Joint Mobility Protection during the Developmental Age among Free Climbing Practitioners: A Pilot Study
Abstract
1. Introduction
2. Materials and Methods
2.1. Subjects
2.2. Methodology
2.3. Training Regime
2.4. Statistical Analysis
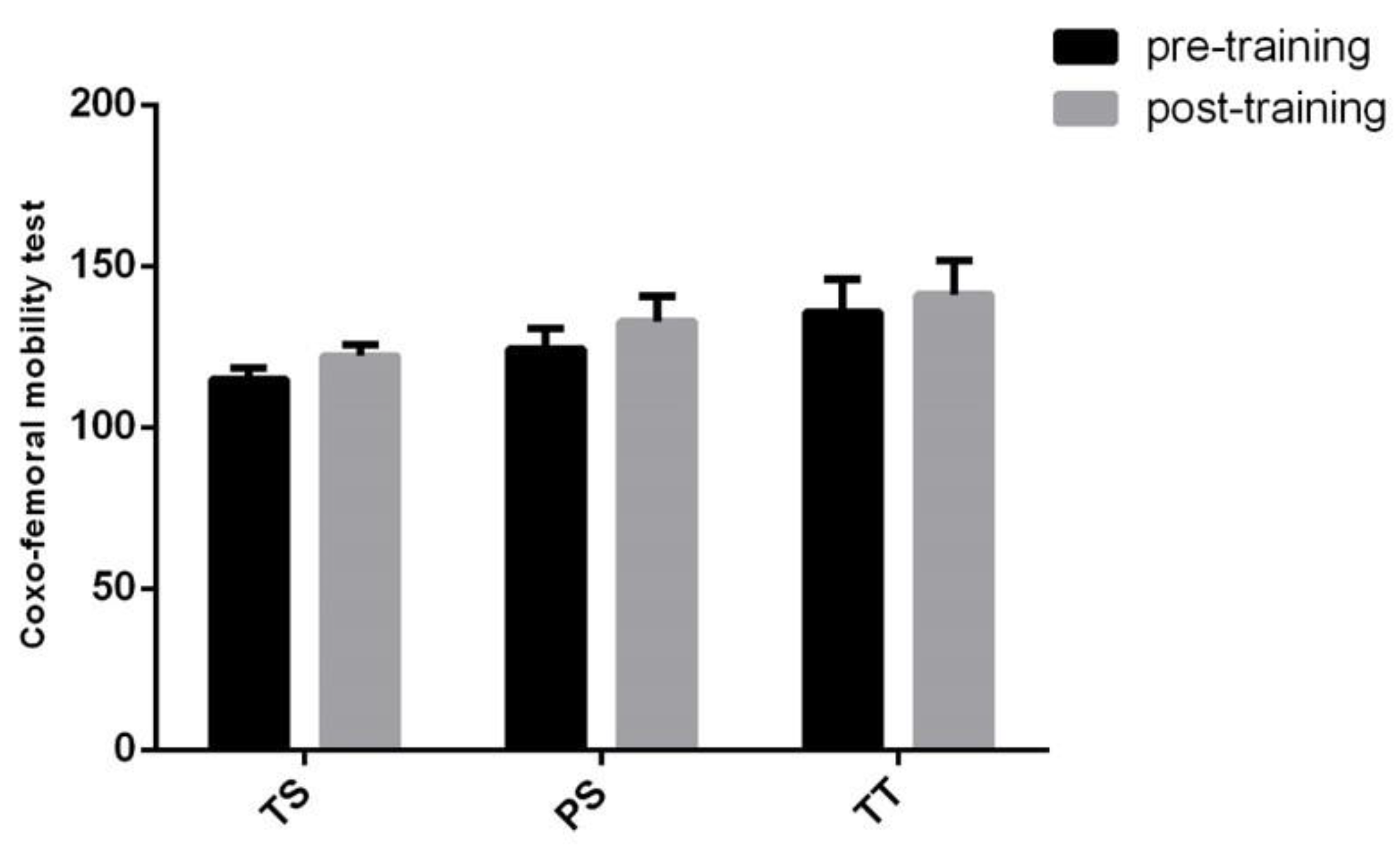
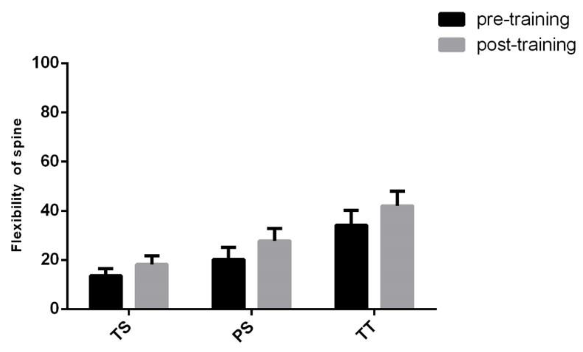
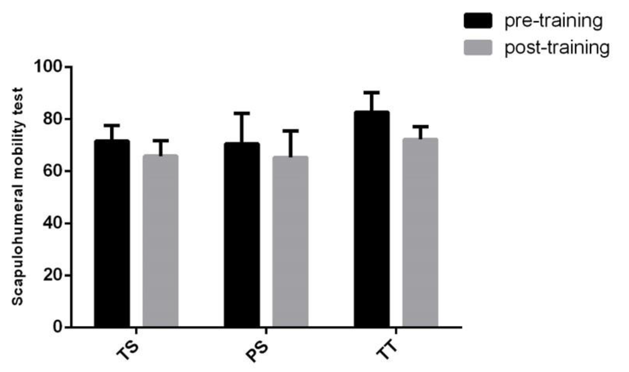
3. Results
4. Discussion
5. Conclusions
Author Contributions
Funding
Conflicts of Interest
References
- Available online: https://www.ifsc-climbing.org/index.php (accessed on 29 July 2019).
- Available online: https://tokyo2020.org/en/ (accessed on 29 July 2019).
- Available online: https://www.ifsc-climbing.org/ (accessed on 29 July 2019).
- Michailov, M.L.; Baláš, J.; Tanev, S.K.; Andonov, H.S.; Kodejška, J.; Brown, L. Reliability and Validity of Finger Strength and Endurance Measurements in Rock Climbing. Res. Q. Exerc. Sport 2018, 89, 246–254. [Google Scholar] [CrossRef] [PubMed]
- Baláš, J.; Pecha, O.; Martin, A.J.; Cochrane, D. Hand–arm strength and endurance as predictors of climbing performance. Eur. J. Sport Sci. 2012, 12, 16–25. [Google Scholar] [CrossRef]
- Li, L.; Ru, A.; Liao, T.; Zou, S.; Niu, X.H.; Wang, Y.T. Effects of Rock Climbing Exercise on Physical Fitness among College Students: A Review Article and Meta-analysis. Iran. J. Public Health 2018, 47, 1440–1452. [Google Scholar] [CrossRef]
- Voelcker-Rehage, C.; Godde, B.; Staudinger, U.M. Cardiovascular and Coordination Training Differentially Improve Cognitive Performance and Neural Processing in Older Adults. Front. Hum. Neurosci. 2011, 5, 1–12. [Google Scholar] [CrossRef] [PubMed]
- Kleinstäuber, M.; Reuter, M.; Doll, N.; Fallgatter, A.J. Rock climbing and acute emotion regulation in patients with major depressive disorder in the context of a psychological inpatient treatment: A controlled pilot trial. Psychol. Res. Behav. Manag. 2017, 10, 277–281. [Google Scholar] [CrossRef] [PubMed]
- Lutter, C.; El-Sheikh, Y.; Schöffl, I.; Schöffl, V. Sport climbing: Medical considerations for this new Olympic discipline. Br. J. Sports Med. 2017, 51, 2–3. [Google Scholar] [CrossRef] [PubMed]
- Quaine, F.; Vigouroux, L.; Martin, L. Effect of simulated rock climbing finger postures on force sharing among the fingers. Clin. Biomech 2003, 18, 385–388. [Google Scholar] [CrossRef]
- Roloff, I.; Schöffl, V.R.; Vigouroux, L.; Quaine, F. Biomechanical model for the determination of the forces acting on the finger pulley system. J. Biomech. 2006, 39, 915–923. [Google Scholar] [CrossRef]
- Vigouroux, L.; Quaine, F. Fingertip force and electromyography of finger flexor muscles during a prolonged intermittent exercise in elite climbers and sedentary individuals. J. Sports Sci. 2006, 24, 181–186. [Google Scholar] [CrossRef]
- Schöffl, V.; Einwag, F.; Strecker, W.; Schöffl, I. Strength measurement after conservatively treated pulley ruptures in climbers. Med. Sci. Sports Exerc. 2006, 38, 637–643. [Google Scholar] [CrossRef] [PubMed]
- Schöffl, I.; Einwag, F.; Strecker, W.; Hennig, F.; Schöffl, V. Impact of taping after finger flexor tendon pulley ruptures in rock climbers. J. Appl. Biomech. 2007, 23, 52–62. [Google Scholar] [CrossRef] [PubMed]
- Morrison, A.B.; Schöffl, V.R. Physiological responses to rock climbing in young climbers. Br. J. Sports Med. 2007, 41, 852–861. [Google Scholar] [CrossRef] [PubMed]
- Timmons, B.W.; Leblanc, A.G.; Carson, V.; Connor Gorber, S.; Dillman, C.; Janssen, I.; Kho, M.E.; Spence, J.C.; Stearns, J.A.; Tremblay, M.S. Systematic review of physical activity and health in the early years (aged 0–4 years). Appl. Physiol. Nutr. Metab. 2012, 37, 773–792. [Google Scholar]
- Janssen, I.; Roberts, K.C.; Thompson, W. Is adherence to the Canadian 24-Hour Movement Behaviour Guidelines for Children and Youth associated with improved indicators of physical, mental, and social health? Appl. Physiol. Nutr. Metab. 2017, 42, 725–731. [Google Scholar] [CrossRef] [PubMed]
- Malm, C.; Jakobsson, J.; Isaksson, A. Physical Activity and Sports—Real Health Benefits: A Review with Insight into the Public Health of Sweden. Sports 2019, 7, 127. [Google Scholar] [CrossRef] [PubMed]
- Iwame, T.; Matsuura, T.; Suzue, N.; Iwase, J.; Uemura, H.; Sairyo, K. Factors Associated With Knee Pain and Heel Pain in Youth Soccer Players Aged 8 to 12 Years. Orthopaedic J. Sports Med. 2019, 7, 2325967119883370. [Google Scholar] [CrossRef]
- Schöffl, V.; Lutter, C.; Woollings, K.; Schöffl, I. Pediatric and adolescent injury in rock climbing. Res. Sport. Med. 2018, 26, 91–113. [Google Scholar] [CrossRef]
- Garcia, K.; Jaramillo, D.; Rubesova, E. Ultrasound evaluation of stress injuries and physiological adaptations in the fingers of adolescent competitive rock climbers. Pediatr. Radiol. 2018, 48, 366–373. [Google Scholar] [CrossRef]
- Roseborrough, A.; Lebec, M. Differences in static scapular position between rock climbers and a non-rock climber population. N. Am. J. Sports Phys. Ther. 2007, 2, 44–50. [Google Scholar]
- Schöffl, V.R.; Hoffmann, P.M.; Imhoff, A.; Küpper, T.; Schöffl, I.; Hochholzer, T.; Hinterwimmer, S. Long-Term Radiographic Adaptations to Stress of High-Level and Recreational Rock Climbing in Former Adolescent Athletes: An 11-Year Prospective Longitudinal Study. Orthop. J. Sport. Med. 2018, 6, 1–9. [Google Scholar] [CrossRef]
- Nelson, C.E.; Rayan, G.M.; Judd, D.I.; Ding, K.; Stoner, J.A. Survey of Hand and Upper Extremity Injuries Among Rock Climbers. Hand 2017, 12, 389–394. [Google Scholar] [CrossRef] [PubMed]
- Turner, C.H.; Robling, A.G. Exercise as an anabolic stimulus for bone. Curr. Pharm. Des. 2004, 10, 2629–2641. [Google Scholar] [CrossRef]
- Watts, P.B. Physiology of difficult rock climbing. Eur. J. Appl. Physiol. 2004, 91, 361–372. [Google Scholar] [CrossRef]
- Anloague, P.A.; Spees, V.; Smith, J.; Herbenick, M.A.; Rubino, L.J. Glenohumeral range of motion and lower extremity flexibility in collegiate-level baseball players. Sports Health 2012, 4, 25–30. [Google Scholar] [CrossRef] [PubMed]
- Boone, D.C.; Azen, S.P.; Lin, C.M.; Spence, C.; Baron, C.; Lee, L. Reliability of goniometric measurements. Phys. Ther. 1978, 58, 1355–1360. [Google Scholar] [CrossRef] [PubMed]
- Sharma, J.P. Tests and Measurements in Physical Education; Khel Sahitya Kendra: New Delhi, Delhi, India, 2011; ISBN 8175243856. [Google Scholar]
- Mermier, C.M.; Janot, J.M.; Parker, D.L.; Swan, J.G. Physiological and anthropometric determinants of sport climbing performance. Br. J. Sports Med. 2000, 34, 359–366. [Google Scholar] [CrossRef] [PubMed]
- Mermier, C.M. Energy expenditure and physiological responses during indoor rock climbing. Br. J. Sports Med. 1997, 31, 224–228. [Google Scholar] [CrossRef]












| Characteristic | TURGOR SECUNDUS (Mean ± SEM) | PROCERITAS SECUNDA (Mean ± SEM) | TURGOR TERTIUS (Mean ± SEM) |
|---|---|---|---|
| Age | 8.80 ± 0.37 | 13.00 ± 0.45 | 16.60 ± 0.51 |
| Weight | 28.80 ± 1.46 | 49.00 ± 2.97 | 55.20 ± 3.61 |
| Height | 128.60 ± 1.81 | 160.00 ± 2.98 | 167.80 ± 3.44 |
| BMI | 17.46 ± 1.03 | 19.15 ± 1.08 | 19.53 ± 0.73 |
| PHASE | SCAPULO–HUMERAL JOINT (Mean ± SD) | COXO–FEMORAL JOINT (Mean ± SD) | SPINE (Mean ± SD) |
|---|---|---|---|
| TURGOR SECUNDIS | 8.19 ± 1.76 | 6.46 ± 0.74 | 35.95 ± 3.16 |
| PROCERITAS SECUNDA | 7.82 ± 1.08 | 8.58 ± 2.07 | 36.28 ± 4.15 |
| TURGOR TERTIUS | 11.85 ± 2.20 | 4.20 ± 1.18 | 27.97 ± 7.71 |
© 2020 by the authors. Licensee MDPI, Basel, Switzerland. This article is an open access article distributed under the terms and conditions of the Creative Commons Attribution (CC BY) license (http://creativecommons.org/licenses/by/4.0/).
Share and Cite
Gasbarro, L.; Padua, E.; Tancredi, V.; Annino, G.; Montorsi, M.; Maugeri, G.; D’Amico, A.G. Joint Mobility Protection during the Developmental Age among Free Climbing Practitioners: A Pilot Study. J. Funct. Morphol. Kinesiol. 2020, 5, 14. https://doi.org/10.3390/jfmk5010014
Gasbarro L, Padua E, Tancredi V, Annino G, Montorsi M, Maugeri G, D’Amico AG. Joint Mobility Protection during the Developmental Age among Free Climbing Practitioners: A Pilot Study. Journal of Functional Morphology and Kinesiology. 2020; 5(1):14. https://doi.org/10.3390/jfmk5010014
Chicago/Turabian StyleGasbarro, Ludovica, Elvira Padua, Virginia Tancredi, Giuseppe Annino, Michela Montorsi, Grazia Maugeri, and Agata Grazia D’Amico. 2020. "Joint Mobility Protection during the Developmental Age among Free Climbing Practitioners: A Pilot Study" Journal of Functional Morphology and Kinesiology 5, no. 1: 14. https://doi.org/10.3390/jfmk5010014
APA StyleGasbarro, L., Padua, E., Tancredi, V., Annino, G., Montorsi, M., Maugeri, G., & D’Amico, A. G. (2020). Joint Mobility Protection during the Developmental Age among Free Climbing Practitioners: A Pilot Study. Journal of Functional Morphology and Kinesiology, 5(1), 14. https://doi.org/10.3390/jfmk5010014

