Acute Effect of L-Citrulline Supplementation on Resistance Exercise Performance and Muscle Oxygenation in Recreationally Resistance Trained Men and Women
Abstract
1. Introduction
2. Materials and Methods
2.1. Study Design
2.2. Participants
2.3. One-Repetition Maximum Testing and Familiarization
2.4. Supplementation
2.5. Isometric Mid-Thigh Pull
2.6. Ballistic Bench Press Protocol
2.7. Strength-Endurance Bench Press Protocol
2.8. Muscle Oxygenation
2.9. Subjective Feelings and Ratings of Perceived Exertion
2.10. Statistical Analysis
3. Results
3.1. Dietary Compliance and Adverse Effects
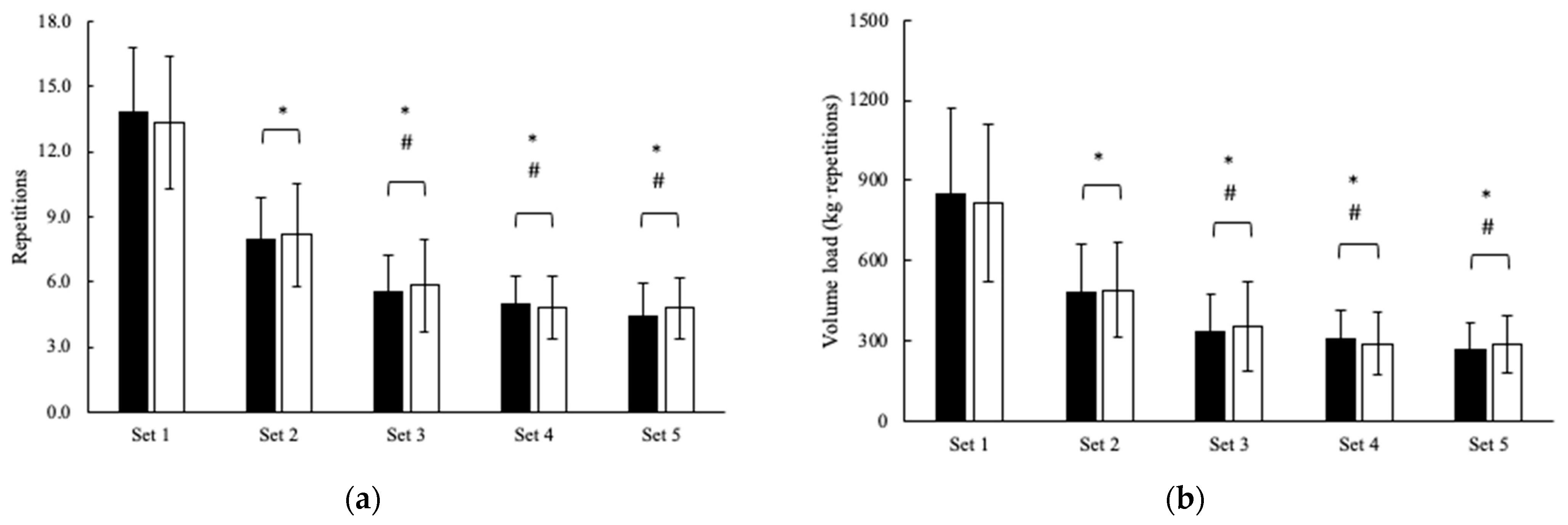
3.2. Muscular Performance
3.3. Muscle Oxygenation
3.4. Subjective Assessments
4. Discussion
5. Conclusions
Author Contributions
Funding
Institutional Review Board Statement
Informed Consent Statement
Data Availability Statement
Conflicts of Interest
References
- Allerton, T.D.; Proctor, D.N.; Stephens, J.M.; Dugas, T.R.; Spielmann, G.; Irving, B.A. L-Citrulline supplementation: Impact on cardiometabolic health. Nutrients 2018, 10, 921. [Google Scholar] [CrossRef]
- Gonzalez, A.M.; Townsend, J.R.; Pinzone, A.G.; Hoffman, J.R. Supplementation with Nitric Oxide Precursors for Strength Performance: A Review of the Current Literature. Nutrients 2023, 15, 660. [Google Scholar] [CrossRef] [PubMed]
- Aguayo, E.; Martínez-Sánchez, A.; Fernández-Lobato, B.; Alacid, F. L-Citrulline: A non-essential amino acid with important roles in human health. Appl. Sci. 2021, 11, 3293. [Google Scholar] [CrossRef]
- Schwedhelm, E.; Maas, R.; Freese, R.; Jung, D.; Lukacs, Z.; Jambrecina, A.; Spickler, W.; Schulze, F.; Böger, R.H. Pharmacokinetic and pharmacodynamic properties of oral L-citrulline and L-arginine: Impact on nitric oxide metabolism. Br. J. Clin. Pharmacol. 2008, 65, 51–59. [Google Scholar] [CrossRef] [PubMed]
- Gonzalez, A.M.; Trexler, E.T. Effects of citrulline supplementation on exercise performance in humans: A review of the current literature. J. Strength Cond. Res. 2020, 34, 1480–1495. [Google Scholar] [CrossRef] [PubMed]
- Jagim, A.R.; Harty, P.S.; Camic, C.L. Common ingredient profiles of multi-ingredient pre-workout supplements. Nutrients 2019, 11, 254. [Google Scholar] [CrossRef]
- Gough, L.A.; Sparks, S.A.; McNaughton, L.R.; Higgins, M.F.; Newbury, J.W.; Trexler, E.; Faghy, M.A.; Bridge, C.A. A critical review of citrulline malate supplementation and exercise performance. Eur. J. Appl. Physiol. 2021, 121, 3283–3295. [Google Scholar] [CrossRef]
- Gills, J.L.; Spliker, B.; Glenn, J.M.; Szymanski, D.; Romer, B.; Lu, H.-C.; Gray, M. Acute Citrulline-Malate Supplementation Increases Total Work in Short Lower-Body Isokinetic Tasks for Recreationally Active Females During Menstruation. J. Strength Cond. Res. 2021. [CrossRef]
- Glenn, J.M.; Gray, M.; Jensen, A.; Stone, M.S.; Vincenzo, J.L. Acute citrulline-malate supplementation improves maximal strength and anaerobic power in female, masters athletes tennis players. Eur. J. Sport Sci. 2016, 16, 1095–1103. [Google Scholar] [CrossRef] [PubMed]
- Glenn, J.M.; Gray, M.; Wethington, L.N.; Stone, M.S.; Stewart, R.W.; Moyen, N.E. Acute citrulline malate supplementation improves upper-and lower-body submaximal weightlifting exercise performance in resistance-trained females. Eur. J. Nutr. 2017, 56, 775–784. [Google Scholar] [CrossRef]
- Pérez-Guisado, J.; Jakeman, P.M. Citrulline malate enhances athletic anaerobic performance and relieves muscle soreness. J. Strength Cond. Res. 2010, 24, 1215–1222. [Google Scholar] [CrossRef]
- Wax, B.; Kavazis, A.N.; Luckett, W. Effects of supplemental citrulline-malate ingestion on blood lactate, cardiovascular dynamics, and resistance exercise performance in trained males. J. Diet. Suppl. 2016, 13, 269–282. [Google Scholar] [CrossRef] [PubMed]
- Wax, B.; Kavazis, A.N.; Weldon, K.; Sperlak, J. Effects of supplemental citrulline malate ingestion during repeated bouts of lower-body exercise in advanced weightlifters. J. Strength Cond. Res. 2015, 29, 786–792. [Google Scholar] [CrossRef]
- Chappell, A.J.; Allwood, D.M.; Johns, R.; Brown, S.; Sultana, K.; Anand, A.; Simper, T. Citrulline malate supplementation does not improve German Volume Training performance or reduce muscle soreness in moderately trained males and females. J. Int. Soc. Sport. Nutr. 2018, 15, 42. [Google Scholar] [CrossRef]
- Chappell, A.J.; Allwood, D.M.; Simper, T.N. Citrulline malate fails to improve German volume training performance in healthy young men and women. J. Diet. Suppl. 2020, 17, 249–260. [Google Scholar] [CrossRef] [PubMed]
- Farney, T.M.; Bliss, M.V.; Hearon, C.M.; Salazar, D.A. The effect of citrulline malate supplementation on muscle fatigue among healthy participants. J. Strength Cond. Res. 2019, 33, 2464–2470. [Google Scholar] [CrossRef]
- Fick, A.N.; Kowalsky, R.J.; Stone, M.S.; Hearon, C.M.; Farney, T.M. Acute and Chronic Citrulline Malate Supplementation on Muscle Contractile Properties and Fatigue Rate of the Quadriceps. Int. J. Sport Nutr. Exerc. Metab. 2021, 31, 490–496. [Google Scholar] [CrossRef] [PubMed]
- Gonzalez, A.M.; Spitz, R.W.; Ghigiarelli, J.J.; Sell, K.M.; Mangine, G.T. Acute effect of citrulline malate supplementation on upper-body resistance exercise performance in recreationally resistance-trained men. J. Strength Cond. Res. 2018, 32, 3088–3094. [Google Scholar] [CrossRef]
- Trexler, E.T.; Keith, D.S.; Schwartz, T.A.; Ryan, E.D.; Stoner, L.; Persky, A.M.; Smith-Ryan, A.E. Effects of citrulline malate and beetroot juice supplementation on blood flow, energy metabolism, and performance during maximum effort leg extension exercise. J. Strength Cond. Res. 2019, 33, 2321–2329. [Google Scholar] [CrossRef]
- Vårvik, F.T.; Bjørnsen, T.; Gonzalez, A.M. Acute Effect of Citrulline Malate on Repetition Performance During Strength Training: A Systematic Review and Meta-Analysis. Int. J. Sport Nutr. Exerc. Metab. 2021, 31, 350–358. [Google Scholar] [CrossRef]
- Trexler, E.T.; Persky, A.M.; Ryan, E.D.; Schwartz, T.A.; Stoner, L.; Smith-Ryan, A.E. Acute effects of citrulline supplementation on high-intensity strength and power performance: A systematic review and meta-analysis. Sport. Med. 2019, 49, 707–718. [Google Scholar] [CrossRef]
- Moinard, C.; Nicolis, I.; Neveux, N.; Darquy, S.; Benazeth, S.; Cynober, L. Dose-ranging effects of citrulline administration on plasma amino acids and hormonal patterns in healthy subjects: The Citrudose pharmacokinetic study. Br. J. Nutr. 2008, 99, 855–862. [Google Scholar] [CrossRef]
- Williams, T.D.; Martin, M.P.; Mintz, J.A.; Rogers, R.R.; Ballmann, C.G. Effect of acute beetroot juice supplementation on bench press power, velocity, and repetition volume. J. Strength Cond. Res. 2020, 34, 924–928. [Google Scholar] [CrossRef] [PubMed]
- Brzycki, M. Strength testing—Predicting a one-rep max from reps-to-fatigue. J. Phys. Educ. Recreat. Danc. 1993, 64, 88–90. [Google Scholar] [CrossRef]
- Gonzalez, A.M.; Pinzone, A.G.; Lipes, S.E.; Mangine, G.T.; Townsend, J.R.; Allerton, T.D.; Sell, K.M.; Ghigiarelli, J.J. Effect of watermelon supplementation on exercise performance, muscle oxygenation, and vessel diameter in resistance-trained men. Eur. J. Appl. Physiol. 2022, 122, 1627–1638. [Google Scholar] [CrossRef]
- Haff, G.G.; Ruben, R.P.; Lider, J.; Twine, C.; Cormie, P. A comparison of methods for determining the rate of force development during isometric midthigh clean pulls. J. Strength Cond. Res. 2015, 29, 386–395. [Google Scholar] [CrossRef]
- Haynes, J.T.; Townsend, J.R.; Aziz, M.A.; Jones, M.D.; Littlefield, L.A.; Ruiz, M.D.; Johnson, K.D.; Gonzalez, A.M. Impact of Red Spinach Extract Supplementation on Bench Press Performance, Muscle Oxygenation, and Cognitive Function in Resistance-Trained Males. Sports 2021, 9, 77. [Google Scholar] [CrossRef] [PubMed]
- Contreras-Briceño, F.; Espinosa-Ramirez, M.; Hevia, G.; Llambias, D.; Carrasco, M.; Cerda, F.; López-Fuenzalida, A.; García, P.; Gabrielli, L.; Viscor, G. Reliability of NIRS portable device for measuring intercostal muscles oxygenation during exercise. J. Sport. Sci. 2019, 37, 2653–2659. [Google Scholar] [CrossRef]
- Crum, E.; O’connor, W.; Van Loo, L.; Valckx, M.; Stannard, S. Validity and reliability of the Moxy oxygen monitor during incremental cycling exercise. Eur. J. Sport Sci. 2017, 17, 1037–1043. [Google Scholar] [CrossRef] [PubMed]
- Feldmann, A.; Schmitz, R.W.; Erlacher, D. Near-infrared spectroscopy-derived muscle oxygen saturation on a 0% to 100% scale: Reliability and validity of the Moxy Monitor. J. Biomed. Opt. 2019, 24, 115001. [Google Scholar] [CrossRef]
- Gómez-Carmona, C.D.; Bastida-Castillo, A.; Rojas-Valverde, D.; de la Cruz Sánchez, E.; García-Rubio, J.; Ibáñez, S.J.; Pino-Ortega, J. Lower-limb dynamics of muscle oxygen saturation during the back-squat exercise: Effects of training load and effort level. J. Strength Cond. Res. 2020, 34, 1227–1236. [Google Scholar] [CrossRef] [PubMed]
- Lee, K.A.; Hicks, G.; Nino-Murcia, G. Validity and reliability of a scale to assess fatigue. Psychiatry Res. 1991, 36, 291–298. [Google Scholar] [CrossRef] [PubMed]
- Robertson, R.J.; Goss, F.L.; Rutkowski, J.; Lenz, B.; Dixon, C.; Timmer, J.; Frazee, K.; Dube, J.; Andreacci, J. Concurrent validation of the OMNI perceived exertion scale for resistance exercise. Med. Sci. Sport. Exerc. 2003, 35, 333–341. [Google Scholar] [CrossRef] [PubMed]
- Rouder, J.N.; Morey, R.D.; Speckman, P.L.; Province, J.M. Default Bayes factors for ANOVA designs. J. Math. Psychol. 2012, 56, 356–374. [Google Scholar] [CrossRef]
- Wagenmakers, E.-J.; Love, J.; Marsman, M.; Jamil, T.; Ly, A.; Verhagen, J.; Selker, R.; Gronau, Q.F.; Dropmann, D.; Boutin, B. Bayesian inference for psychology. Part II Ex. Appl. JASP. Psychon. Bull. Rev. 2018, 25, 58–76. [Google Scholar] [CrossRef]
- Rogers, J.M.; Gills, J.; Gray, M. Acute effects of Nitrosigine® and citrulline malate on vasodilation in young adults. J. Int. Soc. Sport. Nutr. 2020, 17, 12. [Google Scholar] [CrossRef] [PubMed]
- Cutrufello, P.T.; Gadomski, S.J.; Zavorsky, G.S. The effect of l-citrulline and watermelon juice supplementation on anaerobic and aerobic exercise performance. J. Sport. Sci. 2015, 33, 1459–1466. [Google Scholar] [CrossRef]


| Characteristic | Men | Women |
|---|---|---|
| Age (y) | 21.4 ± 2.0 | 21.4 ± 1.9 |
| Height (cm) | 176.4 ± 6.3 | 165.9 ± 3.7 |
| Body mass (kg) | 83.0 ± 8.4 | 67.3 ± 6.1 |
| Resting systolic blood pressure (mmHg) | 128.2 ± 6.6 | 114.6 ± 10.7 |
| Resting diastolic blood pressure (mmHg) | 70.3 ± 7.0 | 72.9 ± 6.6 |
| Resistance training experience (y) | 5.1 ± 2.5 | 4.6 ± 2.1 |
| Bench press 1RM (kg) | 98.7 ± 16.9 | 58.6 ± 14.3 |
| Relative strength (1RM/Body mass) | 1.2 ± 0.2 | 0.9 ± 0.2 |
| Sex | Condition | Sex × Condition | |||||||
|---|---|---|---|---|---|---|---|---|---|
| PL | CIT | p | BF10 | p | BF10 | p | BF10 | ||
| Isometric Mid-Thigh Pull | |||||||||
| Peak force (N) | Women | 366 ± 44 | 362 ± 54 | <0.001 | 1.0 | 0.523 | 0.0 | 0.894 | 0.2 |
| Men | 581 ± 97 | 576 ± 85 | |||||||
| Ballistic Bench Press | |||||||||
| Peak Power (W) | Women | 359 ± 84 | 359 ± 75 | <0.001 | 1.0 | 0.151 | 0.0 | 0.161 | 0.8 |
| Men | 625 ± 168 | 689 ± 204 | |||||||
| Mean Power (W) | Women | 241 ± 39 | 234 ± 36 | <0.001 | 1.0 | 0.382 | 0.0 | 0.144 | 0.5 |
| Men | 413 ± 100 | 438 ± 106 | |||||||
| Mean Velocity (m·sec−1) | Women | 0.58 ± 0.11 | 0.56 ± 0.08 | 0.602 | 0.6 | 0.455 | 0.5 | 0.085 | 0.4 |
| Men | 0.58 ± 0.11 | 0.62 ± 0.14 | |||||||
| BL | PRE | IP | |||||
|---|---|---|---|---|---|---|---|
| RPE (au) | |||||||
| PL | Women | N/A | N/A | 8.0 ± 0.6 | |||
| Men | 8.6 ± 0.8 | ||||||
| CIT | Women | 8.1 ± 0.7 | |||||
| Men | 8.4 ± 1.0 | ||||||
| Session RPE (au) | |||||||
| PL | Women | N/A | N/A | 310 ± 61 | |||
| Men | 307 ± 77 | ||||||
| CIT | Women | 320 ± 64 | |||||
| Men | 295 ± 76 | ||||||
| Focus (au) | |||||||
| PL | Women | 8.2 ± 2.0 | 9.9 ± 1.4 | * | 10.9 ± 1.4 | * | |
| Men | 9.9 ± 3.5 | 10.9 ± 3.4 | 11.4 ± 3.1 | ||||
| CIT | Women | 8.3 ± 2.0 | 9.7 ± 1.5 | 10.2 ± 1.5 | |||
| Men | 9.9 ± 3.3 | 11.1 ± 2.5 | 11.9 ± 2.4 | ||||
| Energy (au) | |||||||
| PL | Women | 8.7 ± 1.6 | 9 ± 1.1 | 9.3 ± 2.4 | |||
| Men | 9.1 ± 3.5 | 10.4 ± 3.3 | 6.9 ± 4.2 | ||||
| CIT | Women | 8.0 ± 2.0 | 9.5 ± 1.3 | 8.8 ± 2.8 | |||
| Men | 9.2 ± 3.7 | 9.5 ± 4.4 | 8.8 ± 3.8 | ||||
| Fatigue (au) | |||||||
| PL $ | Women | 6.2 ± 1.3 | 6.2 ± 1.8 | 8.3 ± 2.8 | *,# | ||
| Men | 3.5 ± 2.4 | 2.4 ± 2.5 | 6.2 ± 4.5 | ||||
| CIT | Women | 5.8 ± 2.8 | 4.8 ± 2.3 | 6.9 ± 2.7 | |||
| Men | 3.5 ± 2.7 | 2.5 ± 2.6 | 8.9 ± 4.8 | ||||
| Muscle pump (au) | |||||||
| PL | Women | 5.3 ± 2.8 | $ | 5.6 ± 3 | $ | 10 ± 1.9 | # |
| Men | 1.5 ± 1.5 | 1.5 ± 1.7 | 10.7 ± 2.9 | # | |||
| CIT | Women | 5.4 ± 3.3 | 5.1 ± 3 | 11 ± 2 | # | ||
| Men | 1.3 ± 1.5 | 1.5 ± 1.5 | 11.2 ± 2.9 | # | |||
Disclaimer/Publisher’s Note: The statements, opinions and data contained in all publications are solely those of the individual author(s) and contributor(s) and not of MDPI and/or the editor(s). MDPI and/or the editor(s) disclaim responsibility for any injury to people or property resulting from any ideas, methods, instructions or products referred to in the content. |
© 2023 by the authors. Licensee MDPI, Basel, Switzerland. This article is an open access article distributed under the terms and conditions of the Creative Commons Attribution (CC BY) license (https://creativecommons.org/licenses/by/4.0/).
Share and Cite
Gonzalez, A.M.; Yang, Y.; Mangine, G.T.; Pinzone, A.G.; Ghigiarelli, J.J.; Sell, K.M. Acute Effect of L-Citrulline Supplementation on Resistance Exercise Performance and Muscle Oxygenation in Recreationally Resistance Trained Men and Women. J. Funct. Morphol. Kinesiol. 2023, 8, 88. https://doi.org/10.3390/jfmk8030088
Gonzalez AM, Yang Y, Mangine GT, Pinzone AG, Ghigiarelli JJ, Sell KM. Acute Effect of L-Citrulline Supplementation on Resistance Exercise Performance and Muscle Oxygenation in Recreationally Resistance Trained Men and Women. Journal of Functional Morphology and Kinesiology. 2023; 8(3):88. https://doi.org/10.3390/jfmk8030088
Chicago/Turabian StyleGonzalez, Adam M., Yang Yang, Gerald T. Mangine, Anthony G. Pinzone, Jamie J. Ghigiarelli, and Katie M. Sell. 2023. "Acute Effect of L-Citrulline Supplementation on Resistance Exercise Performance and Muscle Oxygenation in Recreationally Resistance Trained Men and Women" Journal of Functional Morphology and Kinesiology 8, no. 3: 88. https://doi.org/10.3390/jfmk8030088
APA StyleGonzalez, A. M., Yang, Y., Mangine, G. T., Pinzone, A. G., Ghigiarelli, J. J., & Sell, K. M. (2023). Acute Effect of L-Citrulline Supplementation on Resistance Exercise Performance and Muscle Oxygenation in Recreationally Resistance Trained Men and Women. Journal of Functional Morphology and Kinesiology, 8(3), 88. https://doi.org/10.3390/jfmk8030088

