Relationships between Workload, Heart Rate Variability, and Performance in a Recreational Endurance Runner
Abstract
1. Introduction
2. Materials and Methods
3. Results
4. Discussion
5. Conclusions and Practical Applications
Author Contributions
Funding
Institutional Review Board Statement
Informed Consent Statement
Data Availability Statement
Acknowledgments
Conflicts of Interest
References
- Boullosa, D.; Esteve-Lanao, J.; Casado, A.; Peyré-Tartaruga, L.A.; Da Rosa, R.G.; Del Coso, J. Factors Affecting Training and Physical Performance in Recreational Endurance Runners. Sports 2020, 8, 35. [Google Scholar] [CrossRef] [PubMed]
- Vesterinen, V.; Hakkinen, K.; Laine, T.; Hynynen, E.; Mikkola, J.; Nummela, A.T. Predictors of individual adaptation to high-volume or high-intensity endurance training in recreational endurance runners. Scand. J. Med. Sci. Sports 2016, 26, 885–893. [Google Scholar] [CrossRef] [PubMed]
- Kiviniemi, A.M.; Hautala, A.J.; Kinnunen, H.; Tulppo, M.P. Endurance training guided individually by daily heart rate variability measurements. Graefe’s Arch. Clin. Exp. Ophthalmol. 2007, 101, 743–751. [Google Scholar] [CrossRef] [PubMed]
- Buchheit, M.; Chivot, A.; Parouty, J.; Mercier, D.; Al Haddad, H.; Laursen, P.B.; Ahmaidi, S. Monitoring endurance running performance using cardiac parasympathetic function. Eur. J. Appl. Physiol. 2010, 108, 1153–1167. [Google Scholar] [CrossRef] [PubMed]
- Plews, D.J.; Laursen, P.B.; Buchheit, M. Day-to-day heart-rate variability recordings in world-champion rowers: Appreciating unique athlete characteristics. Int. J. Sports Physiol. Perform. 2017, 12, 697–703. [Google Scholar] [CrossRef] [PubMed]
- Flatt, A.A.; Esco, M.R. Endurance Performance Relates to resting heart rate and its variability: A Case Study of a Collegiate Male Cross-country Athlete. J. Aust. Strength Cond. 2014, 22, 39–45. [Google Scholar]
- Stanley, J.; D’Auria, S.; Buchheit, M. Cardiac Parasympathetic Activity and Race Performance: An Elite Triathlete Case Study. Int. J. Sports Physiol. Perform. 2015, 10, 528–534. [Google Scholar] [CrossRef]
- Manzi, V.; Castagna, C.; Padua, E.; Lombardo, M.; D’Ottavio, S.; Massaro, M.; Volterrani, M.; Iellamo, F. Dose-response relationship of autonomic nervous system responses to individualized training impulse in marathon runners. Am. J. Physiol. Circ. Physiol. 2009, 296, H1733–H1740. [Google Scholar] [CrossRef]
- Boullosa, D.; Foster, C. “Evolutionary” based periodization in a recreational runner. Sport Perform. Sci. Rep. 2018, 1, 36. [Google Scholar]
- Foster, C. Monitoring training in athletes with reference to overtraining syndrome. Med. Sci. Sports Exerc. 1998, 30, 1164–1168. [Google Scholar] [CrossRef]
- Hopkins, W.G. How to Interpret Changes in an Athletic Performance Test. Sportscience 2004, 8, 1–7. [Google Scholar]
- Medeiros, A.R.; Michael, S.; Boullosa, D.A. Make it easier! Evaluation of the ‘vagal-sympathetic effect’ in different conditions with R–R intervals monitoring. Eur. J. Appl. Physiol. 2018, 118, 1287–1288. [Google Scholar] [CrossRef]
- Paquette, M.R.; Napier, C.; Willy, R.W.; Stellingwerff, T. Moving Beyond Weekly “Distance”: Optimizing Quantification of Training Load in Runners. J. Orthop. Sports Phys. Ther. 2020, 50, 564–569. [Google Scholar] [CrossRef]
- Foster, C.; Boullosa, D.; McGuigan, M.; Fusco, A.; Cortis, C.; Arney, B.E.; Orton, B.; Dodge, C.; Jaime, S.; Radtke, K.; et al. 25 Years of Session Rating of Perceived Exertion: Historical Perspective and Development. Int. J. Sports Physiol. Perform. 2020, 1–10. [Google Scholar] [CrossRef]
- Myles, W.S. Sleep deprivation, physical fatigue, and the perception of exercise intensity. Med. Sci. Sports Exerc. 1985, 17, 580–584. [Google Scholar] [CrossRef]
- Burke, L.M.; Hawley, J.A.; Jeukendrup, A.; Morton, J.P.; Stellingwer, T.; Maughan, R.J. Toward a Common Under-standing of Diet-Exercise Strategies to Manipulate Fuel Availability for Training and Competition Preparation in Endurance Sport. Int. J. Sport Nutr. Exerc. Metab. 2018, 28, 451–463. [Google Scholar] [CrossRef]
- Hautala, A.; Martinmaki, K.; Kiviniemi, A.; Kinnunen, H.; Virtanen, P.; Jaatinen, J.; Tulppo, M. Effects of habitual physical activity on response to endurance training. J. Sports Sci. 2012, 30, 563–569. [Google Scholar] [CrossRef]
- Da Silva, D.F.; Ferraro, Z.M.; Adamo, K.B.; Machado, F.A. Endurance Running Training Individually Guided by HRV in Untrained Women. J. Strength Cond. Res. 2019, 33, 736–746. [Google Scholar] [CrossRef]
- Medeiros, A.R.; Leicht, A.S.; Michael, S.; Boullosa, D. Weekly vagal modulations and their associations with physical fit-ness and physical activity. Eur. J. Sport Sci. 2020. Online Ahead of Print. [Google Scholar] [CrossRef]
- Boullosa, D.A.; Abreu, L.; Nakamura, F.Y.; Muñoz, V.E.; Domínguez, E.; Leicht, A.S. Cardiac Autonomic Adaptations in Elite Spanish Soccer Players During Preseason. Int. J. Sports Physiol. Perform. 2013, 8, 400–409. [Google Scholar] [CrossRef]
- Perrotta, A.S.; Jeklin, A.T.; Hives, B.A.; Meanwell, L.E.; Warburton, D.E. Validity of the Elite HRV Smartphone Application for Examining Heart Rate Variability in a Field-Based Setting. J. Strength Cond. Res. 2017, 31, 2296–2302. [Google Scholar] [CrossRef] [PubMed]
- Altini, M.; Amft, O. HRV4Training: Large-scale longitudinal training load analysis in unconstrained free-living settings using a smartphone application. In Proceedings of the 38th Annual International Conference of the IEEE Engineering in Medicine and Biology Society (EMBC), Orlando, FL, USA, 16–20 August 2016; Volume 2016, pp. 2610–2613. [Google Scholar] [CrossRef]
- Pereira, R.D.A.; Alves, J.L.D.B.; Silva, J.H.D.C.; Costa, M.D.S.; Silva, A.S. Validity of a Smartphone Application and Chest Strap for Recording RR Intervals at Rest in Athletes. Int. J. Sports Physiol. Perform. 2020, 15, 896–899. [Google Scholar] [CrossRef] [PubMed]

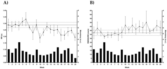
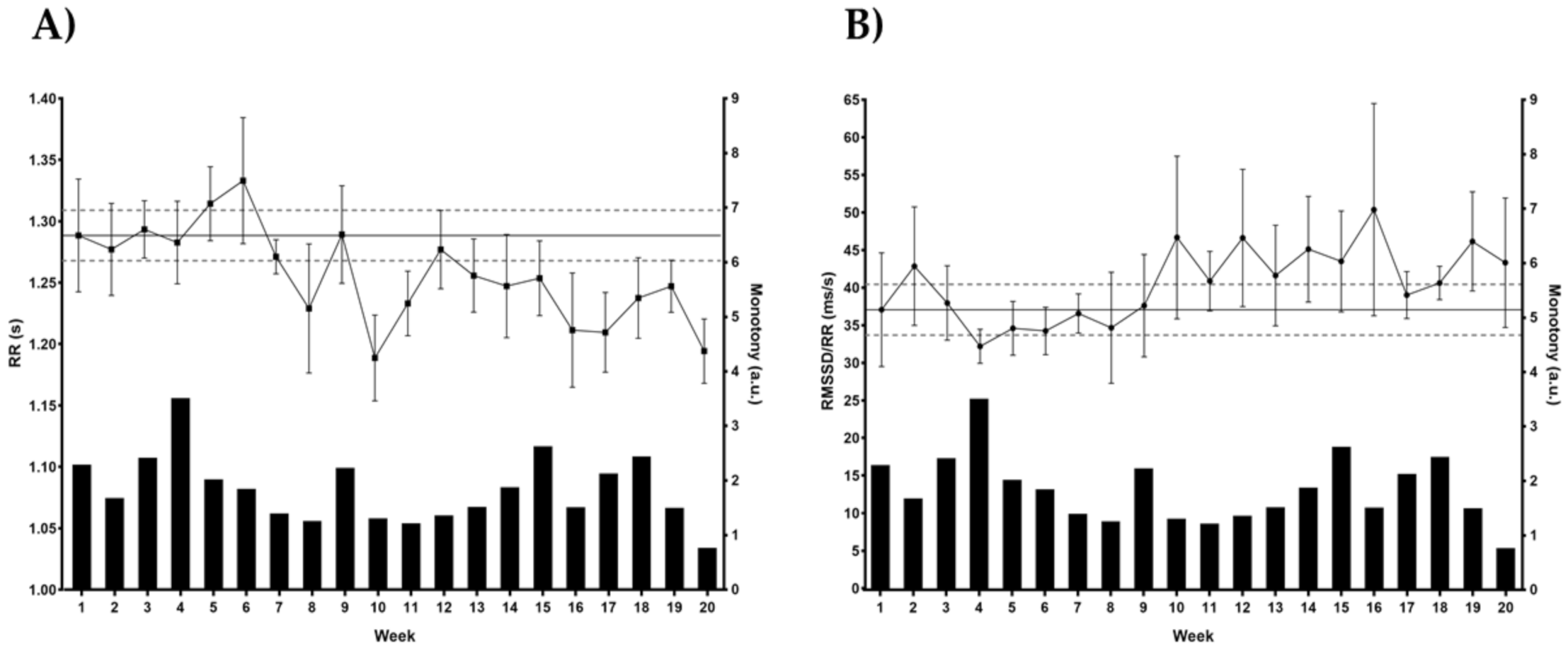
| Week | Distance (km) | Training Load (sRPE × Time) | Monotony | RMSSD (ms) | RMSSDcv (%) | RR (s) | RMSSD/RR (ms/s) | Running Performances |
|---|---|---|---|---|---|---|---|---|
| 1 | 68 | 344 | 2.29 | 47.75 | 34.82 | 1.29 | 37.06 | |
| 2 | 55 | 275 | 1.68 | 54.73 | 34.22 | 1.28 | 42.85 | |
| 3 | 75 | 478 | 2.42 | 49.09 | 21.73 | 1.29 | 37.95 | |
| 4 | 83 | 512 | 3.51 | 41.29 | 14.74 | 1.28 | 32.19 | |
| 5 | 77 | 473 | 2.02 | 45.46 | 17.53 | 1.31 | 34.59 | |
| 6 | 65 | 299 | 1.85 | 45.64 | 20.36 | 1.33 | 34.23 | 41:58 (10-km) |
| 7 | 77 | 623 | 1.40 | 46.47 | 12.63 | 1.27 | 36.56 | |
| 8 | 64 | 462 | 1.26 | 42.60 | 40.70 | 1.23 | 34.66 | |
| 9 | 82 | 509 | 2.23 | 48.48 | 34.19 | 1.29 | 37.60 | |
| 10 | 65 | 319 | 1.31 | 55.48 | 39.73 | 1.19 | 46.67 | 1:28:25 (21-km) |
| 11 | 53 | 262 | 1.22 | 50.39 | 15.26 | 1.23 | 40.87 | |
| 12 | 55 | 381 | 1.36 | 59.52 | 34.60 | 1.28 | 46.61 | 39:56 (10-km) |
| 13 | 52 | 363 | 1.52 | 52.26 | 28.21 | 1.26 | 41.61 | |
| 14 | 93 | 531 | 1.88 | 56.27 | 27.12 | 1.25 | 45.11 | |
| 15 | 70 | 522 | 2.63 | 54.53 | 25.64 | 1.25 | 43.49 | |
| 16 | 63 | 395 | 1.51 | 61.02 | 52.34 | 1.21 | 50.37 | 1:26:45 (21-km) |
| 17 | 55 | 257 | 2.13 | 47.19 | 16.22 | 1.21 | 39.02 | |
| 18 | 84 | 560 | 2.44 | 50.27 | 12.37 | 1.24 | 40.62 | |
| 19 | 47 | 400 | 1.50 | 57.55 | 23.94 | 1.25 | 46.15 | |
| 20 | 61 | 212 | 0.77 | 51.73 | 33.42 | 1.19 | 43.31 | 1:26:33 (21-km) |
| M1 | M2 | t-Test (p) | Cohen’s d | |
|---|---|---|---|---|
| RMSSD (ms) | 47.7 (4.60) | 54.1 (4.46) | 0.006 | −1.407 |
| RMSSDcv (%) | 27.1 (10.7) | 26.9 (11.6) | 0.976 | 0.014 |
| RR (s) | 1.28 (0.041) | 1.24 (0.025) | 0.017 | 1.207 |
| RMSSD/RR (ms/s) | 37.44 (4.34) | 43.72 (3.41) | 0.002 | −1.620 |
| Distance (km) | 71.1 (9.06) | 63.3 (14.90) | 0.174 | 0.651 |
| Training load (a.u.) | 429 (114) | 388 (121) | 0.444 | 0.350 |
| Monotony (a.u.) | 2.00 (0.67) | 1.69 (0.57) | 0.296 | 0.483 |
Publisher’s Note: MDPI stays neutral with regard to jurisdictional claims in published maps and institutional affiliations. |
© 2021 by the authors. Licensee MDPI, Basel, Switzerland. This article is an open access article distributed under the terms and conditions of the Creative Commons Attribution (CC BY) license (http://creativecommons.org/licenses/by/4.0/).
Share and Cite
Boullosa, D.; Medeiros, A.R.; Flatt, A.A.; Esco, M.R.; Nakamura, F.Y.; Foster, C. Relationships between Workload, Heart Rate Variability, and Performance in a Recreational Endurance Runner. J. Funct. Morphol. Kinesiol. 2021, 6, 30. https://doi.org/10.3390/jfmk6010030
Boullosa D, Medeiros AR, Flatt AA, Esco MR, Nakamura FY, Foster C. Relationships between Workload, Heart Rate Variability, and Performance in a Recreational Endurance Runner. Journal of Functional Morphology and Kinesiology. 2021; 6(1):30. https://doi.org/10.3390/jfmk6010030
Chicago/Turabian StyleBoullosa, Daniel, André R. Medeiros, Andrew A. Flatt, Michael R. Esco, Fabio Y. Nakamura, and Carl Foster. 2021. "Relationships between Workload, Heart Rate Variability, and Performance in a Recreational Endurance Runner" Journal of Functional Morphology and Kinesiology 6, no. 1: 30. https://doi.org/10.3390/jfmk6010030
APA StyleBoullosa, D., Medeiros, A. R., Flatt, A. A., Esco, M. R., Nakamura, F. Y., & Foster, C. (2021). Relationships between Workload, Heart Rate Variability, and Performance in a Recreational Endurance Runner. Journal of Functional Morphology and Kinesiology, 6(1), 30. https://doi.org/10.3390/jfmk6010030

