb is 25 °C and Tf is 8 °C as presented in [60]; then, the value of the required thermal power is:
Q c o n v e c   = 21.7 × 0.808 × ( 25 8 ) = 298.07   W
The Peltier cells must have a total value of around 300 W. Considering the characteristics of the cells presented in Section 2.1 (Table 7), 2 Peltier 12,706 cells from VLC Components S.I. and 2 Peltier 12,706 cells from botnroll are used that; using Equation (5), the power that these cells will provide is calculated.
P P r o v i d e d = 2 × P b o t n r o l l   c e l l s + 2 × P V L C   C e l l s
Now, substituting the values into Equation (5), the power provided is given by:
P P r o v i d e d   = 2 × 60 + 2 × 91.2 = 302.4   W
Again, using Table 7, the botnroll cells require 5 A each and the VLC Components SI cells require 6 A each. Equation (6) can then be used to calculate the current required to operate a secondary pack for 60 min:
I = 2 × I b o t n r o l l + 2 × I V L C  
Now, substituting the values into Equation (6):
I = 2 × 5 + 2 × 6 = 22   A
Knowing that the system consists of 12 secondary packages, it is possible to calculate how much current intensity is needed to power the system for 60 min using Equation (7):
I T o t a l = N P a c k a g e × I
Substituting the values into Equation (7):
  I = 12 × 22 = 264   A
Indeed, to power the system, a power supply with 264 A is required. Regarding the placement of the Peltier cells, this should be carried in the upper side zones since, as presented by [62] and, considering the characteristics of the secondary packaging used, the cells positioned in these zones present a better performance in decreasing the temperature. Thus, the placement should be carried as presented in Figure 9.

2.2.3. Connection between Peltier Cells

The Peltier cells must be connected in a closed circuit and in series for each secondary housing. For example, WAGO connectors, specifically model 221-2401 [63], can be used to make the connections between them.
However, for the connections between the secondary and tertiary packaging, and to simplify their connection, connectors can be used, for example, WAGO models 890-112 [64] and 890-103 [65], where the user only needs to insert the connectors into each other without any tools.

2.2.4. Characterizing the Position of the Temperature Sensors

To better locate the position of the temperature sensors that will provide the temperatures in certain secondary packages, a three-dimensional schematic (Figure 10) of the tertiary package with the 12 secondary packages was first created in Solidworks. The development of this schematic allows the use of the corresponding views to identify each of the secondary packaging columns (Figure 11), as well as their position on the chamber door. Thus, the next step was to separate the secondary packages by row about their height; for example, the package located in column 1 and in the second row is represented by M1. Thus, in Figure 12, it is possible to see each of the secondary packages with the same characterization.
Figure 13 shows the positioning (x, y, z) (meters) of each of the sensors present in the boxes M1, U1, M4, B1, M3, U4, M2, and B4, which, to facilitate their identification, have been given the same name as the package in which they are located.

2.2.5. Preliminary Tests to Be Performed and Their Objectives

The purpose of the preliminary tests is to analyze the initial behavior of the Peltier cells in the secondary packaging, as well as the thermal variations that the secondary packaging itself undergoes when they are placed together in the tertiary packaging. Thus, three preliminary tests were performed:
  • 1st test: Comparison of the temperature variation (inside a closed room) in the secondary packaging when it has thermal grease between the Peltier cells (dissipative side) and the inner wall of the secondary packaging, and when it does not.
  • 2nd test: At room temperature, what is the thermal variation that Peltier cells can cause? What is the normal behavior of thermoelectric coolers?
  • 3rd test: With a temperature of 2 °C inside a cold storage chamber, for both environment and fruit used, what is the temperature variation without the use of the Peltier system (reference test), from the moment the cooling system of the chamber is turned off and its door is opened, where the ambient temperature is 15 °C, during the first 60 min?

2.2.6. Tests and Their Objectives

Finally, this point presents the tests performed and the objectives to be achieved in each of them, based on the unloading procedures of a refrigerated truck [60]. The tests carried out are as follows:
  • 1st test: At a temperature of 2 °C inside the refrigerator, for both the environment and the fruit used, the refrigeration system of the store is switched off, its door is opened, and the temperature of the external environment is 15 °C. What is the variation in the temperature of the food from the moment the system with the Peltier cells is switched on for 60 min?
  • 2nd test: When the temperature inside the refrigerator is 2 °C, for both the environment and the fruit used, the refrigeration system is turned off and the door is opened. The outside temperature is 15 °C. What is the variation in the temperature of the food from the moment when the system with the Peltier cells is switched on for 5 min, then switched off for 5 min, then repeated for 60 min?
  • 3rd test: When the temperature inside the refrigerator is 2 °C, for both the environment and the fruit used, the refrigeration system is turned off and the door is opened. The outside temperature is 15 °C. What is the variation in the temperature of the food from the moment when the system with the Peltier cells is turned on for 7.5 min, then turned off for 2.5 min, and then repeated for 60 min?

3. Experimental Prototype and Tests

3.1. Prototype Assembly

The experimental prototype was assembled using the materials described in the Materials and Methods section. For the secondary packages, 12 packages were used, with the same dimensions as the IFCO packages described in Section 2.1, corresponding to the package shown in Figure 14a. The Peltier cells from botnroll and VLC Components-S.I. (Figure 7) were placed inside them, as shown in Figure 14b.
In fact, after placing the cells as shown in Positioning the Battery and Peltier Cells, the Peltier cells were placed in each box as shown in Figure 15a. When the 12 secondary packs were placed in the tertiary pack, they were arranged as shown in Figure 15b.
Finally, the alveoli (Figure 16a) were placed in the secondary packages to later receive the fruits mentioned in Section 2.1, which were arranged in the boxes as shown in Figure 16b.
The Peltier cells in the same package as well as their connections between the various secondary packages are connected in series, and this same connection was made by unions as shown in Figure 17a. As for the power supply of the circuit, in the first and second preliminary tests, this was carried out using three Ultracell batteries that are connected in parallel to maintain the same 12 V voltage but increase the current available for the circuit. This connection is present in Figure 17b. However, for the third preliminary test (reference test in which the system composed of Peltier cells is deactivated) and for the remaining main tests, two more batteries were introduced to ensure the normal operation of the system for 60 min, and this same system is represented in Figure 17c. It is important to note that the batteries are not the ones that would be integrated into a final prototype. They were only used for the tests.

3.2. Tests

The first preliminary test (consisting of three tests, each with 20 min) is to verify that the use of thermal grease between the Peltier cells (dissipating side) and the inner wall of the secondary packaging allows the temperature of the radiating side of the cells, as well as the temperature of the food in the middle of the packaging, to be lower than without the use of this thermal grease. Thus, three tests were performed in which one of the columns had thermal grease and another column did not, as shown in Figure 18. For a better understanding of the analysis of the results, acronyms were assigned to each measurement as presented in Table 9. Figure 19 shows the working state of the Peltier cells during this test.
On the other hand, the second preliminary test (consisting of three tests, each with 20 min) was used to determine (inside a closed room) the normal behavior of the Peltier cells at room temperature and to draw the characteristic curve of this behavior. The same test is shown in Figure 20. For a better understanding of the analysis of the results, acronyms were assigned to each measurement as presented in Table 10. Figure 21 shows the working state of the Peltier cells during this test.
Thus, for the reference test (Peltier cell system deactivated) and for the remaining tests (each consisting of three tests), a cooling chamber was used, as shown in Figure 22a. The tertiary package with 12 secondary packages of the fruit shown in Figure 16b was placed in this climate chamber (Figure 22b). Thus, for these 60 min tests, the power supply system shown in Figure 17c was used to ensure the normal operation of the system during this period. Again, it is important to note that the batteries are not the ones that would be used in a final prototype and were only used for testing. For a better understanding of the analysis of the results, acronyms were assigned to each measurement as presented in Table 11. Figure 23 shows the working state for each one of these tests for the first 20 min since this process repeats during the entire test period (60 min).

4. Analysis and Discussion of the Results

4.1. Preliminary Test—Influence of Thermal Grease

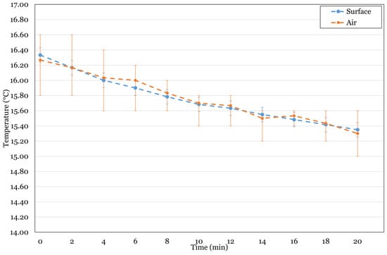
The first preliminary test was to find out if the use of thermal grease would allow a better heat dissipation of the Peltier cells. Therefore, the analysis of the results of this preliminary test starts with Figure 24, which shows the temperature variation (average of the three tests) of the surfaces during the test period and the corresponding standard deviations. Thus, the blue line corresponds to the surface temperature variation without the use of thermal grease, and the orange line corresponds to the surface temperature variation with the use of thermal grease. It can be observed that, despite having the same mean temperature and standard deviations at the beginning of the tests, the surfaces without thermal grease showed a constant tendency to decrease during the tests, reaching a final mean temperature of 15.3 °C, corresponding to a decrease of about 1.1 °C. On the other hand, with the use of thermal grease, there was a constant decrease in the first 6 min, followed by a stabilization until 14 min, at which point there was an increase of 0.1 °C. This increase can be explained by the fact that the secondary packaging material (polypropylene) has a low thermal conductivity and, therefore, affects the heat dissipation on the dissipative side of the Peltier cells. From 14 min to the end of the test period (20 min), a steady decrease was observed, reaching a temperature of 15.7 °C at the end of the test period (0.7 °C decrease).
It should also be noted, however, that although the temperature variation of the surfaces with thermal grease generally had smaller standard deviations, they corresponded to higher temperatures than the temperature variation of the surfaces without thermal grease after 10 min (inclusive). Thus, at the end of the test period, the lowest temperature standard deviation (15.6 °C) of the temperature variation of the surfaces with thermal grease corresponds to the highest temperature standard deviation of the temperature variation of the surfaces without thermal grease.
Despite the importance of the surface temperature variation, it is also necessary to analyze the temperature variation (average of three tests) in the center of the secondary packaging to determine the influence of the use or not of thermal grease. In Figure 25, it is possible to observe the air temperature variation, where the blue line corresponds to the temperature variation in the center of the secondary packaging without the use of thermal grease, and the orange line corresponds to the temperature variation in the center of the secondary packaging with thermal grease. It is possible to observe that, in the air temperature variation (average of three tests) in the middle of the secondary packaging without the use of thermal grease, although there was a decrease in temperature until the 18th minute and stabilization from this moment until the end of the test (20 min), this same decrease was not constant in all the time intervals (5 °C) in the time interval from 0 to 4 min, followed by a much less pronounced decrease (about 0.2 °C) between 4 and 8 min, followed by a constant decrease of 0.6 °C between 8 and 18 min, reaching a final average temperature of about 15.3 °C, corresponding to a decrease of about 1.1 °C.
The air temperature variation (average of three tests) in the middle of the secondary packaging with the use of thermal grease can be characterized by three stabilization time intervals between 2 and 4 min (16.2 °C), between 8 and 14 min (15.9 °C), and between 16 and 18 min (15.8°), reaching a final temperature of approximately 15.7 °C, corresponding to a decrease of 0.7 °C. Thus, these stabilization periods were influenced by the behavior of the surface temperature variation, as observed and discussed in the analysis of Figure 20. As for the standard deviations, and in the same way as the surface temperature variation, despite starting with the same temperatures and standard deviations, after 4 min, the graph related to the non-use of the thermal grease shows intervals of maximum temperatures and lower minimum temperatures. However, unlike the surface temperature values, the final temperature standard deviations do not overlap, with a difference of 0.2 °C between the minimum temperature with thermal grease and the maximum temperature without thermal grease.
By acting as a conductor of the heat to be released, thermal grease is typically utilized to maintain the temperature as low as possible. In desktop and laptop computers, thermal grease and Peltier cells are used simultaneously. Most Peltier cell applications include space for a heat sink, and between the two, thermal grease is typically added to help with heat dissipation, as presented and used in [34,43]. However, the usage of a heat sink was not feasible because the built prototype lacked any physical area that did not affect the secondary packages’ regular purpose.
From these figures, it is possible to see that the use of thermal grease in this experimental prototype is not advantageous because it only allowed a reduction of 0.7 °C in the surface temperature of the packaging, whereas not using thermal grease allowed a reduction of 1.1 °C. Although, typically, the thermal grease presents an advantage in helping the heat dissipation, in this case, with only the existence of this and the Peltier cells without any heat sink, the use of thermal grease is not an advantage.

4.2. Preliminary Test—Thermal Performance of Peltier Cells

The second preliminary test was used to determine the thermal performance of the Peltier cells at room temperature and to draw a characteristic curve. As in the first preliminary test, the temperature variation on the surfaces was separated from the air temperature variation in the middle of the secondary packaging (average of three tests). In fact, in Figure 26, it is possible to observe the temperature variation on the surface, which is characterized by a constant decrease throughout the test time, with a decrease of about 1 °C. This difference is identical to that obtained for the temperature variation of the surfaces of the secondary packaging without thermal grease (see Figure 26). On the other hand, the standard deviations obtained in this second preliminary test have wider ranges of values than the standard deviations of the temperature variation of the surfaces of the secondary packaging without thermal grease.
If the variation of the air temperature in the center of the secondary package exposed in Figure 22 is analyzed, it can be observed that it is characterized, as in the variation of the air temperature in the center of the secondary package without thermal grease, by a gradual decrease in temperature, marked by periods of more pronounced decrease between 0 and 4 min, between 6 and 10 min, between 12 and 14 min, and between 16 and 20 min. There are also periods of stabilization between 4 and 6 min, between 10 and 12 min, and between 14 and 16 min. As for the standard deviation, it was characterized by variations smaller on average than those for the surface temperature, but larger than the standard deviations obtained for the variation of the temperature in the center of the secondary package without thermal grease.
Two conclusions may be derived from these figures. First, when the values obtained are compared to those obtained in prior studies, such as [51,52], it is clear that, despite the lack of a heat sink, the curve still shows a trend to reduce temperature comparable to those in the previous research. However, this drop rate is substantially smaller than what was observed in the [51,52] experiments.
Second, it is important to note that there is a clear relationship between changes in the temperature ranges of the standard deviations and variations in the ambient temperature. This shift in temperature directly contributes to an expansion in the range of temperature values covered by the standard deviations when comparing the first preliminary test, where the ambient temperature registered at 16.9 °C, to the second preliminary test, which recorded an ambient temperature of 17.7 °C.

4.3. Testing the Influence of Peltier Cell Operation

The results of the third preliminary test (reference test where the Peltier cells are deactivated) and the tests of the influence of the operation of the Peltier cells were analyzed together to better observe and compare the average temperature variations during the test period (60 min) and the corresponding standard deviations. This subsection was divided into three subsubsections. The first subsubsection consists of analyzing the characteristics of the temperature values (average of three tests) and their standard deviation of the tests concerning the reference test. The second subsubsection consists of analyzing the results of the variation of temperatures under different operating modes of the Peltier cells about the reference. Finally, the third subsubsection serves to analyze the critical points of the system about the reference values.

4.3.1. Comparison of the Operation Mode of the Peltier Cells

In Figure 27, it is possible to observe the three tests and the reference test (Peltier cells deactivated), wherein, in the first 26 min, it is possible to observe an identical behavior and quite close values, approximately 2.2 °C, of the temperatures (average of three tests) measured in the three experimental tests with different operating modes of the Peltier cells.
On the other hand, it is possible to observe that the curve for the 60 min on (60 L) test, in terms of temperature variation, presents a tendency to approach the reference test from 26 min to the end of the test period (60 min). The standard deviation of this measurement started the same trend at 11 min and even exceeded the standard deviation of the reference test at 23 min, accentuating this difference until the end of the test. This behavior shows that some of the sensors used recorded higher temperature values compared to the reference test sensors, possibly due to the lack of any form of heat dissipation in the Peltier cells. Thus, since they were in continuous operation throughout the test, there was a tendency for thermal equilibrium on both sides of the Peltier cells, causing a heat transfer from these cells that, together with the ambient temperature, contributed to an increase in temperature.
Analyzing the behavior of the characteristic curves, both for the 5 min on and 5 min off test (5L_5D) and for the 7.5 min on and 2.5 min off test (7.5L_2.5D), they had an identical behavior during the first 40 min of the test. After this time, the slope of the temperature variation in the curve of the 5L_5D test was steeper than that of the 7.5L_2.5D test. Although the initial temperatures are slightly higher than the reference test, after 12 min, they are lower than those measured in the reference test. Thus, both tests ended with lower temperatures (3 °C and 2.8 °C, respectively) than the reference test (3.2 °C). In terms of standard deviation, since these two tests had higher temperatures at the beginning of the test than the reference test, their standard deviation was also higher during the first 7 min, reversing at that point and remaining below the standard deviation of the reference test until the end of the test.
Therefore, by comparing the temperature variation of these three curves with the reference one, it was possible to conclude that the system could not be in continuous operation for the entire test time, as demonstrated in the 60L test; since it does not have a heat sink, its tendency, after a few minutes of continuous operation, is to approach and even exceed the test reference temperature in some of the sensors. Therefore, in possible future work, the realization of a prototype in continuous operation should not have any Peltier cells without a heat sink in continuous operation since it is not beneficial in any way for the control of the temperature variation.
As for the other two curves (5L_5D and 7.5L_2.5D), they indicate that a Peltier cell without a heat sink should operate in a non-continuous manner since they present more advantageous results for the control of the temperature variation and the control of the energy consumption. However, it is important to emphasize that the operation should be carried out with a longer period on than off, but always in cyclical periods during the total time of the test.

4.3.2. Comparison between the 7.5L_2.5D Test and the Reference Test

From Figure 27, it is possible to conclude that the test that showed better results both in temperature and range (smaller standard deviation) compared to the third preliminary test (reference test where Peltier cells are deactivated) was the test with the Peltier cells operating in a cycle where they remain 7.5 min on and 2.5 min off (7.5L_2.5D). Thus, Figure 28 shows the comparative surface temperature variation (averaged over three trials) between this test and the reference test. As noted earlier, although this test started with a slightly higher temperature than the reference test, it ended with a final temperature of approximately 0.4 °C lower than the reference test, a decrease of 12.5%.
During the first 12 min, it is possible to observe a similar behavior between both tests’ characteristic curves, possibly due to the existence of thermal inertia. After this period, a practically constant temperature rise is easily observed during all the remaining time for the reference test case and a less pronounced rise for the 7.5L_2.5D test case. The latter presents more temperature stabilization time intervals, such as in the interval from 28 to 31 min and in the time interval between 41 and 44 min.
Thus, when analyzing the temperature standard deviation values, it is possible to see that, like the temperature variation, they also start with temperature intervals higher than those measured in the reference test but manage to reverse this position at 9 min. This same difference is accentuated during the test time, presenting, at the end of the test, a maximum temperature difference of approximately 1 °C compared to the reference test (approximately 3.9 °C for the 7.5L_2.5D test and approximately 4.9 °C for the reference test). Regarding the minimum temperature, this difference is smaller, at 0.2 °C (approximately 2.3 °C for the 7.5L_2.5D test and approximately 2.5 °C for the reference test).
If the variation recorded for this test (7.5L_2.5D) is compared with the variation recorded in [19] under equivalent conditions, i.e., over a comparable period and at a comparable initial temperature, it is possible to see a smaller temperature variation in the test 7.5L_2.5D. Therefore, considering the case of transport from the manufacturer’s warehouse to the distribution center in Greece, the temperature increased from about 2 °C to 4 °C after about 60 min, whereas the 7.5L_2.5D test only shows an increase from 2 °C to 2.8 °C in the same period, representing a difference of 30%. This small temperature variation means that it will take less energy to get the food back to 2 °C.

4.3.3. Comparison of Critical Points

After analyzing the characteristic curve of the temperature variation (average of three tests) of the operating test of the Peltier cells 7.5 min on and 2.5 min off (7.5L_2.5D) about the temperature variation (average of three tests) of the reference test (Peltier cells deactivated during the test time), it is also necessary to analyze the critical points of the system.
Thus, from the temperature variation measured by each of the sensors used, it was possible to observe that, in addition to their height, their position concerning the door of the refrigeration chamber (closest to the outside environment at a higher air temperature) also influences the thermal variation of the food.
Thus, the secondary packages that are in the highest positions about the tertiary package (packages U1 to U4) suffer a greater thermal variation, while the secondary packages that are closer to the tertiary package (packages B1 to B4) suffer the least variation. For example, Figure 29 and Figure 30 show the temperature variations at U1 and U4, respectively, relative to the reference test, with the U4 sensor being more critical because it is closest to the refrigeration chamber door.
Starting from sensor U1 (Figure 29), which is the one farthest from the door of the refrigeration chamber, it can be observed that during the first 45 min of the test, both curves show identical behavior. After this time, the curve of the reference test diverges from the curve of the 7.5L_2.5D test, ending with a final temperature of approximately 4 °C compared to the final temperature of 3.7 °C of the 7.5L_2.5D test. Thus, if a linear trend line is plotted on both curves, it can be seen that the trend line of the reference test has a slope value of 0.033 (+0.033 °C/h), while the trend line of the 7.5L_2.5D test has a slope value of 0.0298 (+0.029 °C/h), which represents a decrease of approximately 9%, a lower temperature of approximately 0.5 °C at the end of the 60 h test.
Analyzing the standard deviation of both curves, the standard deviation concerning the 7.5L_2.5D test has the lowest minimum temperature in most cases, with a final temperature difference of approximately 0.2 °C from the reference test value. On the other hand, the maximum temperature value up to and including 47 min is mostly from the 7.5L_2.5D test, and, after that moment and as a consequence of the increase in the difference in slope between the two curves, there is an inversion of the position, with the standard deviation of the temperature in the reference test reaching higher temperature values, ending with a temperature difference of approximately 0.3 °C compared to the 7.5L_2.5D test.
Looking at sensor U4 (Figure 30), which is closest to the door of the refrigeration chamber and therefore the most critical point of all, it can be observed that, although sensor U4 of test 7.5L_2.5D started with an initial temperature of 0.3 °C above the temperature value of the reference test, after 8 min of testing, it was already measuring a lower temperature than the one measured in the reference test. Thus, sensor U4 in test 7.5L_2.5D obtained a final temperature of 3.9 °C and 4.9 °C in the reference test, a difference of 1 °C. Thus, by analyzing the linear trend lines obtained, it is possible to observe a decrease in the slope from 0.0482 °C/h (reference test) to a slope of 0.0305 °C/h (7.5L_2.5D test), which represents a decrease of approximately 37%.
The standard deviation of both curves shows that, as with the temperature variation, U4 of the 7.5L_2.5D test started with higher temperature variations than the reference test up to 9 min (exclusive). These variations became smaller and smaller relative to the standard deviation of the reference test. This trend away from both curves resulted in a difference in minimum temperatures of 0.7 °C (approximately 3.9 °C for the 7.5L_2.5D test and 4.6 °C for the reference test) and a difference in maximum temperatures of 1.1 °C (approximately 5.1 °C for the reference test and 4 °C for the 7.5L_2.5D test).
On the other hand, the less affected points in this test are the packages located in positions B1 to B4. Thus, in Figure 31 and Figure 32, the temperature variation curves of sensor B1 and sensor B4, respectively, are shown concerning the reference test sensor, the first being the least critical point since it is the one farthest from the door of the refrigeration chamber. For sensor B1 (Figure 31), which is the farthest from the door of the refrigeration chamber, during the first 37 min, both test curves show identical behavior. From this point on, there is an increase in the slope of the average temperature in the reference test, resulting in a final temperature of approximately 2.4 °C for sensor B1 of the 7.5L_2.5D test and approximately 2.5 °C for the reference test, with a difference of 0.1 °C.
Analysis of the trend lines for both curves show a decrease in slope from 0.0094 °C/h (reference test) to a slope of 0.0053 °C/h (7.5L_2.5D test), a decrease of 43.6%. The analysis of the standard deviation of both curves shows that, as in the characteristic curve, there is an identical behavior in both tests, with an alternation of maximum and minimum values. However, from minute 38, the reference test is predominant concerning the 7.5L_2.5D test, which translates into a difference between the maximum and minimum temperatures between the two tests of 0.2 °C for the temperatures.
On the other hand, if the temperature measurements made by probe B4 (Figure 32) are analyzed, which is closer to the door of the refrigeration chamber, it can be seen that, unlike the values measured by probe B1, the curves are identical only up to minute 9. At this moment, the linear trend line of the temperature variation of the reference test increases compared to the linear trend line of the 7.5L_2.5D test, reaching a final temperature of approximately 2.6 °C, a difference of 0.2 °C about the 7.5L_2.5D test.
Thus, the analysis of the linear trend lines of both curves shows that the slope decreased from 0.0104 °C/h (reference test) to 0.0067 °C/h (7.5L_2.5D test), a decrease of approximately 35.6%. The standard deviation of the temperature of both curves shows an identical behavior in both tests until the 9th minute, with an alternation between the maximum and minimum values. However, from the 10th minute, there is an absolute predominance of the reference test concerning the 7.5L_2.5D test, resulting in a difference between the maximum and minimum temperatures of both tests of 0.2 °C for both temperatures.

5. Conclusions

The concern of ensuring an adequate food supply for a growing global population while minimizing the environmental impact from food waste and losses has led to efforts in reducing both food loss and waste. This study focuses on integrating Peltier cells into secondary packaging for refrigerated transport to optimize food preservation and extend shelf life while maintaining nutrient content.
To develop this technological solution, an initial investigation was conducted to examine current food preservation methods in various stages, including producers’ warehouses, distribution centers, storage facilities, and retail shelves, as well as transportation methods. The study also explored the Peltier effect and its practical applications.
The developed system involves incorporating Peltier cells into commonly used packaging for food transport and storage, aiming to minimize energy consumption and temperature fluctuations during refrigerated transport. Realistic temperature variations were simulated in the tests using air bubbles and fruits (oranges, tangerines, and grapefruits) placed in the secondary packaging to obtain reliable results under actual transport conditions.
Following the research, development, and assembly processes, the experimental prototype was constructed, enabling the desired tests to be conducted. The experimental results provided insights into the system’s performance in different scenarios.
The first preliminary test, conducted at an ambient temperature of 16.9 °C, showed that using thermal grease between the Peltier cells and the secondary packaging’s inner wall, as is commonly done in studies [37,46], does not enhance the thermal performance of the system due to the absence of a heat sink. When comparing the results of tests with and without thermal grease, both starting at 16.4 °C, the test without thermal grease achieved a temperature reduction of approximately 1.1 °C, reaching around 15.3 °C. In contrast, the test with thermal grease only achieved a reduction of 0.7 °C, resulting in a temperature of 15.7 °C. This corresponds to a 6.7% reduction for the former and 4.3% for the latter.
The second preliminary test aimed to assess the typical performance of the Peltier cell within the utilized system at room temperature. By constructing the system’s characteristic curve and comparing it to values of studies [51,52], it was observed that, while these studies exhibited a similar temperature decrease trend, the attained results were considerably lower compared to the initial temperature. It is important to note that these results were achieved solely due to the presence of a heat sink. On the other hand, when comparing the results of the first preliminary test (without thermal grease) to the second preliminary test, where the ambient temperature increased from 16.9 °C to 17.7 °C, both tests displayed an increase in temperature standard deviations but no significant alteration in the average temperature difference.
The third preliminary test and the three main tests (reference, test 60 L, test 5L_5D, and test 7.5L_2.5D) were conducted to analyze temperature variations. Continuous operation of the Peltier cells (test 60 L) proved to be disadvantageous, as it initially performed well but deteriorated over time, approaching the reference curve and even exceeding the reference test’s temperature standard deviation.
On the other hand, the 5L_5D test provided valuable insights, showing that implementing a cyclic pattern of turning the system on and off at regular intervals yielded better results. This approach resulted in a distinctive curve with a final temperature 0.2 °C lower than the reference test. Specifically, the reference test had a final temperature of 3.2 °C, while the 5L_5D test achieved a final temperature of 3.0 °C, representing a significant 6.25% temperature reduction.
Test 7.5L_2.5D showed the best results, with a lower final temperature of approximately 2.8 °C compared to the reference trial’s temperature of 3.2 °C. This represents a temperature reduction of 12.5%. When comparing these results to temperature variations recorded in [23] for a similar scenario in Greece (transition between the producer’s warehouse and distribution center during transport), it is observed that the initial temperature of 2 °C increases to approximately 4 °C after one hour. By implementing the developed system, the final temperature achieved in the 7.5L_2.5D test (2.8 °C) represents a temperature reduction from 4 °C [20] to 2.8 °C, which corresponds to a significant reduction of 30%.
The analysis of the prototype developed within this research revealed the impact of tertiary packaging height on temperature variation. It was also observed that the position of the refrigeration chamber door has an influence on this variation. The percentage difference between the most critical points was found to be 27.7%, while the difference between the least critical points was only 8%.
Based on the results and discussions, it can be concluded that the developed system is a viable technological solution, as it achieved an average temperature reduction of 12.5% within 60 min. The sensor placed in the most critical secondary packaging (U4) experienced a temperature reduction of 37% (1 °C). This reduction minimizes the thermal fluctuations that food undergoes during the supply chain, preserving its quality and reducing the growth of harmful organisms.
The implementation of the developed system not only ensures the maintenance of food quality and viability but also promotes food safety and minimizes pollution during its operation. This approach promotes the access to nutritious food in optimal quantities, contributing to a better quality of life for consumers. However, it is crucial to take the system’s economic viability into account. Given the current situation of inflation and material scarcity, the prices of the components required for constructing the system have significantly increased. As a result, the solution is currently not economically viable.
Given the ongoing energy transition and the need to reduce pollution, there is a strong case for promoting the use and development of technologies that reduce the dependence on fossil fuels. Like historical examples such as nuclear or natural gas technologies, political and economic support should be provided. By using and improving the proposed prototype, it will be possible to reduce the use of fossil fuels and increase the use of renewable energy sources through rechargeable batteries charged by solar or wind power.
Moreover, the prototype’s implementation offers several benefits in terms of energy consumption and temperature control. By minimizing energy consumption, the fuel usage of refrigerated trucks can be reduced, leading to decreased CO2 emissions. Additionally, minimizing temperature variations in food storage results in less food spoilage, leading to a greater quantity of available food. These factors contribute to both environmental sustainability and food availability.
Although the development of this research has allowed the creation and testing of a functional experimental prototype with promising results, there are still some aspects that can be addressed in future work:
  • The study of the best positioning and number of Peltier cells in each of the secondary packages to optimize the system and the energy consumption required;
  • Carrying out tests at higher ambient temperatures to observe the behavior of the system in seasons or locations with these specifications;
  • The study of the best operating time interval of the experimental prototype, to optimize its performance by reducing the thermal variation still present in the most critical points;
  • The introduction of temperature variation sensors to optimize the control of Peltier cell operation, energy consumption, and temperature variation;
  • Researching and developing other technological solutions to better control and optimize energy consumption and temperature fluctuations.

Author Contributions

Conceptualization, P.D.G.; methodology, P.F., P.D.G. and P.D.S.; validation, P.D.G. and P.D.S.; formal analysis, P.F., P.D.G. and P.D.S.; investigation, P.F., P.D.G. and P.D.S.; resources, P.D.G.; data curation, P.F. and P.D.G.; writing—original draft preparation, P.F. and P.D.G.; writing—review and editing, P.D.G. and P.D.S.; supervision, P.D.G.; funding acquisition, P.D.G. All authors have read and agreed to the published version of the manuscript.

Funding

The authors would like to express their gratitude to Fundação para a Ciência e Tecnologia (FCT) and C-MAST (Centre for Mechanical and Aerospace Science and Technologies) for their support in the form of funding, under the project UIDB/00151/2020.

Conflicts of Interest

The authors declare no conflict of interest.

References

  1. Hammond, S.T.; Brown, J.H.; Burger, J.R.; Flanagan, T.P.; Fristoe, T.S.; Mercado-Silva, N.; Nekola, J.C.; Okie, J.G. Food Spoilage, Storage, and Transport: Implications for a Sustainable Future. BioScience 2015, 65, 758–768. [Google Scholar] [CrossRef]
  2. Gustavsson, J.; Cederberg, C.; Sonesson, U.; Otterdijk, R.; Meybeck, A. Global Food Losses and Food Waste- Extent, Causes and Prevention. In Save Food: An Initiative on Food Loss and Waste Reduction; Food and Agriculture Organization: Rome, Italy, 2011. [Google Scholar]
  3. Scherhaufer, S.; Moates, G.; Hartikainen, H.; Waldron, K.; Obersteiner, G. Environmental impacts of food waste in Europe. Waste Manag. 2018, 77, 98–113. [Google Scholar] [CrossRef] [PubMed]
  4. United Nations. World Population Prospects: The 2017 Revision, Key Findings and Advance Tables; Department of Economics and Social Affairs, Population Division, United Nations, Ed.; United Nations: New York, NY, USA, 2017; Volume 46. [Google Scholar]
  5. Bangar, S.P.; Whiteside, W.S.; Ashogbon, A.O.; Kumar, M. Recent advances in thermoplastic starches for food packaging: A review. Food Packag. Shelf Life 2021, 30, 100743. [Google Scholar] [CrossRef]
  6. Doukas, H. Energy Transitions, Intelligence and Big data: Towards a prosumer concept with energy autonomy. In Proceedings of the 2022 13th International Conference on Information, Intelligence, Systems & Applications (IISA), Corfu, Greece, 18–20 July 2022; pp. 1–5. [Google Scholar]
  7. Höfer, T.; Madlener, R. A participatory stakeholder process for evaluating sustainable energy transition scenarios. Energy Policy 2020, 139, 111277. [Google Scholar] [CrossRef]
  8. Falcone, P.M.; Lopolito, A.; Sica, E. Instrument mix for energy transition: A method for policy formulation. Technol. Forecast. Soc. Change 2019, 148, 119706. [Google Scholar] [CrossRef]
  9. Enel Green Power. The Energy Transition. Available online: https://www.enelgreenpower.com/learning-hub/energy-transition (accessed on 13 June 2023).
  10. Fragkos, P. Analysing the systemic implications of energy efficiency and circular economy strategies in the decarbonisation context. AIMS Energy 2022, 10, 191–218. [Google Scholar] [CrossRef]
  11. Elmanakhly, F.; DaCosta, A.; Berry, B.; Stasko, R.; Fowler, M.; Wu, X.-Y. Hydrogen economy transition plan: A case study on Ontario. AIMS Energy 2021, 9, 775–811. [Google Scholar] [CrossRef]
  12. Sand, M.; Skeie, R.B.; Sandstad, M.; Krishnan, S.; Myhre, G.; Bryant, H.; Derwent, R.; Hauglustaine, D.; Paulot, F.; Prather, M.; et al. A multi-model assessment of the Global Warming Potential of hydrogen. Commun. Earth Environ. 2023, 4, 203. [Google Scholar] [CrossRef]
  13. Thapa-Parajuli, R.; Aryal, S.; Alharthi, M.; Paudel, R.C. Energy consumption, export performance and economic growth in a landlocked developing country: The case of Nepal. AIMS Energy 2021, 9, 516–533. [Google Scholar] [CrossRef]
  14. Bertoncini, M.; Boggio, A.; Dell’Anna, F.; Becchio, C.; Bottero, M. An application of the PROMETHEE II method for the comparison of energy requalification strategies to design Post-Carbon Cities. AIMS Energy 2022, 10, 553–581. [Google Scholar] [CrossRef]
  15. Dialga, I. Evaluating Normandy’s sustainable development and energy transition policies. J. Clean. Prod. 2021, 305, 127096. [Google Scholar] [CrossRef]
  16. Wang, Y.; Yu, L.Y. Optimization model of refrigerated food transportation. In Proceedings of the ICSSSM12, Shanghai, China, 2–4 July 2012; pp. 220–224. [Google Scholar]
  17. Hongli, Y.; Yongming, W. Transportation expenses minimal modelling with application to fresh food supply chain. In Proceedings of the 2017 13th IEEE International Conference on Electronic Measurement & Instruments (ICEMI), Yangzhou, China, 20–22 October 2017; pp. 263–267. [Google Scholar]
  18. Li, G. Development of cold chain logistics transportation system based on 5G network and Internet of things system. Microprocess. Microsyst. 2021, 80, 103565. [Google Scholar] [CrossRef]
  19. Silva, P.D.; Gaspar, P.D.; Nunes, J.; Andrade, L.P.A. Specific electrical energy consumption and CO2 emissions assessment of agrifood industries in the central region of Portugal. Appl. Mech. Mater. 2014, 675–677, 1880–1886. [Google Scholar] [CrossRef]
  20. Stellingwerf, H.M.; Laporte, G.; Cruijssen, F.C.A.M.; Kanellopoulos, A.; Bloemhof, J.M. Quantifying the environmental and economic benefits of cooperation: A case study in temperature-controlled food logistics. Transp. Res. Part D Transp. Environ. 2018, 65, 178–193. [Google Scholar] [CrossRef]
  21. Gaspar, P.D.; Carrilho Gonçalves, L.C.; Pitarma, R.A. CFD parametric studies for global performance improvement of open refrigerated display cabinets. Model. Simul. Eng. 2012, 2012, 867820. [Google Scholar] [CrossRef]
  22. Gaspar, P.D.; Goncalves, L.C.C.; Pitarma, R.A. Three-dimensional CFD modelling and analysis of the thermal entrainment in open refrigerated display cabinets. In Proceedings of the ASME Summer Heat Transfer Conference, HT 2008; American Society of Mechanical Engineers (ASME): New York, NY, USA, 2009; Volume 2, pp. 63–73. [Google Scholar]
  23. Gogou, E.; Katsaros, G.; Derens, E.; Alvarez, G.; Taoukis, P.S. Cold chain database development and application as a tool for the cold chain management and food quality evaluation. Int. J. Refrig. 2015, 52, 109–121. [Google Scholar] [CrossRef]
  24. Morais, D.; Aguiar, M.L.; Gaspar, P.D.; Silva, P.D.; Alves, N. Development of a monitoring device of fruit products along the cold chain. Procedia Environ. Sci. Eng. Manag. 2021, 8, 195–204. [Google Scholar]
  25. Varandas, L.; Faria, J.; Gaspar, P.D.; Aguiar, M.L. Low-cost IoT remote sensor mesh for large-scale orchard monitorization. J. Sens. Actuator Netw. 2020, 9, 44. [Google Scholar] [CrossRef]
  26. Curto, J.P.; Gaspar, P.D. Traceability in food supply chains: Review and SME focused analysis—Part 1. AIMS Agric. Food 2021, 6, 679–707. [Google Scholar] [CrossRef]
  27. Curto, J.P.; Gaspar, P.D. Traceability in food supply chains: SME focused traceability framework for chain-wide quality and safety—Part 2. AIMS Agric. Food 2021, 6, 708–736. [Google Scholar] [CrossRef]
  28. James, S.J.; James, C. Food Technologies: Chilling. Encycl. Food Saf. 2014, 3, 140–148. [Google Scholar] [CrossRef]
  29. James, S.J.; James, C. Food Technologies: Freezing. In Encyclopedia of Food Safety; Elsevier: Amsterdam, The Netherlands, 2014; Volume 3, pp. 187–195. [Google Scholar]
  30. Götz, A.; Wani, A.A.; Langowski, H.C.; Wunderlich, J. Food Technologies: Aseptic Packaging. Encycl. Food Saf. 2014, 3, 124–134. [Google Scholar] [CrossRef]
  31. Law, C.L.; Chen, H.H.H.; Mujumdar, A.S. Food Technologies: Drying. Encycl. Food Saf. 2014, 3, 156–167. [Google Scholar] [CrossRef]
  32. Deák, T. Food Technologies: Pasteurization. In Encyclopedia of Food Safety; Motarjemi, Y., Ed.; Academic Press: Waltham, MA, USA, 2014; pp. 219–224. [Google Scholar]
  33. Terasaki, I. Thermal conductivity and thermoelectric power of semiconductors. In Reference Module in Materials Science and Materials Engineering; Elsevier: Amsterdam, The Netherlands, 2016. [Google Scholar] [CrossRef]
  34. Slanina, Z.; Uhlik, M.; Sladecek, V. Cooling device with peltier element for medical applications. IFAC-PapersOnLine 2018, 51, 54–59. [Google Scholar] [CrossRef]
  35. Badalan, N.; Svasta, P. Peltier elements vs. heat sink in cooling of high power LEDs. In Proceedings of the 2015 38th International Spring Seminar on Electronics Technology (ISSE), Eger, Hungary, 6–10 May 2015; pp. 124–128. [Google Scholar]
  36. Halima, A.B.; Araoud, Z.; Canale, L.; Charrada, K.; Zissis, G. Energy efficiency of a LED lighting system using a Peltier module thermal converter. Case Stud. Therm. Eng. 2022, 34, 101989. [Google Scholar] [CrossRef]
  37. Lu, S.; Gao, Y.; Geng, X.; Guan, Y. Peltier thermoelectric cooler improves both the signal-to-noise ratio and warm-up time of high-power LED induced fluorescence detector and application to aflatoxins. Anal. Chim. Acta 2022, 1192, 339392. [Google Scholar] [CrossRef] [PubMed]
  38. Iskrenović, P.S.; Sretenović, G.B.; Krstić, I.B.; Obradović, B.M.; Kuraica, M.M. Thermostat with Peltier element and microcontroller as a driver. Measurement 2019, 137, 470–476. [Google Scholar] [CrossRef]
  39. Diatta, J.; Torresani, E.; Maximenko, A.; Haines, C.; Martin, D.; Olevsky, E. Peltier effect during spark plasma sintering of boron carbide. Results Phys. 2021, 29, 104719. [Google Scholar] [CrossRef]
  40. Freire, L.O.; Navarrete, L.M.; Corrales, B.P.; Castillo, J.N. Efficiency in thermoelectric generators based on Peltier cells. Energy Rep. 2021, 7, 355–361. [Google Scholar] [CrossRef]
  41. Abraham James, B.; Sonnet, T.; Eldho, A.; John, K. Design of a portable device to store and disinfect masks of SARS-CoV-2 virus using Peltier modules. Mater. Today Proc. 2022, 58, 324–329. [Google Scholar] [CrossRef]
  42. Casano, G.; Piva, S. Experimental investigation of a Peltier cells cooling system for a Switch-Mode Power Supply. Microelectron. Reliab. 2017, 79, 426–432. [Google Scholar] [CrossRef]
  43. Casano, G.; Piva, S. Experimental investigation of the performance of a thermoelectric generator based on Peltier cells. Exp. Therm. Fluid Sci. 2011, 35, 660–669. [Google Scholar] [CrossRef]
  44. Ivanov, Y.; Watanabe, H.; Chikumoto, N.; Yamaguchi, S. Gas-cooled Peltier current leads for compact HTS devices. IEEE Trans. Appl. Supercond. 2022, 32, 1–5. [Google Scholar] [CrossRef]
  45. Guráš, R.; Mahdal, M. Use of Peltier modules for liquid cooling. In Proceedings of the 2021 22nd International Carpathian Control Conference (ICCC), Velké Karlovice, Czech Republic, 31 May–1 June 2021; pp. 1–4. [Google Scholar]
  46. Guráš, R.; Mahdal, M.; Bojko, M. Heat transfer analysis of a liquid cooling device using thermoelectric elements. Appl. Therm. Eng. 2023, 226, 120274. [Google Scholar] [CrossRef]
  47. Jahangir, M.; Rehman, M.A.U.; Awan, A.B.; Ali, R.H. Design and Testing of Cooling Jacket using Peltier Plate. In Proceedings of the 2019 International Conference on Applied and Engineering Mathematics (ICAEM), Taxila, Pakistan, 27–29 August 2019; pp. 191–196. [Google Scholar]
  48. Siddique, A.R.M.; Bozorgi, M.; Venkateshwar, K.; Tasnim, S.; Mahmud, S. Phase change material-enhanced solid-state thermoelectric cooling technology for food refrigeration and storage applications. J. Energy Storage 2023, 60, 106569. [Google Scholar] [CrossRef]
  49. Shi, L.; Eldin, S.M.; Abdulghani, Z.R.; Ali, E.; Guo, W.; Anqi, A.E.; Alkhamis, N. Economic-effectiveness experimental case study for instant cooling of drinking-water using Peltier module. Case Stud. Therm. Eng. 2023, 42, 102710. [Google Scholar] [CrossRef]
  50. Corpuz, M.P.S.; Geronimo, W.B.G.; Jacalne, J.M.B.; Limbo, K.V.A.; Malonzo, A.V.; Apolinario, G.F.D.G.; Cordero, J.G. Design of a Dual-Purpose Food Delivery Storage Utilizing Peltier Effect. In Proceedings of the 2022 IEEE 14th International Conference on Humanoid, Nanotechnology, Information Technology, Communication and Control, Environment, and Management (HNICEM), Boracay Island, Philippines, 1–4 December 2022; pp. 1–6. [Google Scholar]
  51. Kalimuthu, M.; Subashini, R.; Rasheeth, U.M.A.; Sabaeshwaran, M. Peltier based temperature controlled smart mini refrigerator. In Proceedings of the 2021 International Conference on Advancements in Electrical, Electronics, Communication, Computing and Automation (ICAECA), Coimbatore, India, 8–9 October 2021; pp. 1–5. [Google Scholar]
  52. Rokde, K.; Patle, M.; Kalamdar, T.; Gulhane, R.; Hiware, R. Peltier based eco-friendly smart refrigerator for rural areas. Int. J. Adv. Res. Comput. Sci. Softw. Eng. 2017, 7, 718–721. [Google Scholar] [CrossRef]
  53. IFCO. Green Lite. Available online: https://www.ifco.com/wp-content/uploads/IFCO-DS-1019-GREEN-LITE-UK-EN.pdf (accessed on 28 November 2022).
  54. INKA. IKP1878 PEE. Available online: https://www.inka-palet.com/en/products/plastic-pallets/compact-pallets/ikp1878-pee/ (accessed on 28 November 2022).
  55. Fluke. 51 K/J THERMOMETER. Available online: https://assets.fluke.com/manuals/51______omeng0500.pdf (accessed on 1 December 2022).
  56. P.C.E. Instruments. PCE-T 1200 Multi-Channel Data-Logging Digital Thermometer. Available online: https://www.pce-instruments.com/eu/measuring-instruments/test-meters/thermometer-pce-instruments-multi-channel-data-logging-digital-thermometer-pce-t-1200-det_5969587.htm (accessed on 5 February 2023).
  57. Agilent, T. E2373A Operators Manual. Available online: https://pt.scribd.com/doc/60776128/E2373-90001 (accessed on 12 December 2022).
  58. Botnroll. Peltier Cell 40x40mm 12V 6A. Available online: https://www.botnroll.com/pt/resistencias/3853-c-lula-peltier-40x40mm-12v-6a.html (accessed on 24 June 2022).
  59. V.L.C.C. Peltier Ceramic Cell TEC1-12706 12V 60W. Available online: https://solectroshop.com/pt/celulas-peltier/887-celula-peltier-ceramica-tec1-12706-12v-60w.html (accessed on 24 June 2022).
  60. Cenex. Refrigerated Transport Insights: A ZERO White Paper; Cenex: Loughborough, Leicestershire, U.K., 2021; Available online: https://www.cenex.co.uk/app/uploads/2021/04/Refrigerated-Transport-White-Paper.pdf (accessed on 1 December 2022).
  61. Danvic. Thermal Loads. Available online: http://www.peltier.com.br/index.php?url=faq (accessed on 5 December 2022).
  62. Leungtongkum, T.; Laguerre, O.; Flick, D.; Denis, A.; Duret, S.; Chaomuang, N. Experimental investigation of airflow and heat transfer by natural convection in an insulated box with a Phase Change Material using a Particle Image Velocimetry technique. J. Food Eng. 2023, 336, 111207. [Google Scholar] [CrossRef]
  63. Wago. Inline Splicing Connector with Lever; for All Conductor Types; 12 AWG (max.); 2-Conductor; Transparent Housing; White Cover; Surrounding Air Temperature: Max 85 °C (T85); 4.00 mm2; Transparent. Available online: https://www.wago.com/global/installation-terminal-blocks-and-connectors/inline-splicing-connector-with-lever/p/221-2401 (accessed on 3 December 2022).
  64. Wago. Plug; with Strain Relief Housing; 2-Pole; 1.50 mm2; Black. Available online: https://www.wago.com/global/pluggable-connectors/plug/p/890-112 (accessed on 1 December 2022).
  65. Wago. Socket; with Strain Relief Housing; 3-Pole; Cod. A; 1.50 mm2; Black. Available online: https://www.wago.com/global/pluggable-connectors/socket/p/890-103 (accessed on 1 December 2022).
Figure 1. Life cycle structure of an apple [3].
Figure 1. Life cycle structure of an apple [3].
Designs 07 00088 g001
Figure 2. Temperature variation along the transport chain at low temperatures in Greece (a) and France (b) [23].
Figure 2. Temperature variation along the transport chain at low temperatures in Greece (a) and France (b) [23].
Designs 07 00088 g002
Figure 3. (a) Structure of the Peltier cell [34]; (b) representation of Peltier cell operation.
Figure 3. (a) Structure of the Peltier cell [34]; (b) representation of Peltier cell operation.
Designs 07 00088 g003
Figure 4. Prototype of a refrigerator using Peltier cells for cooling and powered by solar energy [52].
Figure 4. Prototype of a refrigerator using Peltier cells for cooling and powered by solar energy [52].
Designs 07 00088 g004
Figure 5. Green Lite CH6416 package [53].
Figure 5. Green Lite CH6416 package [53].
Designs 07 00088 g005
Figure 6. IKP1878 PEE pallet [54].
Figure 6. IKP1878 PEE pallet [54].
Designs 07 00088 g006
Figure 7. (a) Peltier cell 12706 botnroll [58]; (b) Peltier cell 12706 from VLC Components S.I. [59].
Figure 7. (a) Peltier cell 12706 botnroll [58]; (b) Peltier cell 12706 from VLC Components S.I. [59].
Designs 07 00088 g007
Figure 8. Pallet with batteries (gray).
Figure 8. Pallet with batteries (gray).
Designs 07 00088 g008
Figure 9. Secondary packaging with the Peltier cells positioned in the side zones.
Figure 9. Secondary packaging with the Peltier cells positioned in the side zones.
Designs 07 00088 g009
Figure 10. Three-dimensional schematic of the tertiary package with the 12 secondary packages.
Figure 10. Three-dimensional schematic of the tertiary package with the 12 secondary packages.
Designs 07 00088 g010
Figure 11. (a) Top view of the three-dimensional schematic with the representation of each of the packaging columns, as well as their positioning inside the cooling chamber (V = 21.06 m3, with H = 2.6 m); (b) Peltier system inside the cooling chamber.
Figure 11. (a) Top view of the three-dimensional schematic with the representation of each of the packaging columns, as well as their positioning inside the cooling chamber (V = 21.06 m3, with H = 2.6 m); (b) Peltier system inside the cooling chamber.
Designs 07 00088 g011
Figure 12. Characterization of the positioning of each of the secondary packages in the rearview (a) and front view (b).
Figure 12. Characterization of the positioning of each of the secondary packages in the rearview (a) and front view (b).
Designs 07 00088 g012
Figure 13. Sensor positioning: (a) M1; (b) U1; (c) M4; (d) B1; (e) M3; (f) U4; (g) M2; (h) B4.
Figure 13. Sensor positioning: (a) M1; (b) U1; (c) M4; (d) B1; (e) M3; (f) U4; (g) M2; (h) B4.
Designs 07 00088 g013
Figure 14. (a) Secondary packaging used; (b) positioning of the Peltier cell.
Figure 14. (a) Secondary packaging used; (b) positioning of the Peltier cell.
Designs 07 00088 g014
Figure 15. (a) Secondary package with Peltier cells in place; (b) arrangement of the 12 secondary packages in the tertiary package.
Figure 15. (a) Secondary package with Peltier cells in place; (b) arrangement of the 12 secondary packages in the tertiary package.
Designs 07 00088 g015
Figure 16. (a) Secondary packaging with alveoli; (b) secondary packaging with some of the fruit used.
Figure 16. (a) Secondary packaging with alveoli; (b) secondary packaging with some of the fruit used.
Designs 07 00088 g016
Figure 17. (a) Connectors used to connect both Peltier cells in the same secondary packaging and between cells in different secondary packaging; (b) power system used for the first 2 preliminary tests; (c) power system used for the third preliminary test and all 3 tests.
Figure 17. (a) Connectors used to connect both Peltier cells in the same secondary packaging and between cells in different secondary packaging; (b) power system used for the first 2 preliminary tests; (c) power system used for the third preliminary test and all 3 tests.
Designs 07 00088 g017
Figure 18. First preliminary test.
Figure 18. First preliminary test.
Designs 07 00088 g018
Figure 19. Working state of Peltier cells in the first preliminary test.
Figure 19. Working state of Peltier cells in the first preliminary test.
Designs 07 00088 g019
Figure 20. Second preliminary test.
Figure 20. Second preliminary test.
Designs 07 00088 g020
Figure 21. Working state of Peltier cells in the second preliminary test.
Figure 21. Working state of Peltier cells in the second preliminary test.
Designs 07 00088 g021
Figure 22. (a) Refrigeration chamber used; (b) tertiary package inside the cold chamber with 12 secondary packages filled with fruit.
Figure 22. (a) Refrigeration chamber used; (b) tertiary package inside the cold chamber with 12 secondary packages filled with fruit.
Designs 07 00088 g022
Figure 23. Working state (first 20 min) of (a) reference; (b) 60 L; (c) 5L_5D; (d) 7.5L_2.5D.
Figure 23. Working state (first 20 min) of (a) reference; (b) 60 L; (c) 5L_5D; (d) 7.5L_2.5D.
Designs 07 00088 g023
Figure 24. Temperature variation (average of 3 tests) of the secondary packaging surfaces and their standard deviations without the use of thermal grease (--) and with the use of thermal grease (--), for an ambient temperature of 16.9 °C.
Figure 24. Temperature variation (average of 3 tests) of the secondary packaging surfaces and their standard deviations without the use of thermal grease (--) and with the use of thermal grease (--), for an ambient temperature of 16.9 °C.
Designs 07 00088 g024
Figure 25. Temperature variation (average of 3 tests) in the middle of the secondary packaging and its standard deviations without the use of thermal grease (--) and with the use of thermal grease (--), for an average ambient temperature of 16.9 °C.
Figure 25. Temperature variation (average of 3 tests) in the middle of the secondary packaging and its standard deviations without the use of thermal grease (--) and with the use of thermal grease (--), for an average ambient temperature of 16.9 °C.
Designs 07 00088 g025
Figure 26. Temperature variation (average of 3 tests) on the surface (--) and air (--) in the middle of the secondary packaging and its standard deviation, for an ambient temperature of 17.7 °C.
Figure 26. Temperature variation (average of 3 tests) on the surface (--) and air (--) in the middle of the secondary packaging and its standard deviation, for an ambient temperature of 17.7 °C.
Designs 07 00088 g026
Figure 27. Temperature variation (average of 3 trials) of the three tests compared to the temperature variation (average of 3 trials) of the reference test, for an average ambient temperature of 15.3 °C.
Figure 27. Temperature variation (average of 3 trials) of the three tests compared to the temperature variation (average of 3 trials) of the reference test, for an average ambient temperature of 15.3 °C.
Designs 07 00088 g027
Figure 28. Temperature variation (average of 3 tests) of the 7.5L_2.5D test versus the temperature variation (average of 3 tests) of the reference test, for an average ambient temperature of 15.3 °C.
Figure 28. Temperature variation (average of 3 tests) of the 7.5L_2.5D test versus the temperature variation (average of 3 tests) of the reference test, for an average ambient temperature of 15.3 °C.
Designs 07 00088 g028
Figure 29. Temperature variation of U1 (average of 3 tests) of the 7.5L_2.5D test relative to the temperature variation of U1 of the reference test (average of 3 tests), for an average ambient temperature of 15.3 °C.
Figure 29. Temperature variation of U1 (average of 3 tests) of the 7.5L_2.5D test relative to the temperature variation of U1 of the reference test (average of 3 tests), for an average ambient temperature of 15.3 °C.
Designs 07 00088 g029
Figure 30. Temperature variation (average of 3 tests) of the U4 sensor of the 7.5L_2.5D test versus the temperature variation (average of 3 trials) of the U4 sensor of the reference test, for an average ambient temperature of 15.3 °C.
Figure 30. Temperature variation (average of 3 tests) of the U4 sensor of the 7.5L_2.5D test versus the temperature variation (average of 3 trials) of the U4 sensor of the reference test, for an average ambient temperature of 15.3 °C.
Designs 07 00088 g030
Figure 31. Temperature variation (average of 3 tests) of the B1 sensor in the 7.5L_2.5D test versus the temperature variation (average of 3 trials) of the B1 sensor in the reference test, for an average ambient temperature of 15.3 °C.
Figure 31. Temperature variation (average of 3 tests) of the B1 sensor in the 7.5L_2.5D test versus the temperature variation (average of 3 trials) of the B1 sensor in the reference test, for an average ambient temperature of 15.3 °C.
Designs 07 00088 g031
Figure 32. Temperature variation (average of 3 tests) of B4 in the 7.5L_2.5D test versus the temperature variation (average of 3 trials) of the B4 sensor in the reference test, for an average ambient temperature of 15.3 °C.
Figure 32. Temperature variation (average of 3 tests) of B4 in the 7.5L_2.5D test versus the temperature variation (average of 3 trials) of the B4 sensor in the reference test, for an average ambient temperature of 15.3 °C.
Designs 07 00088 g032
Table 1. Features of the Green Lite CH6416 package [53].
Table 1. Features of the Green Lite CH6416 package [53].
FeatureValue
Outside dimension (m)0.600 × 0.400 × 0.164
Inside dimension (m)0.568 × 0.366 × 0.156
Weight (kg)1.510
Max capacity (kg)12
Temperature range able to be withstood−10 °C to 60 °C
MaterialPolypropylene for food products
Table 2. Features of IKP1878 PEE [54].
Table 2. Features of IKP1878 PEE [54].
FeatureValue
Dimension (m)0.800 × 1.200 × 0.150
Weight (kg)11.5
Dynamic loading capacity (kg)1000–2500
Static loading capacity (kg)8000
Table 3. Specifications are required for the battery.
Table 3. Specifications are required for the battery.
SpecificationsValue
Maximum dimensions (m)0.378 × 0.075 × 0.140
Nominal voltage (V)12
Chemical conditionLiFePO4
Cycle life>2000
Weight (kg)6
Operating temperature (°C)Charging: 0 to 45; discharge: −20 to 60
Table 4. Specifications of the Fluke 51 K/J thermometer [55].
Table 4. Specifications of the Fluke 51 K/J thermometer [55].
SpecificationsRange
Type J (iron-constantan)−200 °C to 760 °C ± 2.2 °C
Type K (chromium-alumel)−200 °C to 1370 °C ± 2.2 °C
Table 5. Specifications of the PCE-T 1200 temperature meter [56].
Table 5. Specifications of the PCE-T 1200 temperature meter [56].
Specifications Range
Type J (Iron-Constantan)−50.1 to −100 °C ± (0.4% + 1 °C)
−50 to +999.9 °C ± (0.4% + 0.5 °C)
+1000 to +1300 °C ± (0.4% + 1 °C)
Type K (Alumel-Chromium)−50.1 to −100 °C ± (0.4% + 1 °C)
−50 to +999.9 °C ± (0.4% + 0.5 °C)
+1000 to +1150 °C ± (0.4% + 1 °C)
Type T (Platinum-Rhodium)−50.1 to −100 °C ± (0.4% + 1 °C)
−50 to +400 °C ± (0.4% + 0.5 °C)
Type E (Chromium Constantan)−50.1 to −100 °C ± (0.4% + 1 °C)
−50 to +900 °C ± (0.4% + 0.5 °C)
Type R (Rhodium-Platinum)0 to +1700 °C ± (0.5% + 3 °C)
Type S (Rhodium-Platinum)0 to +1500 °C ± (0.5% + 3 °C)
Table 6. Specifications of the Hewlett-Packard E2373A multimeter [57].
Table 6. Specifications of the Hewlett-Packard E2373A multimeter [57].
Specifications Range
DC voltageUp to 1000 V
AC voltageUp to 750 V
DC currentUp to 10 A
AC currentUp to 10 A
Resistance300 Ω to 30 MΩ
Table 7. Specifications of: (a) Peltier cell 12706 from botnroll [58]; (b) Peltier cell 12706 from VLC Components S.I. [59].
Table 7. Specifications of: (a) Peltier cell 12706 from botnroll [58]; (b) Peltier cell 12706 from VLC Components S.I. [59].
SpecificationsValue (a)Value (b)
Voltage (V)1212
Maximum voltage (V)15.215.4
Maximum current (A)56
Maximum power (W)60 91.2
Max. temperature (°C)22568
Dimensions (mm)40 × 40 × 3.840 × 40 × 3.4
Table 8. Storage temperatures by food in refrigerated trucks [60].
Table 8. Storage temperatures by food in refrigerated trucks [60].
FoodTemperature °C
Refrigerated fruits and vegetables at high temperatures8
Refrigerated meat and pre-prepared foods3
Fresh fish (on ice)2
Chilled fruit and vegetables at low temperatures1
Frozen meat−10
Ice and ice cream−25
Table 9. Acronyms for each one of the places in the first preliminary test.
Table 9. Acronyms for each one of the places in the first preliminary test.
PlaceAcronyms
Surface of the packages without the use of thermal greaseSurface without grease
Surface of the packages with the use of thermal greaseSurface with grease
Middle of the packages without the use of thermal greaseWithout grease
Middle of the packages with the use of thermal greaseWith grease
Table 10. Acronyms for each one of the places in the second preliminary test.
Table 10. Acronyms for each one of the places in the second preliminary test.
PlaceAcronyms
SurfaceSurface
Air in the middle of the packageAir
Table 11. Acronyms for each one of the places in the first preliminary test.
Table 11. Acronyms for each one of the places in the first preliminary test.
TestAcronymsTime on (min)Time off (min)
3rd preliminaryReference060
1st 60 L600
2nd 5L_5D55
3rd 7.5L_2.5D7.52.5
Disclaimer/Publisher’s Note: The statements, opinions and data contained in all publications are solely those of the individual author(s) and contributor(s) and not of MDPI and/or the editor(s). MDPI and/or the editor(s) disclaim responsibility for any injury to people or property resulting from any ideas, methods, instructions or products referred to in the content.

Share and Cite

MDPI and ACS Style

Fernandes, P.; Gaspar, P.D.; Silva, P.D. Peltier Cell Integration in Packaging Design for Minimizing Energy Consumption and Temperature Variation during Refrigerated Transport. Designs 2023, 7, 88. https://doi.org/10.3390/designs7040088

AMA Style

Fernandes P, Gaspar PD, Silva PD. Peltier Cell Integration in Packaging Design for Minimizing Energy Consumption and Temperature Variation during Refrigerated Transport. Designs. 2023; 7(4):88. https://doi.org/10.3390/designs7040088

Chicago/Turabian Style

Fernandes, Pedro, Pedro D. Gaspar, and Pedro D. Silva. 2023. "Peltier Cell Integration in Packaging Design for Minimizing Energy Consumption and Temperature Variation during Refrigerated Transport" Designs 7, no. 4: 88. https://doi.org/10.3390/designs7040088

APA Style

Fernandes, P., Gaspar, P. D., & Silva, P. D. (2023). Peltier Cell Integration in Packaging Design for Minimizing Energy Consumption and Temperature Variation during Refrigerated Transport. Designs, 7(4), 88. https://doi.org/10.3390/designs7040088

Article Metrics

Back to TopTop