Association of Strength Performance in Bench Press and Squat with Anthropometric Variables between Resistance-Trained Males and Females
Abstract
:1. Introduction
2. Materials and Methods
2.1. Participants
2.2. Testing
2.3. Statistical Analysis
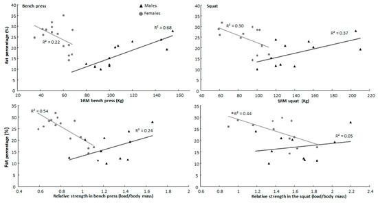
3. Results
4. Discussion
5. Conclusions
Author Contributions
Funding
Institutional Review Board Statement
Informed Consent Statement
Data Availability Statement
Conflicts of Interest
References
- Westcott, W.L. Resistance training is medicine: Effects of strength training on health. Curr. Sports Med. Rep. 2012, 11, 209–216. [Google Scholar] [CrossRef]
- Winett, R.A.; Carpinelli, R.N. Potential health-related benefits of resistance training. Prev. Med. 2001, 33, 503–513. [Google Scholar] [CrossRef] [PubMed]
- Kraemer, W.J.; Ratamess, N.A.; French, D.N. Resistance training for health and performance. Curr. Sports Med. Rep. 2002, 1, 165–171. [Google Scholar] [CrossRef]
- Falch, H.N.; Rædergård, H.G.; van den Tillaar, R. Effect of different physical training forms on change of direction ability: A systematic review and meta-analysis. Sports Med.-Open 2019, 5, 53. [Google Scholar] [CrossRef] [PubMed]
- Falch, H.N.; Haugen, M.E.; Kristiansen, E.L.; van den Tillaar, R. Effect of Strength vs. Plyometric Training upon Change of Direction Performance in Young Female Handball Players. Int. J. Environ. Res. Public Health 2022, 19, 6946. [Google Scholar] [CrossRef]
- Rædergård, H.G.; Falch, H.N.; Tillaar, R.V.D. Effects of Strength vs. Plyometric Training on Change of Direction Performance in Experienced Soccer Players. Sports 2020, 8, 144. [Google Scholar] [CrossRef] [PubMed]
- Suchomel, T.J.; Nimphius, S.; Stone, M.H. The importance of muscular strength in athletic performance. Sports Med. 2016, 46, 1419–1449. [Google Scholar] [CrossRef] [PubMed]
- Hicks, A.L.; Kent-Braun, J.; Ditor, D.S. Sex differences in human skeletal muscle fatigue. Exerc. Sport Sci. Rev. 2001, 29, 109–112. [Google Scholar] [CrossRef] [PubMed]
- Nimphius, S.; Callaghan, S.J.; Bezodis, N.E.; Lockie, R.G. Change of direction and agility tests: Challenging our current measures of performance. Strength Cond. J. 2018, 40, 26–38. [Google Scholar] [CrossRef]
- Watts, D. A brief review on the role of maximal strength in change of direction speed. J. Aust. Strength Cond. 2015, 23, 100–108. [Google Scholar]
- Bourgeois, F.; McGuigan, M.; Gill, N.; Gamble, G. Physical characteristics and performance in change of direction tasks: A brief review and training considerations. J. Strength Cond. Res. 2017, 25, 104–117. [Google Scholar]
- Tibana, R.A.; de Sousa Neto, I.V.; Sousa, N.M.F.D.; Romeiro, C.; Hanai, A.; Brandão, H.; Dominski, F.H.; Voltarelli, F.A. Local Muscle Endurance and Strength Had Strong Relationship with CrossFit® Open 2020 in Amateur Athletes. Sports 2021, 9, 98. [Google Scholar] [CrossRef]
- Cooke, D.M.; Haischer, M.H.; Carzoli, J.P.; Bazyler, C.D.; Johnson, T.K.; Varieur, R.; Zoeller, R.F.; Whitehurst, M.; Zourdos, M.C. Body mass and femur length are inversely related to repetitions performed in the back squat in well-trained lifters. J. Strength Cond. Res. 2019, 33, 890–895. [Google Scholar] [CrossRef] [PubMed]
- Janssen, I.; Heymsfield, S.B.; Wang, Z.; Ross, R. Skeletal muscle mass and distribution in 468 men and women aged 18–88 yr. J. Appl. Physiol. 2000, 89, 81–88. [Google Scholar] [CrossRef] [PubMed]
- Miller, A.E.J.; MacDougall, J.; Tarnopolsky, M.; Sale, D. Gender differences in strength and muscle fiber characteristics. Eur. J. Appl. Physiol. 1993, 66, 254–262. [Google Scholar] [CrossRef]
- Maughan, R.; Harmon, M.; Leiper, J.; Sale, D.; Delman, A. Endurance capacity of untrained males and females in isometric and dynamic muscular contractions. Eur. J. Appl. Physiol. 1986, 55, 395–400. [Google Scholar] [CrossRef]
- Hunter, S.K. Sex differences and mechanisms of task-specific muscle fatigue. Exerc. Sport Sci. Rev. 2009, 37, 113. [Google Scholar] [CrossRef]
- Simoneau, J.-A.; Bouchard, C. Human variation in skeletal muscle fiber-type proportion and enzyme activities. Am. J. Physiol. Endocr. Metabol. 1989, 257, E567–E572. [Google Scholar] [CrossRef]
- Wagner, L.L.; Evans, S.A.; Weir, J.P.; Housh, T.J.; Johnson, G.O. The effect of grip width on bench press performance. J. Appl. Biomech. 1992, 8, 1–10. [Google Scholar] [CrossRef]
- Hoeger, W.W.; Hopkins, D.R.; Barette, S.L.; Hale, D.F. Relationship between Repetitions and Selected Percentages of One Repetition Maximum: A Comparison between. J. Appl. Sport Sci. Res. 1990, 4, 48. [Google Scholar]
- Haff, G.G.; Triplett, N.T. Essentials of Strength Training and Conditioning, 4th ed.; Human Kinet: Champaign, IL, USA, 2015. [Google Scholar]
- Bishop, P.; Cureton, K.; Collins, M. Sex difference in muscular strength in equally-trained men and women. Ergonomics 1987, 30, 675–687. [Google Scholar] [CrossRef] [PubMed]
- Zourdos, M.C.; Klemp, A.; Dolan, C.; Quiles, J.M.; Schau, K.A.; Jo, E.; Helms, E.; Esgro, B.; Duncan, S.; Merino, S.G. Novel resistance training–specific rating of perceived exertion scale measuring repetitions in reserve. J. Strength Cond. Res. 2016, 30, 267–275. [Google Scholar] [CrossRef] [PubMed]
- Roberts, B.M.; Nuckols, G.; Krieger, J.W. Sex differences in resistance training: A systematic review and meta-analysis. J. Strength Cond. Res. 2020, 34, 1448–1460. [Google Scholar] [CrossRef] [PubMed]
- Gomo, O.; Van Den Tillaar, R. The effects of grip width on sticking region in bench press. J. Sports Sci. 2016, 34, 232–238. [Google Scholar] [CrossRef] [PubMed]
- Koo, T.K.; Li, M.Y. A Guideline of Selecting and Reporting Intraclass Correlation Coefficients for Reliability Research. J. Chiroprac. Med. 2016, 15, 155–163. [Google Scholar] [CrossRef]
- Cohen, J. Statistical Power Analysis for the Behaviour Sciences (Revised Edition); Routledge: New York, USA, 1988; p. 74. [Google Scholar]
- Sawilowsky, S.S. New effect size rules of thumb. J. Mod. Appl. Stat. Methods 2009, 8, 597–599. [Google Scholar] [CrossRef]
- Soper, D.S. Significance of the Difference between Two Correlations Calculator. Available online: https://www.danielsoper.com/statcalc (accessed on 18 November 2022).
- Ferland, P.-M.; Pollock, A.; Swope, R.; Ryan, M.; Reeder, M.; Heumann, K.; Comtois, A.S. The relationship between physical characteristics and maximal strength in men practicing the back squat, the bench press and the deadlift. Int. J. Exerc. Sci. 2020, 13, 281. [Google Scholar]
- Latella, C.; Van den Hoek, D.; Teo, W.-P. Factors affecting powerlifting performance: An analysis of age-and weight-based determinants of relative strength. Int. J. Perf. Anal. Sport 2018, 18, 532–544. [Google Scholar] [CrossRef]
- Brechue, W.F.; Abe, T. The role of FFM accumulation and skeletal muscle architecture in powerlifting performance. Eur. J. Appl. Physiol. 2002, 86, 327–336. [Google Scholar] [CrossRef]
- Jones, E.J.; Bishop, P.A.; Woods, A.K.; Green, J.M. Cross-sectional area and muscular strength. Sports Med. 2008, 38, 987–994. [Google Scholar] [CrossRef]
- Johansson, T. Gendered spaces: The gym culture and the construction of gender. Young 1996, 4, 32–47. [Google Scholar] [CrossRef]
- Zach, S.; Adiv, T. Strength training in males and females: –Motives, training habits, knowledge, and stereotypic perceptions. Sex Roles 2016, 74, 323–334. [Google Scholar] [CrossRef]
- Vasudevan, A.; Ford, E. Motivational Factors and Barriers Towards Initiating and Maintaining Strength Training in Women: A Systematic Review and Meta-synthesis. Prev. Sci. 2021, 23, 674–695. [Google Scholar] [CrossRef] [PubMed]
- Twamley, E.W. Gender, Exercise Motives, and Exercise Behavior; Arizona State University: Tempe, AZ, USA, 2000. [Google Scholar]
- Vaara, J.P.; Kyröläinen, H.; Niemi, J.; Ohrankämmen, O.; Häkkinen, A.; Kocay, S.; Häkkinen, K. Associations of maximal strength and muscular endurance test scores with cardiorespiratory fitness and body composition. J. Strength Cond. Res. 2012, 26, 2078–2086. [Google Scholar] [CrossRef] [PubMed]



| Males (n = 19) | Females (n = 17) | Difference (%) | Effect Size (d) | |
|---|---|---|---|---|
| Age (years) | 24.3 ±3.5 | 22.1 ± 3 | 9.3 | 0.70 |
| Height (cm) | 182 ± 7.3 | 166.1 ± 3.7 | 8.7 * | 2.87 |
| Body mass (kg) | 87.1 ± 13.3 | 65.5 ± 5.6 | 24.8 * | 2.29 |
| Training years (n of years) | 4.2 ± 2.5 | 4.7 ± 2.3 | 10.8 | 0.21 |
| Lean mass (kg) | 67.4 ± 6.1 | 46.3 ± 3.6 | 31.3 * | 4.35 |
| Fat percentage (%) | 17.3 ± 6 | 25.1 ± 6 | 31.1 * | 1.30 |
| Upper arm length (cm) | 33.5 ± 3.2 | 30.7 ± 30.4 | 8.6 * | 0.87 |
| Lower arm length (cm) | 28.9 ± 6.7 | 25.1 ± 1.6 | 13.4 * | 0.93 |
| Thigh length (cm) | 42.4 ± 2.4 | 38.9 ± 3.2 | 8.3 * | 1.28 |
| Shank length (cm) | 43.9 ± 2.6 | 39.7 ± 1.7 | 9.6 * | 1.97 |
| 1-RM bench press (kg) | 110.7 ± 24.3 | 54.6 ± 10 | 50.7 * | 3.27 |
| AMRAP bench press (n) | 17.7 ± 2.6 | 20.9 ± 3.5 | 15.6 * | 1.06 |
| Relative strength bench press | 1.3 ± 0.2 | 0.8 ± 0.2 | 34.8 * | 2.25 |
| 1-RM squat (kg) | 146 ± 34.9 | 88.6 ± 17.3 | 39.3 * | 2.20 |
| AMRAP squat (n) | 18.4 ± 3.2 | 21.4 ± 5.8 | 14.2 | 0.68 |
| Relative strength squat | 1.7 ± 0.3 | 1.4 ± 0.3 | 19.2 * | 1.14 |
| All Participants | |||||||
|---|---|---|---|---|---|---|---|
| Bench Press | Barbell Back Squat | ||||||
| 1-RM | AMRAP | Relative Strength | 1-RM | AMRAP | Relative Strength | ||
| Lean mass | 0.86 * | −0.25 | 0.72 * | Lean mass | 0.81 * | −0.23 | 0.42 |
| Fat percentage | −0.49 * | 0.34 | 0.52 * | Fat percentage | −0.25 | −0.10 | −0.41 * |
| Body height | 0.75 * | −0.36 | 0.55 * | Body height | 0.66 * | −0.41 * | 0.24 |
| Grip width/height | 0.06 | 0.39 | 0.52 | Stance width/height | 0.15 | −0.41 * | −0.03 |
| Upper arm length | 0.21 | −0.02 | 0.06 | Thigh length | 0.46 * | −0.18 | 0.19 |
| Lower arm length | 0.40 * | 0.01 | 0.11 | Shank length | 0.64 * | −0.26 | 0.43 * |
| Males | |||||||
| 1-RM | AMRAP | Relative Strength | 1-RM | AMRAP | Relative Strength | ||
| Lean mass | 0.29 | 0.03 | −0.21 † | Lean mass | 0.46 | −0.27 † | −0.01 |
| Fat percentage | 0.82 *† | 0.07 | 0.49 † | Fat percentage | 0.61 *† | 0.08 | 0.22 † |
| Body height | −0.16 | 0.06 | −0.59 * | Body height | 0.09 | −0.50 | −0.42 |
| Grip width/height | 0.04 | 0.14 | 0.07 | Stance width/height | −0.01 | 0.21 | 0.09 |
| Upper arm length | −0.42 | −0.18 | −0.41 | Thigh length | 0.33 | −0.67 *† | 0.07 |
| Lower arm length | −0.04 | 0.28 | −0.22 | Shank length | 0.23 | −0.48 | −0.16 |
| Females | |||||||
| 1-RM | AMRAP | Relative Strength | 1-RM | AMRAP | Relative Strength | ||
| Lean mass | 0.75 * | 0.49 | 0.52 † | Lean mass | 0.57 * | 0.58 † | 0.39 |
| Fat percentage | −0.47 † | 0.13 | −0.74 *† | Fat percentage | −0.55 † | −0.60 * | −0.67 *† |
| Body height | 0.28 | 0.27 | −0.08 | Body height | −0.05 | −0.07 | −0.17 |
| Grip width/height | 0.48 | 0.59 * | 0.43 | Stance width/height | −0.47 | 0.02 | −0.53 |
| Upper arm length | −0.09 | 0.36 | −0.24 | Thigh length | 0.03 | 0.06 † | 0.19 |
| Lower arm length | 0.14 | 0.37 | −0.23 | Shank length | 0.33 | 0.14 | 0.32 |
Disclaimer/Publisher’s Note: The statements, opinions and data contained in all publications are solely those of the individual author(s) and contributor(s) and not of MDPI and/or the editor(s). MDPI and/or the editor(s) disclaim responsibility for any injury to people or property resulting from any ideas, methods, instructions or products referred to in the content. |
© 2023 by the authors. Licensee MDPI, Basel, Switzerland. This article is an open access article distributed under the terms and conditions of the Creative Commons Attribution (CC BY) license (https://creativecommons.org/licenses/by/4.0/).
Share and Cite
Falch, H.N.; Haugen, M.E.; Larsen, S.; van den Tillaar, R. Association of Strength Performance in Bench Press and Squat with Anthropometric Variables between Resistance-Trained Males and Females. J. Funct. Morphol. Kinesiol. 2023, 8, 19. https://doi.org/10.3390/jfmk8010019
Falch HN, Haugen ME, Larsen S, van den Tillaar R. Association of Strength Performance in Bench Press and Squat with Anthropometric Variables between Resistance-Trained Males and Females. Journal of Functional Morphology and Kinesiology. 2023; 8(1):19. https://doi.org/10.3390/jfmk8010019
Chicago/Turabian StyleFalch, Hallvard Nygaard, Markus Estifanos Haugen, Stian Larsen, and Roland van den Tillaar. 2023. "Association of Strength Performance in Bench Press and Squat with Anthropometric Variables between Resistance-Trained Males and Females" Journal of Functional Morphology and Kinesiology 8, no. 1: 19. https://doi.org/10.3390/jfmk8010019
APA StyleFalch, H. N., Haugen, M. E., Larsen, S., & van den Tillaar, R. (2023). Association of Strength Performance in Bench Press and Squat with Anthropometric Variables between Resistance-Trained Males and Females. Journal of Functional Morphology and Kinesiology, 8(1), 19. https://doi.org/10.3390/jfmk8010019

