Preferred Distance in Human–Drone Interaction
Abstract
1. Introduction
1.1. IPD
1.2. Drones
1.3. The Bubble Hypothesis Applied to Drones
2. Experiment 1
2.1. Subjects
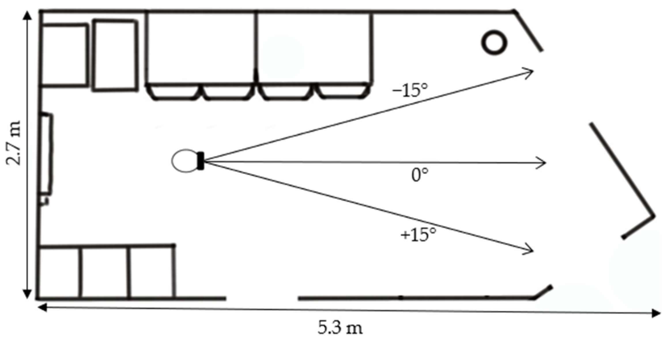
2.2. Apparatus and Drone Appearance
2.3. Design and Task
2.4. Procedure
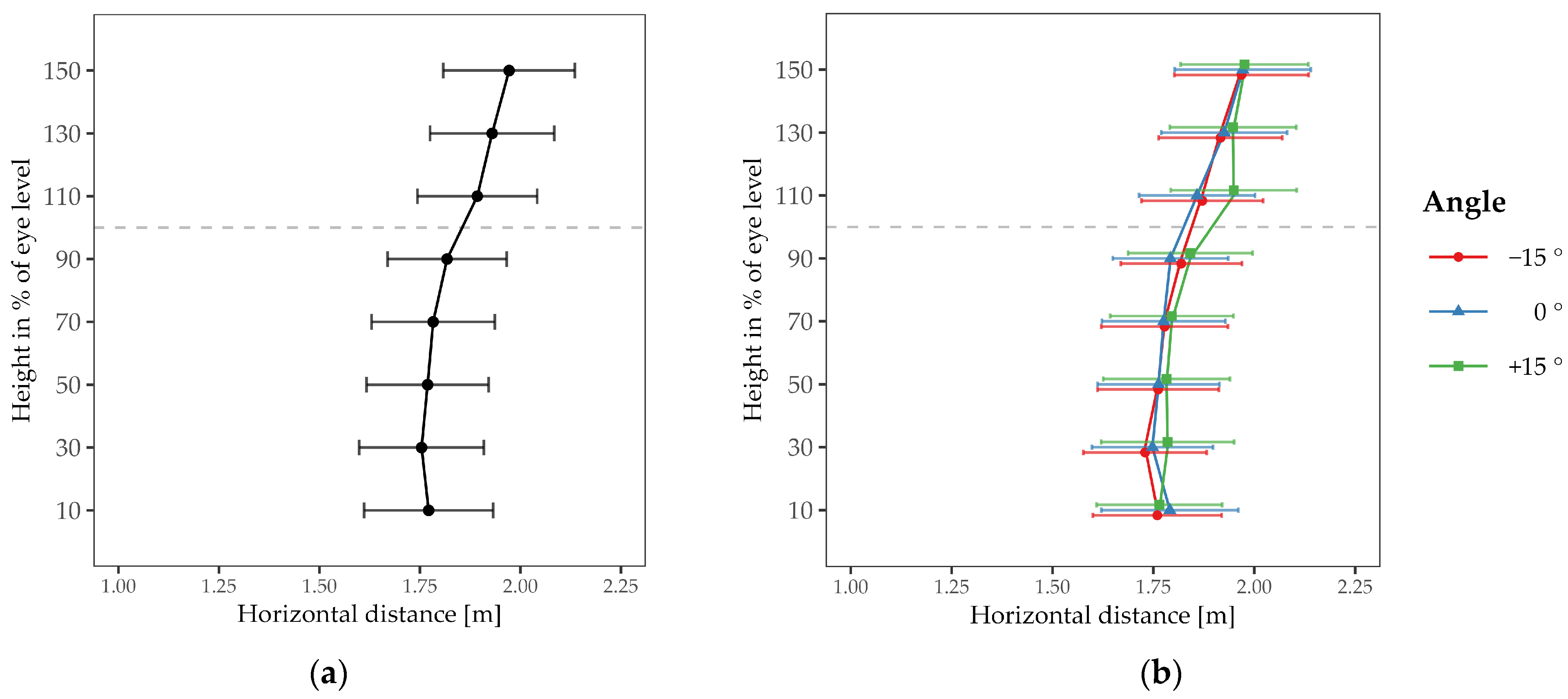
2.5. Results
3. Experiment 2
3.1. Subjects
3.2. Apparatus and Drone Models
3.3. Design and Task
3.4. Procedure
3.5. Results
4. Discussion
4.1. Updating Proxemic Theory for and with Human–Drone Interaction
4.2. Effect of Technology and Real-World Characteristics
4.3. Drone Appearance
4.4. Limitations
4.5. Implications and Future Research
5. Conclusions
Author Contributions
Funding
Institutional Review Board Statement
Informed Consent Statement
Data Availability Statement
Acknowledgments
Conflicts of Interest
References
- Hecht, H.; Welsch, R.; Viehoff, J.; Longo, M.R. The shape of personal space. Acta Psychol. 2019, 193, 113–122. [Google Scholar] [CrossRef] [PubMed]
- Hayduk, L.A. Personal Space: An Evaluative and Orienting Overview. Psychol. Bull. 1978, 85, 117–134. [Google Scholar] [CrossRef]
- Huang, A.; Knierim, P.; Chiossi, F.; Chuang, L.L.; Welsch, R. Proxemics for Human-Agent Interaction in Augmented Reality. In Proceedings of the CHI Conference on Human Factors in Computing Systems, New Orleans, LA, USA, 29 April–5 May 2022; pp. 1–13. [Google Scholar] [CrossRef]
- Leichtmann, B.; Lottermoser, A.; Berger, J.; Nitsch, V. Personal Space in Human-Robot Interaction at Work: Effect of Room Size and Working Memory Load. ACM Trans. Hum.-Robot. Interact. 2022, 11, 1–19. [Google Scholar] [CrossRef]
- Neggers MM, E.; Cuijpers, R.H.; Ruijten PA, M.; IJsselsteijn, W.A. Determining Shape and Size of Personal Space of a Human when Passed by a Robot. Int. J. Soc. Robot. 2022, 14, 561–572. [Google Scholar] [CrossRef]
- Leichtmann, B.; Nitsch, V. How much distance do humans keep toward robots? Literature review, meta-analysis, and theoretical considerations on personal space in human-robot interaction. J. Environ. Psychol. 2020, 68, 101386. [Google Scholar] [CrossRef]
- Lewin, K. Field Theory and Experiment in Social Psychology: Concepts and Methods. Am. J. Sociol. 1939, 44, 868–896. [Google Scholar] [CrossRef]
- Stern, W. Raum und Zeit als personale Dimensionen. Acta Psychol. 1936, 1, 220–232. [Google Scholar] [CrossRef]
- Hall, E. The Hidden Dimension; Anchor Books: New York, NY, USA, 1966. [Google Scholar]
- Hediger, H. Studies of the Psychology and Behaviour of Animals in Zoos and Circuses; Dover Publications: New York, NY, USA, 1968. [Google Scholar]
- Hayduk, L.A. The permeability of personal space. Can. J. Behav. Sci./Rev. Can. Des Sci. Du Comport. 1981, 13, 274–287. [Google Scholar] [CrossRef]
- Cochran, C.D.; Urbanczyk, S. The Effect of Availability of Vertical Space on Personal Space. J. Psychol. 1982, 111, 137–140. [Google Scholar] [CrossRef]
- Sorokowska, A.; Sorokowski, P.; Hilpert, P.; Cantarero, K.; Frackowiak, T.; Ahmadi, K.; Alghraibeh, A.M.; Aryeetey, R.; Bertoni, A.; Bettache, K.; et al. Preferred Interpersonal Distances: A Global Comparison. J. Cross-Cult. Psychol. 2017, 48, 577–592. [Google Scholar] [CrossRef]
- Kim, N.-G.; Son, H. How Facial Expressions of Emotion Affect Distance Perception. Front. Psychol. 2015, 6, 1825. [Google Scholar] [CrossRef] [PubMed]
- Caplan, M.E.; Goldman, M. Personal Space Violations as A Function of Height. J. Soc. Psychol. 1981, 114, 167–171. [Google Scholar] [CrossRef]
- Bretin, R.; Cross, E.; Khamis, M. Co-existing with Drones: A Virtual Exploration of Proxemic Behaviours and Users’ Insights on Social Drones. Int. J. Soc. Robot. 2024, 16, 547–567. [Google Scholar] [CrossRef]
- Duncan, B.A.; Murphy, R.R. Comfortable approach distance with small Unmanned Aerial Vehicles. In Proceedings of the 2013 IEEE RO-MAN, Gyeongju, Republic of Korea, 26–29 August 2013; pp. 786–792. [Google Scholar] [CrossRef]
- Sedgwick, H.A. Relating Direct and Indirect Perception of Spatial Layout. In Looking into Pictures; Hecht, H., Schwartz, R., Atherton, M., Eds.; The MIT Press: Cambridge, MA, USA, 2003; pp. 61–76. [Google Scholar] [CrossRef]
- Franke, T.; Attig, C.; Wessel, D. A personal resource for technology interaction: Development and validation of the Affinity for Technology Interaction (ATI) Scale. Int. J. Hum.–Comput. Interact. 2019, 35, 456–467. [Google Scholar] [CrossRef]
- Kothgassner, O.D.; Felnhofer, A.; Hauk, N.; Kastenhofer, E.; Gomm, J.; Kryspin-Exner, I. TUI (Technology Usage Inventory) Manual; ICARUS: Vienna, Austria, 2012. [Google Scholar]
- Rammstedt, B.; Kemper, C.J.; Klein, M.C.; Beierlein, C.; Kovaleva, A. A Short Scale for Assessing the Big Five Dimensions of Personality: 10 Item Big Five Inventory (BFI-10). Methods Data 2017, 7, 17. [Google Scholar] [CrossRef]
- Herdel, V.; Kuzminykh, A.; Hildebrandt, A.; Cauchard, J.R. Drone in Love: Emotional Perception of Facial Expressions on Flying Robots. In Proceedings of the 2021 CHI Conference on Human Factors in Computing Systems, Yokohama, Japan, 8–13 May 2021; pp. 1–20. [Google Scholar] [CrossRef]
- Wojciechowska, A.; Frey, J.; Mandelblum, E.; Amichai-Hamburger, Y.; Cauchard, J.R. Designing Drones: Factors and Characteristics Influencing the Perception of Flying Robots. Proc. ACM Interact. Mob. Wearable Ubiquitous Technol. 2019, 3, 1–19. [Google Scholar] [CrossRef]
- Yeh, A.; Ratsamee, P.; Kiyokawa, K.; Uranishi, Y.; Mashita, T.; Takemura, H.; Fjeld, M.; Obaid, M. Exploring Proxemics for Human-Drone Interaction. In Proceedings of the 5th International Conference on Human Agent Interaction, Bielefeld, Germany, 17–20 October 2017; pp. 81–88. [Google Scholar] [CrossRef]
- Pazhoohi, F.; Hassan, S.B.; Kingstone, A. The Interacting Effects of Men’s Height and Shoulder-to-Hip Ratio on Comfort Distance: A Virtual Reality Study. Adapt. Hum. Behav. Physiol. 2023, 9, 172–181. [Google Scholar] [CrossRef]
- Bruno, N.; Muzzolini, M. Proxemics Revisited: Similar Effects of Arms Length on Men’s and Women’s Personal Distances. Univers. J. Psychol. 2013, 1, 46–52. [Google Scholar] [CrossRef]
- Adams, H.; Stefanucci, J.; Creem-Regehr, S.; Bodenheimer, B. Depth Perception in Augmented Reality: The Effects of Display, Shadow, and Position. In Proceedings of the 2022 IEEE Conference on Virtual Reality and 3D User Interfaces (VR), Christchurch, New Zealand, 12–16 March 2022; pp. 792–801. [Google Scholar] [CrossRef]
- Iachini, T.; Pagliaro, S.; Ruggiero, G. Near or far? It depends on my impression: Moral information and spatial behavior in virtual interactions. Acta Psychol. 2015, 161, 131–136. [Google Scholar] [CrossRef]
- Song, S.W.; Shin, M. Uncanny Valley Effects on Chatbot Trust, Purchase Intention, and Adoption Intention in the Context of E-Commerce: The Moderating Role of Avatar Familiarity. Int. J. Hum.–Comput. Interact. 2022, 40, 441–456. [Google Scholar] [CrossRef]
- Ribino, P. The role of politeness in human–machine interactions: A systematic literature review and future perspectives. Artif. Intell. Rev. 2023, 56, 445–482. [Google Scholar] [CrossRef]
- Spezialetti, M.; Placidi, G.; Rossi, S. Emotion Recognition for Human-Robot Interaction: Recent Advances and Future Perspectives. Front. Robot. AI 2020, 7, 532279. [Google Scholar] [CrossRef] [PubMed]
- Cauchard, J.R.; Dutau, C.; Corsini, G.; Cognetti, M.; Sidobre, D.; Lacroix, S.; Brock, A.M. Considerations for Handover and Co-working with Drones. In Proceedings of the Companion of the 2024 ACM/IEEE International Conference on Human-Robot Interaction, Boulder, CO, USA, 11–15 March 2024; pp. 302–306. [Google Scholar] [CrossRef]







Disclaimer/Publisher’s Note: The statements, opinions and data contained in all publications are solely those of the individual author(s) and contributor(s) and not of MDPI and/or the editor(s). MDPI and/or the editor(s) disclaim responsibility for any injury to people or property resulting from any ideas, methods, instructions or products referred to in the content. |
© 2024 by the authors. Licensee MDPI, Basel, Switzerland. This article is an open access article distributed under the terms and conditions of the Creative Commons Attribution (CC BY) license (https://creativecommons.org/licenses/by/4.0/).
Share and Cite
Wögerbauer, E.M.; Castell, C.v.; Welsch, R.; Hecht, H. Preferred Distance in Human–Drone Interaction. Vision 2024, 8, 59. https://doi.org/10.3390/vision8040059
Wögerbauer EM, Castell Cv, Welsch R, Hecht H. Preferred Distance in Human–Drone Interaction. Vision. 2024; 8(4):59. https://doi.org/10.3390/vision8040059
Chicago/Turabian StyleWögerbauer, Elisabeth Maria, Christoph von Castell, Robin Welsch, and Heiko Hecht. 2024. "Preferred Distance in Human–Drone Interaction" Vision 8, no. 4: 59. https://doi.org/10.3390/vision8040059
APA StyleWögerbauer, E. M., Castell, C. v., Welsch, R., & Hecht, H. (2024). Preferred Distance in Human–Drone Interaction. Vision, 8(4), 59. https://doi.org/10.3390/vision8040059

