Effect of Body Position on Electrical Activity of Respiratory Muscles During Mouth and Nasal Maximal Respiratory Pressure in Healthy Adults: A Pilot Study
Abstract
1. Introduction
2. Materials and Methods
2.1. Study Type and Participants
2.2. Procedures
2.2.1. Spirometry
2.2.2. Measurement of MIP, MEP, SNIP and SNEP
2.2.3. Surface Electromyographic of Respiratory Muscles
2.3. Statistical Analysis
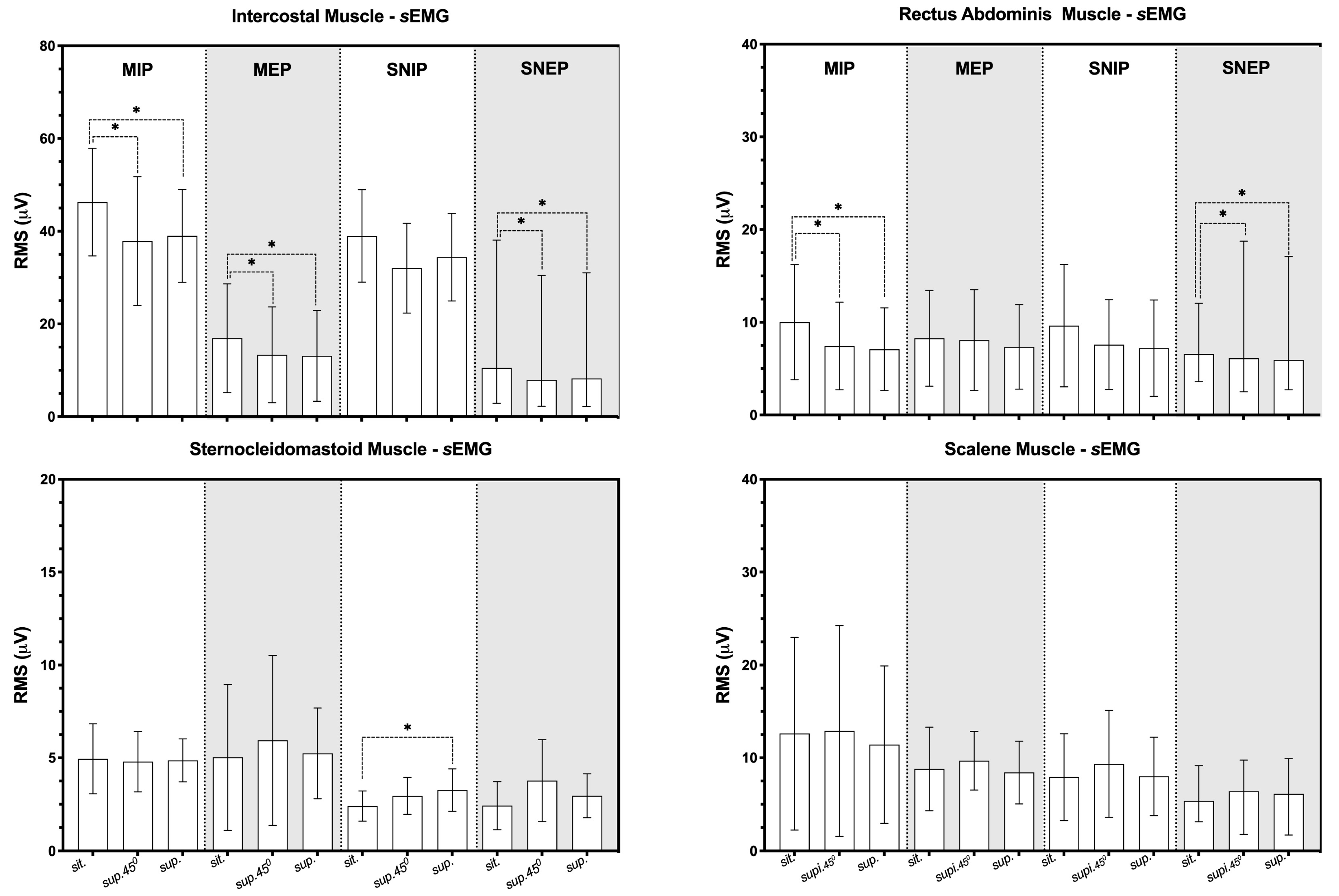
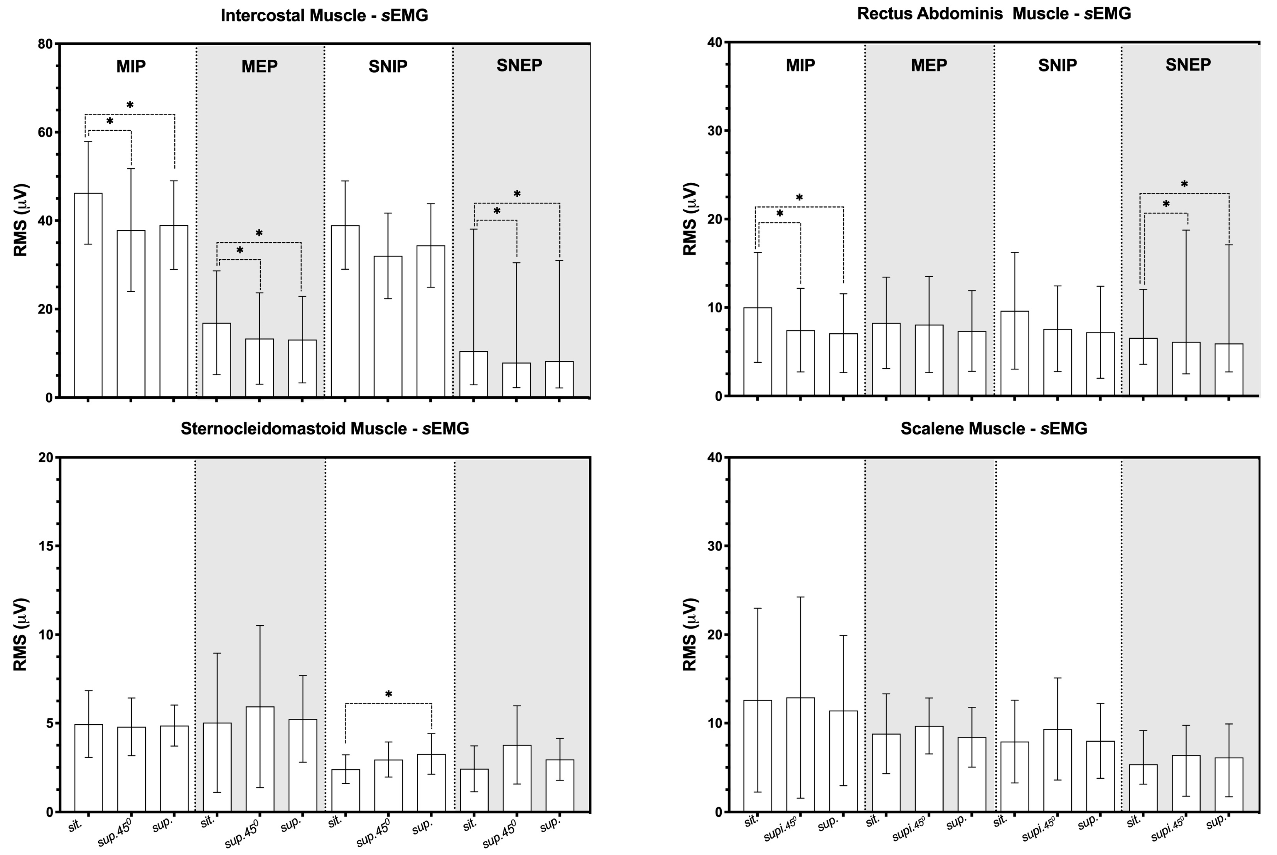
3. Results
4. Discussion
5. Conclusions
Author Contributions
Funding
Institutional Review Board Statement
Informed Consent Statement
Data Availability Statement
Conflicts of Interest
References
- Cormie, P.; McGuigan, M.R.; Newton, R.U. Developing maximal neuromuscular power: Part 1--biological basis of maximal power production. Sports Med. 2011, 41, 17–38. [Google Scholar] [CrossRef] [PubMed]
- Katz, S.; Arish, N.; Rokach, A.; Zaltzman, Y.; Marcus, E.L. The effect of body position on pulmonary function: A systematic review. BMC Pulm. Med. 2018, 18, 159. [Google Scholar] [CrossRef] [PubMed] [PubMed Central]
- Ng, G.Y.; Stokes, M.J. Maximal inspiratory and expiratory mouth pressures in sitting and half-lying positions in normal subjects. Respir. Med. 1991, 85, 209–211. [Google Scholar] [CrossRef] [PubMed]
- Heijdra, Y.F.; Dekhuijzen, P.N.; van Herwaarden, C.L.; Folgering, H.T. Effects of body position, hyperinflation, and blood gas tensions on maximal respiratory pressures in patients with chronic obstructive pulmonary disease. Thorax 1994, 49, 453–458. [Google Scholar] [CrossRef] [PubMed] [PubMed Central]
- Koulouris, N.; Mulvey, D.; Laroche, C.; Goldstone, J.; Moxham, J.; Green, M. The effect of posture and abdominal binding on respiratory pressures. Eur. Respir. J. 1989, 2, 961–965. [Google Scholar] [CrossRef] [PubMed]
- Oneill, S.; Leahy, F.; Pasterkamp, H.; Tal, A. The effects of chronic hyperinflation, nutritional status, and posture on respiratory muscle strength in cystic fibrosis. Am. Rev. Respir. Dis. 1983, 128, 1051–1054. [Google Scholar] [CrossRef] [PubMed]
- Hedenstierna, G. Effects of body position on ventilation/perfusion matching. In Proceedings of the 19th Postgraduate Course in Critical Care Medicine, Trieste, Italy, 12–15 November 2004; pp. 3–15. [Google Scholar]
- Ides, K.M.; De Backer, W.A.; Lanclus, M.; Leemans, G.; Dierckx, W.; Lauwers, E.; Vissers, D.; Steckel, J.; De Backer, J.W. The effect of posture on airflow distribution, airway geometry and air velocity in healthy subjects. BMC Pulm. Med. 2022, 22, 477. [Google Scholar] [CrossRef] [PubMed] [PubMed Central]
- Laveneziana, P.; Albuquerque, A.; Aliverti, A.; Babb, T.; Barreiro, E.; Dres, M.; Dubé, B.-P.; Fauroux, B.; Gea, J.; Guenette, J.A.; et al. ERS statement on respiratory muscle testing at rest and during exercise. Eur. Respir. J. 2019, 53, 1801214. [Google Scholar] [CrossRef] [PubMed]
- Araújo, P.R.S.; Resqueti, V.R.; Nascimento, J., Jr.; Carvalho, L.d.A.; Cavalcanti, A.G.L.; Silva, V.C.; Silva, E.; Moreno, M.A.; Andrade, A.d.F.D.d.; Fregonezi, G.A.d.F. Reference values for sniff nasal inspiratory pressure in healthy subjects in Brazil: A multicenter study. J. Bras. Pneumol. Publicacao Of. Soc. Bras. Pneumol. Tisilogia 2012, 38, 700–707. [Google Scholar] [CrossRef] [PubMed]
- de Lima, J.C.C.; Resqueti, V.R.; Marcelino, A.A.; da Fonsêca, J.D.M.; Paz, A.L.; Dias, F.A.L.; Otto-Yañez, M.; Fregonezi, G.A.F. Reliability of maximal respiratory nasal pressure tests in healthy young adults. PLoS ONE 2023, 18, e0287188. [Google Scholar] [CrossRef] [PubMed] [PubMed Central]
- Terzi, N.; Corne, F.; Mouadil, A.; Lofaso, F.; Normand, H. Mouth and nasal inspiratory pressure: Learning effect and reproducibility in healthy adults. Respiration. Int. Rev. Thorac. Dis. 2010, 80, 379–386. [Google Scholar] [CrossRef] [PubMed]
- Uldry, C.; Fitting, J.W. Maximal values of sniff nasal inspiratory pressure in healthy subjects. Thorax 1995, 50, 371–375. [Google Scholar] [CrossRef] [PubMed] [PubMed Central]
- ATS/ERS ATSERS. ATS/ERS Statement on respiratory muscle testing. Am. J. Respir. Crit. Care Med. 2002, 166, 518–624. [Google Scholar] [CrossRef] [PubMed]
- Cabral, E.E.A.; Fregonezi, G.A.F.; Melo, L.; Basoudan, N.; Mathur, S.; Reid, W.D. Surface electromyography (sEMG) of extradiaphragm respiratory muscles in healthy subjects: A systematic review. J. Electromyogr. Kinesiol. Off. J. Int. Soc. Electrophysiol. Kinesiol. 2018, 42, 123–135. [Google Scholar] [CrossRef] [PubMed]
- Cuschieri, S. The STROBE guidelines. Saudi J. Anaesth. 2019, 13 (Suppl. S1), S31–S34. [Google Scholar] [CrossRef] [PubMed] [PubMed Central]
- Pereira, C.A.d.C.; Sato, T.; Rodrigues, S.C. Novos valores de referência para espirometria forçada em brasileiros adultos de raça branca. J. Bras. Pneumol. 2007, 33, 397–406. [Google Scholar] [CrossRef]
- Graham, B.L.; Steenbruggen, I.; Miller, M.R.; Barjaktarevic, I.Z.; Cooper, B.G.; Hall, G.L.; Hallstrand, T.S.; Kaminsky, D.A.; McCarthy, K.; McCormack, M.C.; et al. Standardization of Spirometry 2019 Update. An Official American Thoracic Society and European Respiratory Society Technical Statement. Am. J. Respir. Crit. 2019, 200, e70–e88. [Google Scholar] [CrossRef] [PubMed] [PubMed Central]
- Souza, R. Pressões respiratórias estáticas máximas. J. Pneumol. 2002, 28, 69–74. [Google Scholar]
- Neder, J.A.; Andreoni, S.; Lerario, M.C.; Nery, L.E. Reference values for lung function tests. II. Maximal respiratory pressures and voluntary ventilation. Braz. J. Med. Biol. Res. Rev. Bras. Pesqui. Medicas E Biol. 1999, 32, 719–727. [Google Scholar] [CrossRef] [PubMed]
- Goldstone, J.C.; Green, M.; Moxham, J. Maximum relaxation rate of the diaphragm during weaning from mechanical ventilation. Thorax 1994, 49, 54–60. [Google Scholar] [CrossRef] [PubMed] [PubMed Central]
- Koulouris, N.; Vianna, L.G.; Mulvey, D.A.; Green, M.; Moxham, J. Maximal relaxation rates of esophageal, nose, and mouth pressures during a sniff reflect inspiratory muscle fatigue. Am. Rev. Respir. Dis. 1989, 139, 1213–1217. [Google Scholar] [CrossRef] [PubMed]
- Hermens, H.J.; Freriks, B.; Disselhorst-Klug, C.; Rau, G. Development of recommendations for SEMG sensors and sensor placement procedures. J. Electromyogr. Kinesiol. Off. J. Int. Soc. Electrophysiol. Kinesiol. 2000, 10, 361–374. [Google Scholar] [CrossRef] [PubMed]
- de Andrade, A.D.; Silva, T.; Vasconcelos, H.; Marcelino, M.; Rodrigues-Machado, M.; Filho, V.G.; Moraes, N.; Marinho, P.; Amorim, C. Inspiratory muscular activation during threshold therapy in elderly healthy and patients with COPD. J. Electromyogr. Kinesiol. Off. J. Int. Soc. Electrophysiol. Kinesiol. 2005, 15, 631–639. [Google Scholar] [CrossRef] [PubMed]
- Gandevia, S.C.; Leeper, J.B.; McKenzie, D.K.; De Troyer, A. Discharge frequencies of parasternal intercostal and scalene motor units during breathing in normal and COPD subjects. Am. J. Respir. Crit. Care Med. 1996, 153, 622–628. [Google Scholar] [CrossRef] [PubMed]
- Duiverman, M.L.; van Eykern, L.A.; Vennik, P.W.; Koëter, G.H.; Maarsingh, E.J.W.; Wijkstra, P.J. Reproducibility and responsiveness of a noninvasive EMG technique of the respiratory muscles in COPD patients and in healthy subjects. J. Appl. Physiol. 2004, 96, 1723–1729. [Google Scholar] [CrossRef] [PubMed]
- Braun, N.M.; Arora, N.S.; Rochester, D.F. Force-length relationship of the normal human diaphragm. J. Appl. Physiol. Respir. Environ. Exerc. Physiol. 1982, 53, 405–412. [Google Scholar] [CrossRef] [PubMed]
- De Troyer, A. Mechanical role of the abdominal muscles in relation to posture. Respir. Physiol. 1983, 53, 341–353. [Google Scholar] [CrossRef] [PubMed]
- McCully, K.K.; Faulkner, J.A. Length-tension relationship of mammalian diaphragm muscles. J. Appl. Physiol. Respir. Environ. Exerc. Physiol. 1983, 54, 1681–1686. [Google Scholar] [CrossRef] [PubMed]
- Romei, M.; Mauro, A.L.; D’Angelo, M.G.; Turconi, A.C.; Bresolin, N.; Pedotti, A.; Aliverti, A. Effects of gender and posture on thoraco-abdominal kinematics during quiet breathing in healthy adults. Respir. Physiol. Neurobiol. 2010, 172, 184–191. [Google Scholar] [CrossRef] [PubMed]
- Mizuno, M. Human respiratory muscles: Fibre morphology and capillary supply. Eur. Respir. J. 1991, 4, 587–601. [Google Scholar] [CrossRef] [PubMed]
- Mizuno, M.; Secher, N.H. Histochemical characteristics of human expiratory and inspiratory intercostal muscles. J. Appl. Physiol. 1989, 67, 592–598. [Google Scholar] [CrossRef] [PubMed]
- De Troyer, A.; Kirkwood, P.A.; Wilson, T.A. Respiratory action of the intercostal muscles. Physiol. Rev. 2005, 85, 717–756. [Google Scholar] [CrossRef] [PubMed]
- Costa, R.; Almeida, N.; Ribeiro, F. Body position influences the maximum inspiratory and expiratory mouth pressures of young healthy subjects. Physiotherapy 2015, 101, 239–241. [Google Scholar] [CrossRef] [PubMed]
- Fiz, J.A.; Texidó, A.; Izquierdo, J.; Ruiz, J.; Roig, J.; Morera, J. Postural variation of the maximum inspiratory and expiratory pressures in normal subjects. Chest 1990, 97, 313–314. [Google Scholar] [CrossRef] [PubMed]
- Naitoh, S.; Tomita, K.; Sakai, K.; Yamasaki, A.; Kawasaki, Y.; Shimizu, E. The effect of body position on pulmonary function, chest wall motion, and discomfort in young healthy participants. J. Manip. Physiol. Ther. 2014, 37, 719–725. [Google Scholar] [CrossRef] [PubMed]
- Albarrati, A.; Zafar, H.; Alghadir, A.H.; Answer, S. Effect of Upright and Slouched Sitting Postures on the Respiratory Muscle Strength in Healthy Young Males. BioMed Res. Int. 2018, 2018, 3058970. [Google Scholar] [CrossRef] [PubMed] [PubMed Central]
- Segizbaeva, M.O.; Pogodin, M.A.; Aleksandrova, N.P. Effects of body positions on respiratory muscle activation during maximal inspiratory maneuvers. Adv. Exp. Med. Biol. 2013, 756, 355–363. [Google Scholar] [CrossRef] [PubMed]
- Badr, C.; Elkins, M.R.; Ellis, E.R. The effect of body position on maximal expiratory pressure and flow. Aust. J. Physiother. 2002, 48, 95–102. [Google Scholar] [CrossRef] [PubMed]



| Variables | Descriptive Statistic |
|---|---|
| Age (years) | 23.80 ± 2.49 |
| Weight (kg) | 64.56 ± 8.29 |
| Height (m) | 1.70 ± 0.08 |
| BMI (kg/m²) | 22.39 ± 1.62 |
| FVC (L) | 4.42 ± 0.63 |
| FVC (% predicted) | 98.50 ± 9.19 |
| FEV1 (L) | 3.70 ± 0.50 |
| FEV1 (% predicted) | 95.60 ± 8.10 |
| FEV1/FVC | 0.84 ± 0.06 |
| MIP (cmH2O) | 105.30 ± 16.78 |
| MIP (% predicted) | 90.97 ± 16.43 |
| MEP (cmH2O) | 103.00 ± 19.52 |
| MEP (% predicted) | 68.40 ± 40.11 |
| SNIP (cmH2O) | 91.80 ± 22.62 |
| SNIP (% predicted) | 82.37 ± 21.58 |
| SNEP (cmH2O) | 91.00 ± 21.54 |
| Sitting vs. 45° Supine | 45° Supine vs. Supine | Sitting vs. Supine | ||||
|---|---|---|---|---|---|---|
| Cohen dz | (β) | Cohen dz | (β) | Cohen dz | (β) | |
| Inspiratory session | ||||||
| MIP | 2.96 | <0.99 | 1.28 | 0.95 | 3.94 | <0.99 |
| SNIP | 1.44 | 0.98 | 1.72 | 0.99 | 2.16 | 0.99 |
| SCM_MIP | 0.48 | 0.26 | 0.37 | 0.18 | 0.12 | 0.06 |
| ECS _MIP | 0.06 | 0.05 | 0.78 | 0.57 | 0.84 | 0.63 |
| RA_MIP | 2.04 | 0.99 | 0.49 | 0.27 | 1.99 | 0.99 |
| IT_MIP | 3.31 | <0.99 | 0.41 | 0.21 | 3.38 | <0.99 |
| SCM _SNIP | 0.91 | 0.70 | 1.31 | 0.94 | 1.72 | 0.99 |
| ECS_SNIP | 1.26 | 0.93 | 1.64 | 0.99 | 0.30 | 0.13 |
| RA_SNIP | 1.45 | 0.98 | 0.97 | 0.76 | 1.61 | 0.99 |
| IT_SNIP | 3.02 | <0.99 | 2.35 | 0.99 | 2.40 | 0,99 |
| Expiratory session | ||||||
| MEP | 1.01 | 0.81 | 0.89 | 0.71 | 0.29 | 0.14 |
| SNEP | 1.80 | 0.99 | 1.46 | 0.98 | 3.63 | <0.99 |
| SCM _MEP | 1.13 | 0.99 | 0.4 | 0.15 | 0.64 | 0.42 |
| ECS_MEP | 0.08 | 0.06 | 0.06 | 0.05 | 0.22 | 0.09 |
| RA_MEP | 0.25 | 0.10 | 0.64 | 0.42 | 0.41 | 0.2 |
| IT_MEP | 3.47 | <0.99 | 0.29 | 0.13 | 3.02 | <0.99 |
| SCM_SNEP | 1.44 | 0.98 | 1.42 | 0.97 | 1.14 | 0.87 |
| ECS_SNEP | 0.06 | 0.05 | 0.41 | 0.21 | 0.42 | 0.21 |
| RA_SNEP | 2.36 | 0.99 | 0.75 | 0.54 | 1.96 | 0.99 |
| IT_SNEP | 2.52 | 0.99 | 1.11 | 0.86 | 3.37 | <0.99 |
Disclaimer/Publisher’s Note: The statements, opinions and data contained in all publications are solely those of the individual author(s) and contributor(s) and not of MDPI and/or the editor(s). MDPI and/or the editor(s) disclaim responsibility for any injury to people or property resulting from any ideas, methods, instructions or products referred to in the content. |
© 2024 by the authors. Licensee MDPI, Basel, Switzerland. This article is an open access article distributed under the terms and conditions of the Creative Commons Attribution (CC BY) license (https://creativecommons.org/licenses/by/4.0/).
Share and Cite
da Silva, L.S.; Vieira, R.G.d.S.; Wanderley e Lima, T.B.; Resqueti, V.R.; Vilaro, J.; Fonseca, J.D.M.d.; Ribeiro-Samora, G.A.; Fregonezi, G.A.d.F. Effect of Body Position on Electrical Activity of Respiratory Muscles During Mouth and Nasal Maximal Respiratory Pressure in Healthy Adults: A Pilot Study. J. Funct. Morphol. Kinesiol. 2024, 9, 241. https://doi.org/10.3390/jfmk9040241
da Silva LS, Vieira RGdS, Wanderley e Lima TB, Resqueti VR, Vilaro J, Fonseca JDMd, Ribeiro-Samora GA, Fregonezi GAdF. Effect of Body Position on Electrical Activity of Respiratory Muscles During Mouth and Nasal Maximal Respiratory Pressure in Healthy Adults: A Pilot Study. Journal of Functional Morphology and Kinesiology. 2024; 9(4):241. https://doi.org/10.3390/jfmk9040241
Chicago/Turabian Styleda Silva, Lailane Saturnino, Rayane Grayce da Silva Vieira, Thiago Bezerra Wanderley e Lima, Vanessa Regiane Resqueti, Jordi Vilaro, Jessica Danielle Medeiros da Fonseca, Giane Amorim Ribeiro-Samora, and Guilherme Augusto de Freitas Fregonezi. 2024. "Effect of Body Position on Electrical Activity of Respiratory Muscles During Mouth and Nasal Maximal Respiratory Pressure in Healthy Adults: A Pilot Study" Journal of Functional Morphology and Kinesiology 9, no. 4: 241. https://doi.org/10.3390/jfmk9040241
APA Styleda Silva, L. S., Vieira, R. G. d. S., Wanderley e Lima, T. B., Resqueti, V. R., Vilaro, J., Fonseca, J. D. M. d., Ribeiro-Samora, G. A., & Fregonezi, G. A. d. F. (2024). Effect of Body Position on Electrical Activity of Respiratory Muscles During Mouth and Nasal Maximal Respiratory Pressure in Healthy Adults: A Pilot Study. Journal of Functional Morphology and Kinesiology, 9(4), 241. https://doi.org/10.3390/jfmk9040241

