Impact of Autonomous Vehicles on the Physical Infrastructure: Changes and Challenges
Abstract
1. Introduction
- The impact of AVs on the geometric design: in this study, the AASHTO design guidelines will be reviewed and updated to analyze the impact of deploying AVs on the stopping sight distance, passing sight distance, horizontal curve, and vertical curve design.
- The impact of AVs on the design of the parking lots.
- The impact of AVs on the pavement design.
- The impact of AVs on the structural design of bridges.
- Infrastructure requirements and new risks or challenges that will be introduced with the deployment of AVs: such as the required safe harbor areas, the need for a traffic management technique, and the required signing and marking.
2. Geometric Design
2.1. Stopping Sight Distance (SSD) Model
- SSD = Stopping Sight Distance (m)
- V = Design Speed (km/h)
- t = Perception and reaction time (s) (Typically 2.5 s)
- a = Deceleration Rate (m/s2) (Typically 3.4 m/s2)
- G = Grade of the Road
2.2. Decision Sight Distance (DSD)
- DSD = Decision Sight Distance (m)
- V = Design Speed (km/h)
- t = Pre-maneuver time (s)
- a = Driver Deceleration Rate (m/s2)
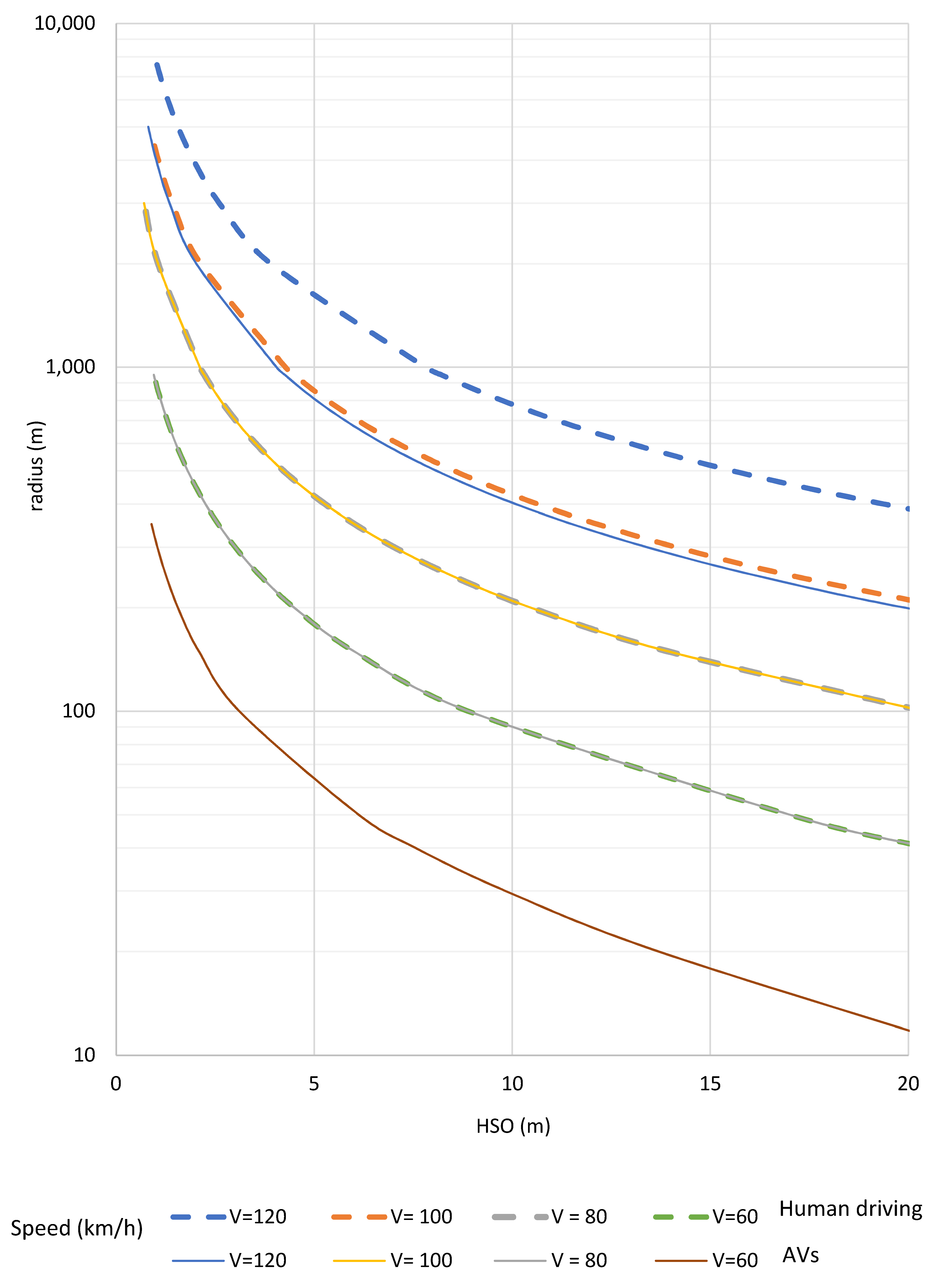
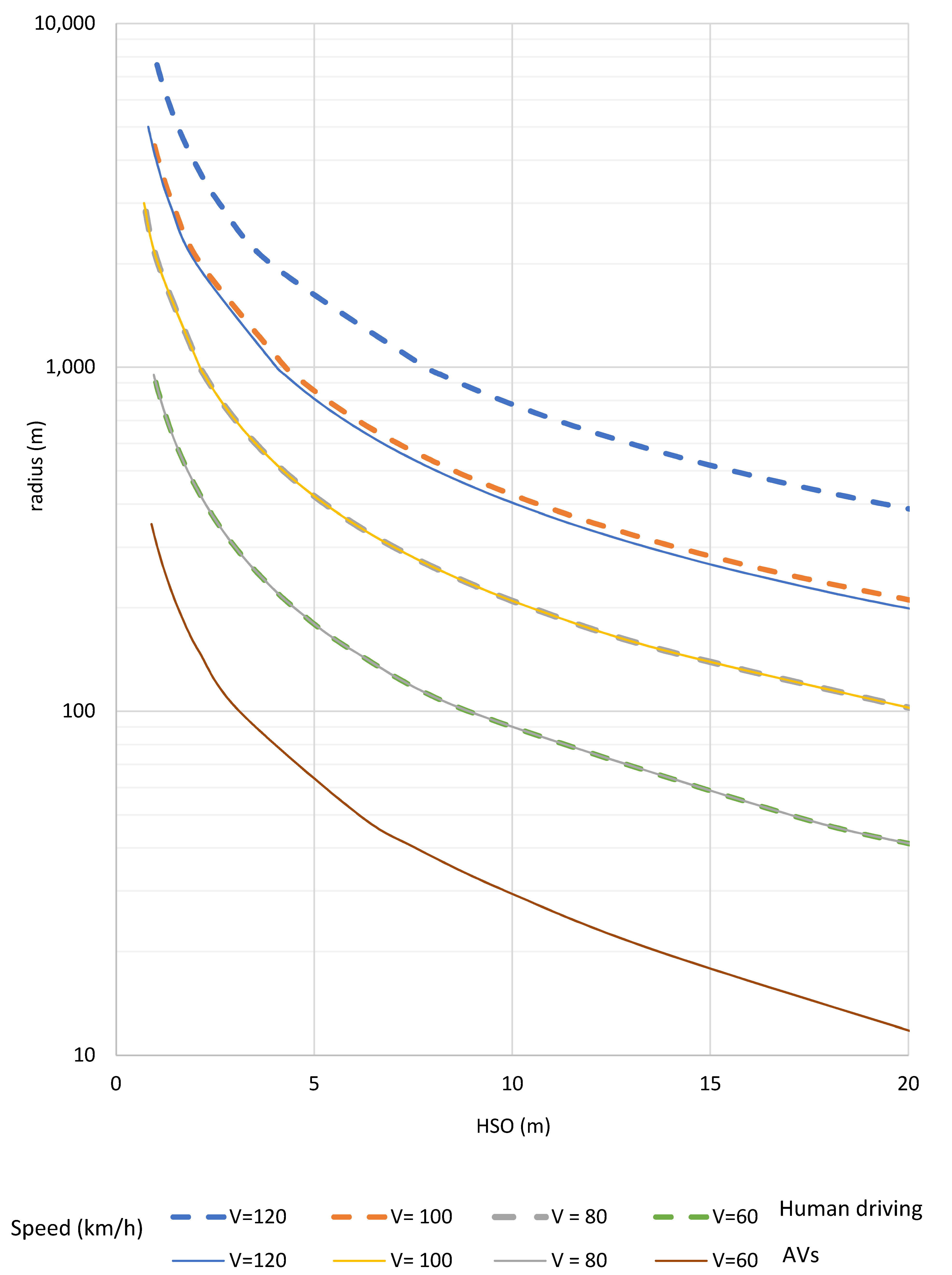
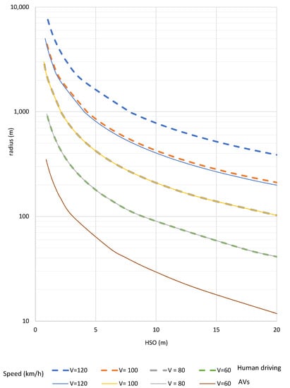
2.3. Lateral Clearance on Horizontal Curves
- R = curve radius (m)
- S = Sight distance (m) and in general this value is used as the SSD in order to let drivers stop before crashing obstacles.
2.4. Length of Vertical Curve
2.4.1. Length of Crest Curve
- L = Length of the vertical curve, m
- S = Sight distance, m
- h1 = Height of eye above roadway surface, m (typically = 1.08 m)
- h2 = Height of object above roadway surface, m (typically = 0.6 m)
- A = (in percent) is the algebraic difference in grade.
- L = crest curve length
- K = Rate of vertical curvature
2.4.2. Length of the Sage Curve Length
- L = Length of the vertical curve, m
- S = Sight distance, m
- H = Headlight height, m
- β = Divergence of the light beam from the longitudinal axis of the vehicle
2.5. Lane Width
2.6. Horizontal Curve Design
- e = superelevation rate
- fs = coefficient of side friction
- R = Curve radius (m)
- V = Design speed (km/h)
2.7. Spiral Curve Design
- L = minimum length of spiral, m
- V = speed, km/h
- R = curve radius, m
- C = rate of increase of lateral acceleration, m/s3
2.8. Maximum Length of Straight Segments on Horizontal Alignments
3. Parking
4. Pavement Performance and Life Cycle
- Wheel wander: the lane-keeping system or the steering control of AVs will be much more accurate than traditional cars (human-driven) so the lateral wander or deviation of the wheels in the transverse direction will be reduced. The previous action will deteriorate the pavement quickly and increase the rutting potential. Chen, Balieu, and Kringos [79] used a typical pavement section in their study, which consists of asphalt course, a base layer, and a subbase layer on top of the subgrade layer. Then, a typical heavy vehicle which is equivalent to a 100-KN single axle load with a tire pressure of 750 kPa was used. For the dual tire loading, the individual tires were superimposed using the Hua and White method [80] as shown in Figure 10. To assess the impact of AVs on the pavement rutting, a parametric study was performed by specifying a wander distance of 0.26 m for normal vehicles and 0.20 m, 0.10 m, 0.05 m, and 0 m for AVs were tested after 5 × 105 passes of the standard truck at a speed of 100 km/h, then the loading time was calculated and illustrated in Figure 11. It must be mentioned that the summation of the total loading time should be the same in all cases as the number of passes is fixed. The loading times calculated in the previous step were used to calculate the rutting performance of the pavement using finite elements. The maximum rut depth was calculated for different levels of wander distance and results show that the maximum rut depth jumps from 0.43 mm for a wander distance of 0.26 m (the case of human driving) to 1.19 mm for a wander distance of 0 (the case of autonomous driving) which represent 175% increase in the rut depth. As a result, it can be stated that the accuracy of AVs might have the potential to significantly accelerate the pavement rutting when compared with traditional vehicles.
- Capacity: AVs will be able to operate safely with smaller safe travelling distances than human-driven vehicles, which can increase the capacity of the roads, and in turn, will have a significant influence on the pavement performance and rutting resistance. In general, road capacity can be defined as the maximum hourly flow rate that can pass a certain point [81] and the lane capacity is defined as the multiplication of the number of vehicles present in a unit length by the average speed as shown in Equation (11).
- ○
- C = capacity
- ○
- Vi = average speed
- ○
- d = traffic density per km
- ○
- l = vehicle length
- ○
- a = acceleration rate
- ○
- t = driver reaction time.
- Speed: higher traffic speed means lower loading time and less impact on the pavement. In the study by Chen, Balieu, and Kringos [79], it was speculated that AVs have the potential to reduce traffic congestion as AVs will allow for the use of automatic vehicle routing that can be controlled to optimize the network performance. Additionally, AVs will operate with more safety levels than human-driven vehicles which reduces the number of traffic accidents, as 25% congestion is caused by traffic accidents [85], and improve the traffic performance, speed and reduce delays. Chen, Balieu, and Kringos [79] studied the influence of different traffic speeds for the same lane without considering the wheel wander. Figure 12 shows the maximum rut depth for different traffic speeds after ‘2 × 105’ passes. Results show that pavement rutting depth decreases with the increase in traffic speed. For example, the rut depth decreases by 50% when traffic speed increases from 10 km/h to 50 km/h.

5. Impact of Truck Platooning on Bridges
6. Emergency Refugee Areas
- Converting the on-street parking spaces into emergency areas as it is mentioned in a large number of studies that AVs will significantly reduce the parking demand up to 90%. Additionally, AVs will be able to search for the nearest parking lots; thus, AVs will not rely on the on-street parking, which will free up spaces on the roads [26,27,28,91]. Thus, the on-street parking spaces can be converted into AVs emergency areas.
- The reduction in the distance between vehicles can make the roads narrower and thus the remaining spaces can be used as AVs emergency areas.
7. Traffic Management
- The use of geo-location cones, barriers on the site, or setting a virtual geofence that can be detected by AVs.
- The use of V2I technology that facilitates the digital roadside communication that provides AVs with real-time data and information regarding the status of the road ahead [73].
8. Traffic Signs and Marking
- Inconsistent signs: the lack of consistency in the application of signs, and sign location can be problematic and causes uncertainty on how the vehicle will react in these conditions.
- Obscured signage: in many scenarios, signs might be Obscured partially or fully because of many factors such as other vehicles, vegetation, and the existing roadside infrastructure. This issue requires research in order to ensure the adequate detection of the signs in all conditions.
- Varying illumination: many factors might affect the visibility of AVs such as the weather conditions, the low lighting conditions, and low sun angle. Additionally, the degraded retroreflective material will affect the visibility of AVs during the night.
- Lack of signage.
9. Conclusions and Recommendations for Further Research
9.1. Geometric Design
9.2. Pavement Design
9.3. Structural Design of Bridges
9.4. Parking Design
- The current parking lots do not have a consistent marking system, which will confuse AVs.
- It requires remote control of the vehicle by the parking operator which might expose the vehicle to cybersecurity threats.
- This method will need an electronic payment method as no occupant in the vehicle.
9.5. Emergency Refugee Areas
- The reduction in the required distance between the vehicles can make the lanes narrower and thus the remaining space can be used as a safe harbor.
- As AVs will significantly reduce the demand for on-street parking. Thus, the on-street parking can be converted into safe harbor areas.
Funding
Data Availability Statement
Conflicts of Interest
References
- Virdi, N.; Grzybowska, H.; Waller, S.T.; Dixit, V. A safety assessment of mixed fleets with Connected and Autonomous Vehicles using the Surrogate Safety Assessment Module. Accid. Anal. Prev. 2019, 131, 95–111. [Google Scholar] [CrossRef]
- Amirgholy, M.; Shahabi, M.; Gao, H.O. Traffic automation and lane management for communicant, autonomous, and human-driven vehicles. Transp. Res. Part C Emerg. Technol. 2020, 111, 477–495. [Google Scholar] [CrossRef]
- Alam, A.; Besselink, B.; Turri, V.; Mårtensson, J.; Johansson, K.H. Heavy-Duty Vehicle Platooning for Sustainable Freight Transportation: A Cooperative Method to Enhance Safety and Efficiency. IEEE Control Syst. 2015, 35, 34–56. [Google Scholar] [CrossRef]
- Greenblatt, J.B.; Shaheen, S. Automated Vehicles, On-Demand Mobility, and Environmental Impacts. Curr. Sustain. Energy Rep. 2015, 2, 74–81. [Google Scholar] [CrossRef]
- Sivak, M.; Schoettle, B. Road Safety with Self-Driving Vehicles: General Limitations and Road Sharing with Conventional Vehicles; University of Michigan, Transportation Research Institute: Ann Arbor, MI, USA, 2015. [Google Scholar]
- Fagnant, D.J.; Kockelman, K.M. The travel and environmental implications of shared autonomous vehicles, using agent-based model scenarios. Transp. Res. Part C Emerg. Technol. 2014, 40, 1–13. [Google Scholar] [CrossRef]
- Clements, L.M.; Kockelman, K.M. Economic Effects of Automated Vehicles. Transp. Res. Rec. J. Transp. Res. Board 2017, 2606, 106–114. [Google Scholar] [CrossRef]
- Securing America’s Future Energy (SAFE). The Economic and Social Value of Autonomous Vehicles: Implications from Past Network-Scale Investments; SAFE: Washington, DC, USA, 2018; Available online: https://avworkforce.secureenergy.org/wp-content/uploads/2018/06/Compass-Transportation-Report-June-2018.pdf (accessed on 7 July 2021).
- KPMG. Connected and Autonomous Vehicles—The UK Economic Opportunity. 2015. Available online: https://www.smmt.co.uk/wp-content/uploads/sites/2/CRT036586F-Connected-and-Autonomous-Vehicles-%E2%80%93-The-UK-Economic-Opportu...1.pdf (accessed on 7 July 2021).
- Securing America’s Future Energy (SAFE). America’s Workforce and the Self-Driving Future: Realizing Productivity Gains and Spurring Economic Growth. 2018. Available online: https://avworkforce.secureenergy.org/wp-content/uploads/2018/06/Americas-Workforce-and-the-Self-Driving-Future_Realizing-Productivity-Gains-and-Spurring-Economic-Growth.pdf (accessed on 7 July 2021).
- The Polis Traffic Efficiency and Mobility Working Group. Road Vehicle Automation and Cities and Regions. 2018. Available online: https://www.polisnetwork.morris-chapman.com/uploads/Modules/PublicDocuments/polis_discussion_paper_automated_vehicles.pdf (accessed on 7 July 2021).
- Childress, S.; Nichols, B.; Charlton, B.; Coe, S. Using an Activity-Based Model to Explore the Potential Impacts of Automated Vehicles. Transp. Res. Rec. 2015, 2493, 99–106. [Google Scholar] [CrossRef]
- Barth, M.; Boriboonsomsin, K.; Wu, G. Vehicle Automation and Its Potential Impacts on Energy and Emissions. In Road Vehicle Automation; Springer: Cham, Switzerland, 2014; pp. 103–112. [Google Scholar] [CrossRef]
- Brown, A.; Gonder, J.; Repac, B. An Analysis of Possible Energy Impacts of Automated Vehicles. In Road Vehicle Automation; Springer: Cham, Switzerland, 2014; pp. 137–153. [Google Scholar] [CrossRef]
- Fernandes, P.; Nunes, U. Platooning With IVC-Enabled Autonomous Vehicles: Strategies to Mitigate Communication Delays, Improve Safety and Traffic Flow. IEEE Trans. Intell. Transp. Syst. 2012, 13, 91–106. [Google Scholar] [CrossRef]
- Friedrich, B. The Effect of Autonomous Vehicles on Traffic. Auton. Driv. 2016, 317–334. [Google Scholar] [CrossRef]
- Metz, D. Developing Policy for Urban Autonomous Vehicles: Impact on Congestion. Urban Sci. 2018, 2, 33. [Google Scholar] [CrossRef]
- Miller, S.A.; Heard, B. The Environmental Impact of Autonomous Vehicles Depends on Adoption Patterns. Environ. Sci. Technol. 2016, 50, 6119–6121. [Google Scholar] [CrossRef]
- Wagner, P. Traffic Control and Traffic Management in a Transportation System with Autonomous Vehicles. Auton. Driv. 2016, 301–316. [Google Scholar] [CrossRef]
- Kloostra, B.; Roorda, M.J. Fully autonomous vehicles: Analyzing transportation network performance and operating scenarios in the Greater Toronto Area, Canada. Transp. Plan. Technol. 2019, 42, 99–112. [Google Scholar] [CrossRef]
- Krueger, R.; Rashidi, T.H.; Dixit, V.V. Autonomous driving and residential location preferences: Evidence from a stated choice survey. Transp. Res. Part C Emerg. Technol. 2019, 108, 255–268. [Google Scholar] [CrossRef]
- Hörl, S.; Erath, A.; Axhausen, K.W. Simulation of autonomous taxis in a multi-modal traffic scenario with dynamic demand. Arb. Verk. Und Raumplan. 2016, 1184. [Google Scholar] [CrossRef]
- Azevedo, C.L.; Marczuk, K.; Raveau, S.; Soh, H.; Adnan, M.; Basak, K.; Loganathan, H.; Deshmunkh, N.; Lee, D.-H.; Frazzoli, E.; et al. Microsimulation of Demand and Supply of Autonomous Mobility on Demand. Transp. Res. Rec. J. Transp. Res. Board 2016, 2564, 21–30. [Google Scholar] [CrossRef]
- Der Senator für Wirtschaft Arbeit und Häfen-Freie Hansestadt Bremen. The Effect of Autonomous/Driverless Cars in the City- Developing Scenarios and Deriving Casual Relationships; Bremen, Germany, 2016; Available online: file:///C:/Users/MDPI/AppData/Local/Temp/_Effects_of_autonomous_cars_in_the_city_summary.pdf (accessed on 7 July 2021).
- Burns, L.D. Transforming Personal Mobility; The Earth Institute, Columbia University: New York, NY, USA, 2012. [Google Scholar]
- Zhang, W.; Guhathakurta, S. Parking Spaces in the Age of Shared Autonomous Vehicles: How much Parking Will We Need and where? Transp. Res. Rec. J. Transp. Res. Board 2017, 2651, 80–91. [Google Scholar] [CrossRef]
- International Transport Forum. Urban Mobility System Upgrade—How Shared Self-Driving Cars Could Change City Traffic. 2015. Available online: https://www.itf-oecd.org/sites/default/files/docs/15cpb_self-drivingcars.pdf (accessed on 7 July 2021).
- Zhang, W.; Guhathakurta, S.; Fang, J.; Zhang, G. Exploring the impact of shared autonomous vehicles on urban parking demand: An agent-based simulation approach. Sustain. Cities Soc. 2015, 19, 34–45. [Google Scholar] [CrossRef]
- Bischoff, J.; Maciejewski, M. Simulation of City-wide Replacement of Private Cars with Autonomous Taxis in Berlin. Procedia Comput. Sci. 2016, 83, 237–244. [Google Scholar] [CrossRef]
- Gruel, W.; Stanford, J.M. Assessing the Long-term Effects of Autonomous Vehicles: A Speculative Approach. Transp. Res. Procedia 2016, 13, 18–29. [Google Scholar] [CrossRef]
- Moreno, A.T.; Michalski, A.; Llorca, C.; Moeckel, R. Shared Autonomous Vehicles Effect on Vehicle-Km Traveled and Average Trip Duration. J. Adv. Transp. 2018, 2018, 8969353. [Google Scholar] [CrossRef]
- Zhang, W.; Guhathakurta, S.; Khalil, E.B. The impact of private autonomous vehicles on vehicle ownership and unoccupied VMT generation. Transp. Res. Part C Emerg. Technol. 2018, 90, 156–165. [Google Scholar] [CrossRef]
- Othman, K. Public acceptance and perception of autonomous vehicles: A comprehensive review. AI Ethic. 2021, 1–33. [Google Scholar] [CrossRef]
- Duvall, T.; Hannon, E.; Katseff, J.; Safran, B.; Wallace, T. A New Look at Autonomous-Vehicle Infrastructure; McKinsey & Company: Washington, DC, USA, 2019. [Google Scholar]
- TSC. Future Proofing Infrastructure for Connected and Autonomous Vehicles. Available online: https://s3-eu-west-1.amazonaws.com/media.ts.catapult/wp-content/uploads/2017/04/25115313/ATS40-Future-Proofing-Infrastructure-for-CAVs.pdf (accessed on 14 May 2021).
- Farah, H.; Erkens, S.M.; Alkim, T.; Van Arem, B. Infrastructure for Automated and Connected Driving: State of the Art and Future Research Directions. In Advanced Microsystems for Automotive Applications 2016; Springer: Berlin/Heidelberg, Germany, 2017; pp. 187–197. [Google Scholar]
- Khoury, J.; Amine, K.; Saad, R.A. An Initial Investigation of the Effects of a Fully Automated Vehicle Fleet on Geometric Design. J. Adv. Transp. 2019, 2019, 1–10. [Google Scholar] [CrossRef]
- McDonald, D.R. How might connected vehicles and autonomous vehicles influence 34 geometric design? In Proceedings of the Transportation Research Board 97th Annual Meeting, Washington, DC, USA, 7–11 January 2018; Volume 35, pp. 2118–21630. [Google Scholar]
- AASHTO. A Policy on Geometric Design of Highways and Streets, 6th ed.; AASHTO: Washington, DC, USA, 2011. [Google Scholar]
- Urmson, C. Driving Beyond Stopping Distance Constraints. In Proceedings of the 2006 IEEE/RSJ International Conference on Intelligent Robots and Systems, Beijing, China, 9–15 October 2006; pp. 1189–1194. [Google Scholar]
- McGee, H.W. Decision sight distance for highway design and traffic control requirements (abridgement). Transp. Res. Board J. Transp. Res. Board 1978, 736, 11–13. [Google Scholar]
- Ma, Y.; Easa, S.; Cheng, J.; Yu, B. Automatic framework for detecting obstacles restricting 3D highway sight distance using MLS data. J. Comput. Civ. Eng. 2021, in press. [Google Scholar] [CrossRef]
- Wang, S.; Yu, B.; Ma, Y.; Liu, J.; Zhou, W. Impacts of Different Driving Automation Levels on Highway Geometric Design from the Perspective of Trucks. J. Adv. Transp. 2021, 2021, 1–17. [Google Scholar] [CrossRef]
- Wood, J.; Donnell, E. Stopping Sight Distance and Horizontal Sight Line Offsets at Horizontal Curves. Transp. Res. Record 2014, 2436, 43–50. [Google Scholar] [CrossRef]
- Garcia, A.; Llopis-Castello, D.; Camacho-Torregrosa, F. Influence of the design of crest vertical curves on automated driving experience. In Proceedings of the Transportation Research Board 98th Annual Meeting, Washington, DC, USA, 13–17 January 2019. [Google Scholar]
- Waymo. On the Road. Available online: https://waymo.com (accessed on 2 February 2021).
- HDL-64E, S. User’s Manual and Programming Guide; High Definition LiDAR Sensor; 2017; Available online: https://manualmachine.com/velodyneacoustics/hdl64es2/748380-user-manual/ (accessed on 2 February 2021).
- Waymo Team. Introducing Waymo’s Suite of Custom-Built, Self-Driving Hardware. Available online: https://medium.com/waymo/introducing-waymos-suite-of-custom-built-self-driving-hardwarec47d1714563urmson (accessed on 2 February 2021).
- Hayeri, Y.M.; Hendrickson, C.T.; Biehler, A.D. Potential impacts of vehicle automation on design, infrastructure and investment decisions—A state dot perspective. In Proceedings of the Transportation Research Board 94th Annual Meeting, Washington, DC, USA, 11–12 January 2015. [Google Scholar]
- Somers, A.; Weeratunga, K. Automated Vehicles: Are We Ready? Internal Report on Potential Implications for Main Roads WA; Main Roads Western Australia: Perth, Australia, 2015. [Google Scholar]
- Lumiaho, A.; Malin, F. Road Transport Automation Road Map and Action Plan 2016–2020; Liikenneviraston Tutkimuksia ja Selvityksiä: Helsinki, Finland, 2016. [Google Scholar]
- Machiani, S.; Jahangiri, A.; Melendez, B.; Katthe, A.; Hasani, M.; Ahmadi, A.; Musial, W. Safety Impact Evaluation of a Narrow Automated Vehicle-Exclusive Reversible Lane on an Existing Smart Freeway. Safe-D Project 04-Safe-D National UTC; San Diego State University: San Diego, CA, USA, 2021. [Google Scholar]
- Schlossberg, M. Rethinking the Street in an Era of Driverless Cars. Urbanism Next Research; University of Oregon: Eugene, OR, USA, 2018. [Google Scholar]
- Aryal, P. Optimization of Geometric Road Design for Autonomous Vehicle. Master’s Thesis, KTH Royal Institute of Technology, Stockholm, Sweden, 2020. [Google Scholar]
- Snyder, R. Street Design Implications of Autonomous Vehicles; Public Square: A CNU Journal. Washington, DC, USA, 2018. Available online: https://www.cnu.org/publicsquare/2018/03/12/street-design-implications-autonomous-vehicles (accessed on 7 July 2021).
- Heinrichs, D. Autonomous Driving and Urban Land Use. In Autonomous Driving; Springer: Berlin/Heidelberg, Germany, 2016; pp. 213–231. [Google Scholar]
- Hafiz, D.; Zohdy, I. The City Adaptation to the Autonomous Vehicles Implementation: Reimagining the Dubai City of Tomorrow. In Advanced Controllers for Smart Cities; Springer: Berlin/Heidelberg, Germany, 2021; pp. 27–41. [Google Scholar]
- McCarville, I. How Autonomous Vehicles Will Reshape the Urban Landscape; City and Regional Planning Department, California Polytechnic State University: San Luis Obispo, CA, USA, 2019. [Google Scholar]
- Shortt, W.H. A Practical Method for Improvement of Existing Railroad Curves. Proc. Inst. Civ. Eng. 1909, 97–208. [Google Scholar] [CrossRef]
- Adam, A. Roads: Geometric design and layout planning. In Guidelines for Human Settlement Planning and Design: The Red Book; CSIR: Pretoria, South Africa, 2005. [Google Scholar]
- Pei, Y.-L.; He, Y.-M.; Ran, B.; Kang, J.; Song, Y.-T. Horizontal Alignment Security Design Theory and Application of Superhighways. Sustainability 2020, 12, 2222. [Google Scholar] [CrossRef]
- Lyon, B.; Hudson, N.; Twycross, M.; Finn, D.; Porter, S.; Maklary, Z.; Waller, T. Automated Vehicles: Do We Know Which Road to take? Infrastructure Partnerships Australia: Sydney, Australia, 2017; Available online: https://infrastructure.org.au/wp-content/uploads/2017/09/AV-paper-FINAL.pdf (accessed on 7 July 2021).
- KPMG. Self-Driving Cars: The Next Revolution. Available online: https://faculty.washington.edu/jbs/itrans/self_driving_cars[1].pdf (accessed on 2 February 2021).
- West, D.M. Moving forward: Self-driving vehicles in China, Europe, Japan, Korea, and the United States. In Center for Technology Innovation at Brookings; Brookings Institution: Washington, DC, USA, 2016. [Google Scholar]
- Cavoli, C.; Phillips, B.; Cohen, T.; Jones, P. Social and Behavioural Questions Associated with Automated Vehicles, A Literature Review; Department of Transport: London, UK; The Brookings Institution: Washington, DC, USA, 2017. Available online: https://assets.publishing.service.gov.uk/government/uploads/system/uploads/attachment_data/file/585732/social-and-behavioural-questions-associated-with-automated-vehicles-literature-review.pdf (accessed on 7 July 2021).
- Gavanas, N. Autonomous Road Vehicles: Challenges for Urban Planning in European Cities. Urban Sci. 2019, 3, 61. [Google Scholar] [CrossRef]
- Catapult Transport Systems. Future Proofing Infrastructure for Connected and Automated Vehicles; Technical Report; Transport Systems Catapult: Milton Keynes, UK, 2017. [Google Scholar]
- AbdelGawad, H.; Othman, K. Multifaceted Synthesis of Autonomous Vehicles’ Emerging Landscape. In Connected and Autonomous Vehicles in Smart Cities; CRC Press: Boca Raton, FL, USA, 2020; pp. 67–113. [Google Scholar]
- UK Autodrive. Paving the Way: Building the Road Infrastructure of the Future for the Connected and Autonomous Vehicles. 2018. Available online: http://www.ukautodrive.com/downloads/ (accessed on 2 February 2021).
- Vine, S.L.; Polak, J. Automated Cars: A Smooth Ride Ahead? Independent Transport Commission: London, UK, 2014. [Google Scholar]
- Lutin, J.M.; Kornhauser, A.L. The revolutionary development of self-driving vehicles and implications for the transportation engineering profession. Institute of Transportation Engineers. ITE J. 2013, 83, 28. [Google Scholar]
- Gopalakrishna, D.; Carlson, P.; Sweatman, P.; Raghunathan, D.; Brown, L.; Serulle, N. Impacts of Automated Vehicles on Highway Infrastructure. Federal Highway Administration (FHWA)-HRT-21-015, MARCH 2021: Washington, DC, USA, 2021. [Google Scholar]
- Johnson, C. Readiness of the Road Network for Connected and Autonomous Vehicle; RAC Foundation: London, UK, 2017. [Google Scholar]
- Ma, T.; Huang, X.; Zhao, Y.; Yuan, H.; Ma, X. Degradation Behavior and Mechanism of HMA Aggregate. J. Test. Eval. 2012, 40, 697–707. [Google Scholar] [CrossRef]
- Manal, A.; Attia, M. Impact of Aggregate Gradation and Type on Hot Mix Asphalt Rutting in Egypt. Int. J. Eng. Res. Appl. 2013, 3, 1–10. [Google Scholar]
- White, T.D. NCHRP Report 468: Contributions of Pavement Structural Layers to Rutting of Hot-Mix Asphalt Pavements; TRB, National Research Council: Washington, DC, USA, 2002. [Google Scholar]
- Ghuzlan, K.A.; Al-Mistarehi, B.W.; Al-Momani, A.S. Rutting performance of asphalt mixtures with gradations designed using Bailey and conventional Superpave methods. Constr. Build. Mater. 2020, 261, 119941. [Google Scholar] [CrossRef]
- Asphalt Institute. The Asphalt Institute Manual, MS-Mix Design Methods for Asphalt Concrete and Other Hot-Mix Types; Asphalt Institute: Lexington, MA, USA, 1994. [Google Scholar]
- Chen, F.; Balieu, R.; Kringos, N. Potential Influences on Long-Term Service Performance of Road Infrastructure by Automated Vehicles. Transp. Res. Rec. J. Transp. Res. Board 2016, 2550, 72–79. [Google Scholar] [CrossRef]
- Hua, J.; White, T. A Study of Nonlinear Tire Contact Pressure Effects on HMA Rutting. Int. J. Géoméch. 2002, 2, 353–376. [Google Scholar] [CrossRef]
- Ryus, P.; Vandehey, M.; Elefteriadou, L.; Dowling, R.G.; Ostrom, B.K. Highway Capacity Manual. TR News 2011, 287, 45–48. [Google Scholar]
- Barwell, F.T.; Hedrick, J.K. Automation and Control in Transport. J. Dyn. Syst. Meas. Control. 1974, 96, 253–254. [Google Scholar] [CrossRef][Green Version]
- Tientrakool, P.; Ho, Y.-C.; Maxemchuk, N.F. Highway Capacity Benefits from Using Vehicle-to-Vehicle Communication and Sensors for Collision Avoidance. In Proceedings of the 2011 IEEE Vehicular Technology Conference (VTC Fall), San Francisco, CA, USA, 5–8 September 2011; pp. 1–5. [Google Scholar]
- Shladover, S.E.; Su, D.; Lu, X.-Y. Impacts of Cooperative Adaptive Cruise Control on Freeway Traffic Flow. Transp. Res. Rec. J. Transp. Res. Board 2012, 2324, 63–70. [Google Scholar] [CrossRef]
- Fagnant, D.J.; Kockelman, K. Preparing a nation for autonomous vehicles: Opportunities, barriers and policy recommendations. Transp. Res. Part A Policy Pract. 2015, 77, 167–181. [Google Scholar] [CrossRef]
- Chen, F.; Song, M.; Ma, X.; Zhu, X. Assess the impacts of different autonomous trucks’ lateral control modes on asphalt pavement performance. Transp. Res. Part C Emerg. Technol. 2019, 103, 17–29. [Google Scholar] [CrossRef]
- Song, M.; Chen, F.; Ma, X. Organization of autonomous truck platoon considering energy saving and pavement fatigue. Transp. Res. Part D Transp. Environ. 2021, 90, 102667. [Google Scholar] [CrossRef]
- Georgouli, K.; Plati, C.; Loizos, A. Autonomous vehicles wheel wander: Structural impact on flexible pavements. J. Traffic Transp. Eng. Engl. Ed. 2021, 8, 388–398. [Google Scholar] [CrossRef]
- Chen, F.; Song, M.; Ma, X. A lateral control scheme of autonomous vehicles considering pavement sustainability. J. Clean. Prod. 2020, 256, 120669. [Google Scholar] [CrossRef]
- Zhou, F.; Hu, S.; Xue, W.; Flintsch, G. Optimizing the Lateral Wandering of Automated Vehicles to Improve Roadway Safety and Pavement Life; Safe-D National UTC; Texas A&M Transportation Institute: College Station, TX, USA, 2019; Available online: https://safed.vtti.vt.edu/wp-content/uploads/2020/08/02-008_Final-Research-Report_Final.pdf (accessed on 7 July 2021).
- Zhou, F.; Hu, S.; Chrysler, S.T.; Kim, Y.; Damnjanovic, I.; Talebpour, A.; Espejo, A. Optimization of Lateral Wandering of Automated Vehicles to Reduce Hydroplaning Potential and to Improve Pavement Life. Transp. Res. Rec. J. Transp. Res. Board 2019, 2673, 81–89. [Google Scholar] [CrossRef]
- Carsten, O.; Kulmala, R. Road transport automation as a societal change agent. In Transportation Research Board Conference Proceedings; Third EU-U.S. Transportation Research Symposium: Washington, DC, USA, 2015. [Google Scholar]
- Sternlund, S. Fordonspositionering Med Vägmagneter. Swedish Transport Administration. 2015. Available online: http://www.trafikverket.se (accessed on 2 February 2021).
- Nair, A.M.; Surya, V.; Apoorva, R.; Singh, K.G.; Chandan, K.; Nidha, B.H. Harvesting Energy from Pavements. In Proceedings of the GeoShanghai 2018 International Conference: Transportation Geotechnics and Pavement Engineering, Singapore, 27–30 May 2018; pp. 408–415. [Google Scholar]
- Wang, H.; Jasim, A. Piezoelectric energy harvesting from pavement. In Eco-Efficient Pavement Construction Materials; Elsevier: Amsterdam, The Netherlands, 2020; pp. 367–382. [Google Scholar]
- Ahmad, S.; Mujeebu, M.A.; Farooqi, M.A. Energy harvesting from pavements and roadways: A comprehensive review of technologies, materials, and challenges. Int. J. Energy Res. 2019, 43, 1974–2015. [Google Scholar] [CrossRef]
- Gholikhani, M.; Roshani, H.; Dessouky, S.; Papagiannakis, A. A critical review of roadway energy harvesting technologies. Appl. Energy 2020, 261, 114388. [Google Scholar] [CrossRef]
- Khamil, K.N.; Sabri, M.F.M.; Yusop, A.M. Thermoelectric energy harvesting system (TEHs) at asphalt pavement with a subterranean cooling method. Energy Sources Part A Recover. Util. Environ. Eff. 2020, 1–17. [Google Scholar] [CrossRef]
- Paulsen, J.B. Physical Infrastructure Needs for Autonomous & Connected Trucks; Norwegian University of Science and Technology: Trondheim, Norway, 2018. [Google Scholar]
- Yarnold, M.T.; Weidner, J.S. Truck Platoon Impacts on Steel Girder Bridges. J. Bridg. Eng. 2019, 24, 06019003. [Google Scholar] [CrossRef]
- Tohme, R.; Yarnold, M. Steel Bridge Load Rating Impacts Owing to Autonomous Truck Platoons. Transp. Res. Rec. J. Transp. Res. Board 2020, 2674, 57–67. [Google Scholar] [CrossRef]
- Kamranian, Z. Load Evaluation of the Hay River Bridge Under Different Platoons of Connected Trucks. Master’s Thesis, University of Calgary, Calgary, AB, USA, 2019. [Google Scholar]
- Birgisson, B.; Morgan, C.A.; Yarnold, M.; Warner, J.; Glover, B.; Steadman, M.P.; Srinivasa, S.; Cai, S.; Lee, D. Evaluate Potential Impacts, Benefits, Impediments, and Solutions of Automated Trucks and Truck Platooning on Texas Highway Infrastructure: Technical Report; Texas A&M Transportation Institute: Austin, TX, USA, 2020. [Google Scholar]
- Pillay, N. Impact of Truck Platooning on Texas Bridges. Master’s Thesis, Texas A&M University, College Station, TX, USA, 2020. [Google Scholar]
- Thulaseedharan, N.P.; Yarnold, M.T. Prioritization of Texas prestressed concrete bridges for future truck platoon loading. Bridg. Struct. 2021, 16, 155–167. [Google Scholar] [CrossRef]
- SAE. Taxonomy and Definitions for Terms Related to Driving Automation Systems for On-Road Motor Vehicles; SAE International: Warrendale, PA, USA, 2018. [Google Scholar]
- Greater Phoenix Economical Council. Greater Phoenix: Taking the Lead in Driverless Vehicles. Available online: https://www.gpec.org/industries-operations/industries-in-greater-phoenix/autonomous-vehicles/ (accessed on 2 February 2021).
- Schoettle, B.; Sivak, M. Motorists’ Preferences for Different Levels of Vehicle Automation; The University of Michigan Transportation Research Institute: Ann Arbor, MI, USA, 2015. [Google Scholar]
- Liu, Y.; Tight, M.; Sun, Q.; Kang, R. A systematic review: Road infrastructure requirement for Connected and Autonomous Vehicles (CAVs). J. Phys. Conf. Ser. 2019, 1187, 042073. [Google Scholar] [CrossRef]
- Kuutti, S.; Fallah, S.; Katsaros, K.; Dianati, M.; Mccullough, F.; Mouzakitis, A. A survey of the state-of-the-art localisation techniques and their potentials for Autonomous Vehicle applications. IEEE Internet Things J. 2018. [Google Scholar] [CrossRef]
- Huggins, R.; Topp, R.; Gray, L.; Piper, L.; Jensen, B.; Isaac, L.; Polley, S.; Benjamin, S.; Somers, A. Assessment of Key Road Operator Actions to Support Automated Vehicles; Research Report AP-R543-17; Austroads: Sydney, Australia, 2017. [Google Scholar]
- Sage, A. Where’s the Lane? Self-driving Cars Confused by Shabby US Roadways. Available online: https://www.reuters.com/article/us-autos-autonomous-infrastructure-insig/wheres-the-lane-self-drivingcars-confused-by-shabby-u-s-roadways-idUSKCN0WX131 (accessed on 2 February 2021).
- EuroRAP. Roads That Cars Can Read: A Quality Standard for Road Markings and Traffic Signs on Major Rural Roads. Available online: www.eurorap.org/wp-content/uploads/2015/03/roads_that_cars_can_read_2_spread1.pdf (accessed on 2 February 2021).
- Mitchell, M. An analysis of road signage and advertising from a pragmatic visual communication perspective: Case study of the M1 Motorway between the Gold Coast and Brisbane. J. Australas. Coll. Road Saf. 2010, 21, 55–64. [Google Scholar]
- 3M Science Applied to Life. Helping Improve the Safety of Your Road Systems Today and in the Future. 2017. Available online: https://www.3m.com/ (accessed on 2 February 2021).














| Design Speed (km/h) | Human-Driven Vehicles | AVs | SSD Difference (m) | ||||||
|---|---|---|---|---|---|---|---|---|---|
| PRD (m) | Braking Distance (m) | SSD (m) | PRD (m) | Braking Distance (m) | SSD (m) | ||||
| Calculated | Design | Calculated | Design | ||||||
| 20 | 13.9 | 4.6 | 18.5 | 20 | 2.78 | 4.6 | 7.38 | 5 | 15 |
| 30 | 20.9 | 10.3 | 31.2 | 30 | 4.17 | 10.3 | 14.5 | 15 | 15 |
| 40 | 27.8 | 18.2 | 46 | 45 | 5.56 | 18.2 | 23.8 | 25 | 20 |
| 50 | 34.8 | 28.5 | 63.3 | 65 | 6.95 | 28.5 | 35.5 | 35 | 30 |
| 60 | 41.7 | 41 | 82.7 | 85 | 8.34 | 41 | 49.3 | 50 | 35 |
| 70 | 48.7 | 55.9 | 105 | 105 | 9.73 | 55.9 | 65.6 | 65 | 40 |
| 80 | 55.6 | 73 | 129 | 130 | 11.1 | 73 | 84.1 | 85 | 45 |
| 90 | 62.6 | 92.3 | 155 | 155 | 12.5 | 92.3 | 105 | 105 | 50 |
| 100 | 69.5 | 114 | 184 | 185 | 13.9 | 114 | 128 | 130 | 55 |
| 110 | 76.5 | 138 | 214 | 215 | 15.3 | 138 | 153 | 155 | 60 |
| 120 | 83.4 | 164 | 248 | 250 | 16.7 | 164 | 181 | 180 | 70 |
| 130 | 90.4 | 193 | 283 | 285 | 18.1 | 193 | 211 | 210 | 75 |
| Design Speed (km/h) | Calculated (m) | Design (m) | ||||
|---|---|---|---|---|---|---|
| Human-Driven | AVs | Human-Driven | AVs | |||
| A | B | A or B | A | B | A or B | |
| 50 | 70.37 | 155.16 | 35.62 | 70 | 155 | 35 |
| 60 | 91.33 | 193.08 | 49.63 | 90 | 195 | 50 |
| 70 | 114.58 | 233.29 | 65.93 | 115 | 235 | 65 |
| 80 | 140.13 | 275.79 | 84.53 | 140 | 275 | 85 |
| 90 | 167.97 | 320.59 | 105.42 | 170 | 320 | 105 |
| 100 | 198.10 | 367.68 | 128.60 | 200 | 370 | 130 |
| 110 | 230.53 | 417.07 | 154.08 | 230 | 415 | 155 |
| 120 | 265.25 | 468.75 | 181.85 | 265 | 470 | 180 |
| 130 | 302.27 | 522.72 | 211.92 | 300 | 525 | 210 |
| Human-Driven h1 = 1.08 m h2 = 0.6 m | AVs h1 = 1.84 m h2 = 0.6 m | |
|---|---|---|
| S < L | L = | L = |
| S > L | L = 2S − | L = 2S − |
| Desing Speed (km/h) | SSD (m) | K (Calculated) (m) | K (Design) (m) | |||
|---|---|---|---|---|---|---|
| Human-Driven | AVs | Human-Driven | AVs | Human-Driven | AVs | |
| 20 | 20 | 5 | 0.60 | 0.02 | 1 | 1 |
| 30 | 30 | 15 | 1.36 | 0.24 | 2 | 1 |
| 40 | 45 | 25 | 3.07 | 0.68 | 4 | 1 |
| 50 | 65 | 35 | 6.42 | 1.34 | 7 | 2 |
| 60 | 85 | 50 | 10.98 | 2.75 | 11 | 3 |
| 70 | 105 | 65 | 16.75 | 4.65 | 17 | 5 |
| 80 | 130 | 85 | 25.68 | 7.95 | 26 | 8 |
| 90 | 155 | 105 | 36.51 | 12.14 | 37 | 13 |
| 100 | 185 | 130 | 52.01 | 18.61 | 53 | 19 |
| 110 | 215 | 155 | 70.25 | 26.45 | 71 | 27 |
| 120 | 250 | 180 | 94.98 | 35.68 | 95 | 36 |
| 130 | 285 | 210 | 123.44 | 48.56 | 124 | 49 |
| Human-Driven H = 0.6 m = 1 | AVs H = 0.84 m = 13.4 | |
|---|---|---|
| S < L | L = | L = |
| S > L | L = 2S − | L = 2S − |
| Desing Speed (km/h) | SSD (m) | K (Calculated) (m) | K (Design) (m) | |||
|---|---|---|---|---|---|---|
| HD | AVs | HD | AVs | HD | AVs | |
| 20 | 20 | 5 | 2.10 | 0.04 | 3 | 1 |
| 30 | 30 | 15 | 4 | 0.20 | 4 | 1 |
| 40 | 45 | 25 | 7.29 | 0.39 | 8 | 1 |
| 50 | 65 | 35 | 12.15 | 0.59 | 13 | 1 |
| 60 | 85 | 50 | 17.30 | 0.90 | 18 | 1 |
| 70 | 105 | 65 | 22.61 | 1.21 | 23 | 2 |
| 80 | 130 | 85 | 29.39 | 1.62 | 30 | 2 |
| 90 | 155 | 105 | 36.26 | 2.03 | 37 | 3 |
| 100 | 185 | 130 | 44.59 | 2.55 | 45 | 3 |
| 110 | 215 | 155 | 52.97 | 3.07 | 53 | 4 |
| 120 | 250 | 180 | 62.81 | 3.59 | 63 | 4 |
| 130 | 285 | 210 | 72.68 | 4.22 | 73 | 5 |
| Study | Proposed Lane Width | Ref. |
|---|---|---|
| Machiani, S. et al. (2021) | The lane width can be 8 to 9 feet in the era of AVs | [52] |
| Schlossberg, M. et al. (2018) | Reduce the lane width to 8 feet instead of 12 feet for human-driven vehicles | [53] |
| Aryal, P. (2020) | The lane width can be reduced to 8 or 9 feet and in freeways the lane width can be reduced to 9 feet instead of 12 feet for human-driven vehicles. | [54] |
| Snyder, R. (2018) | The lane width can be reduced by 20–25% of the current lane width of the road | [55] |
| Heinrichs, D. (2016) | 8 to 9 feet lane width will be enough for AVs | [56] |
| Hafiz and Zohdy (2021) | The lane width can be reduced to 2.5 m instead of 3.6 m for human-driven vehicles | [57] |
| McCarville, I. (2019) | The required lane width can be reduced to 8 feet | [58] |
Publisher’s Note: MDPI stays neutral with regard to jurisdictional claims in published maps and institutional affiliations. |
© 2021 by the author. Licensee MDPI, Basel, Switzerland. This article is an open access article distributed under the terms and conditions of the Creative Commons Attribution (CC BY) license (https://creativecommons.org/licenses/by/4.0/).
Share and Cite
Othman, K. Impact of Autonomous Vehicles on the Physical Infrastructure: Changes and Challenges. Designs 2021, 5, 40. https://doi.org/10.3390/designs5030040
Othman K. Impact of Autonomous Vehicles on the Physical Infrastructure: Changes and Challenges. Designs. 2021; 5(3):40. https://doi.org/10.3390/designs5030040
Chicago/Turabian StyleOthman, Kareem. 2021. "Impact of Autonomous Vehicles on the Physical Infrastructure: Changes and Challenges" Designs 5, no. 3: 40. https://doi.org/10.3390/designs5030040
APA StyleOthman, K. (2021). Impact of Autonomous Vehicles on the Physical Infrastructure: Changes and Challenges. Designs, 5(3), 40. https://doi.org/10.3390/designs5030040

