Effects of Advanced Resistance Training Systems on Muscle Hypertrophy and Strength in Recreationally Trained Adults: A Systematic Review and Meta-Analysis
Abstract
1. Introduction
2. Materials and Methods
2.1. Selection Criteria
2.2. Literature Search
2.3. Data Collection
2.4. Statistical Analysis
3. Results
3.1. Study Selection
3.2. Study Characteristics
3.3. Intervention Characteristics
3.4. Outcome Measures
3.5. Risk of Bias
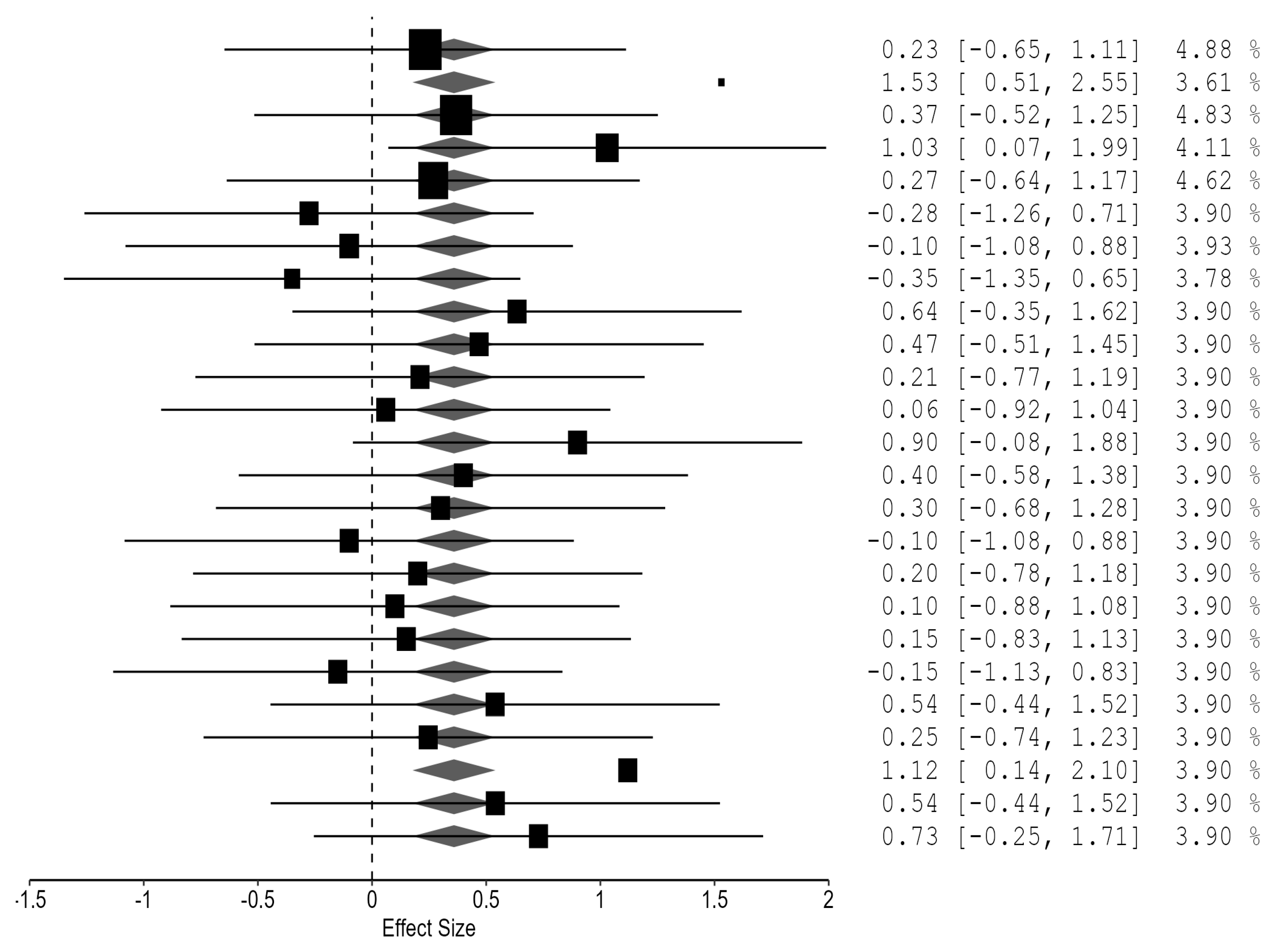
3.6. Overall Meta-Analysis (All Outcomes Combined)
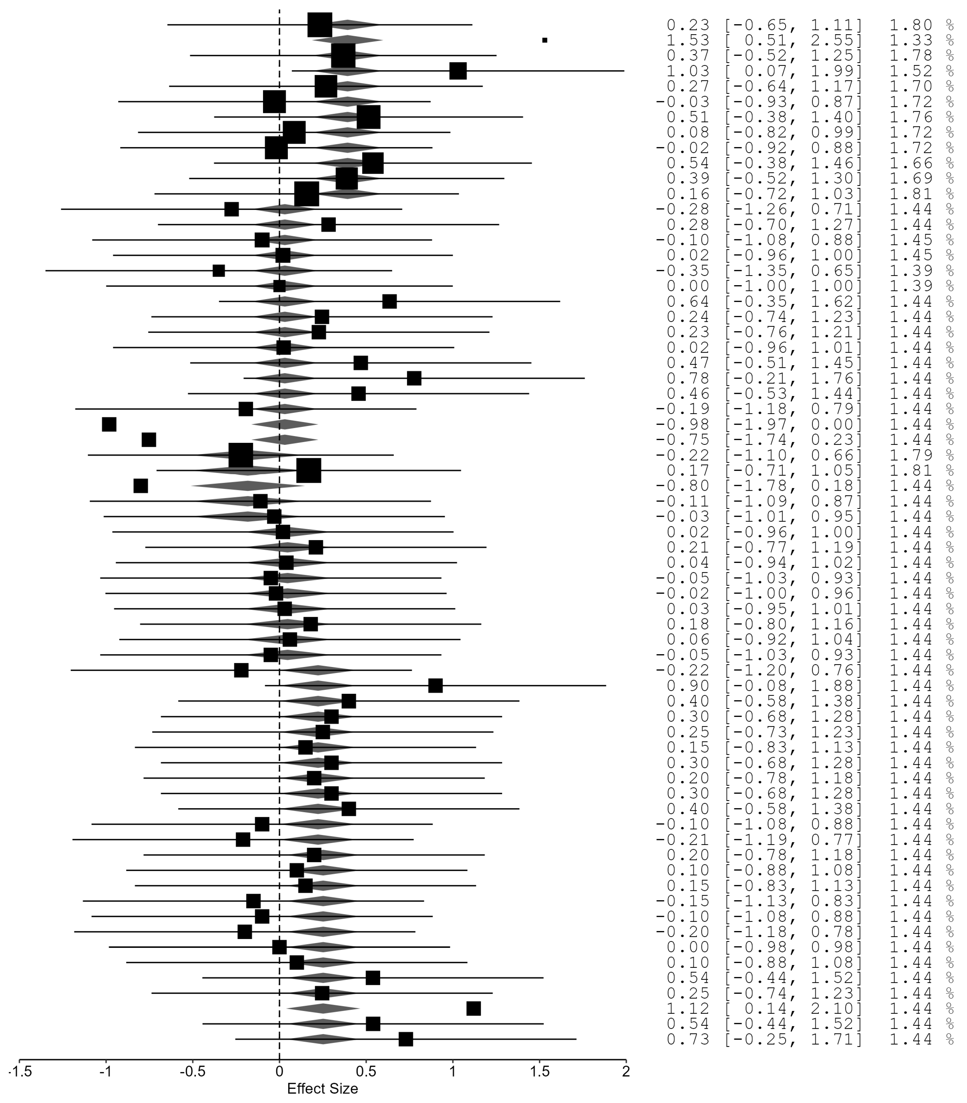
3.7. Strength Meta-Analysis
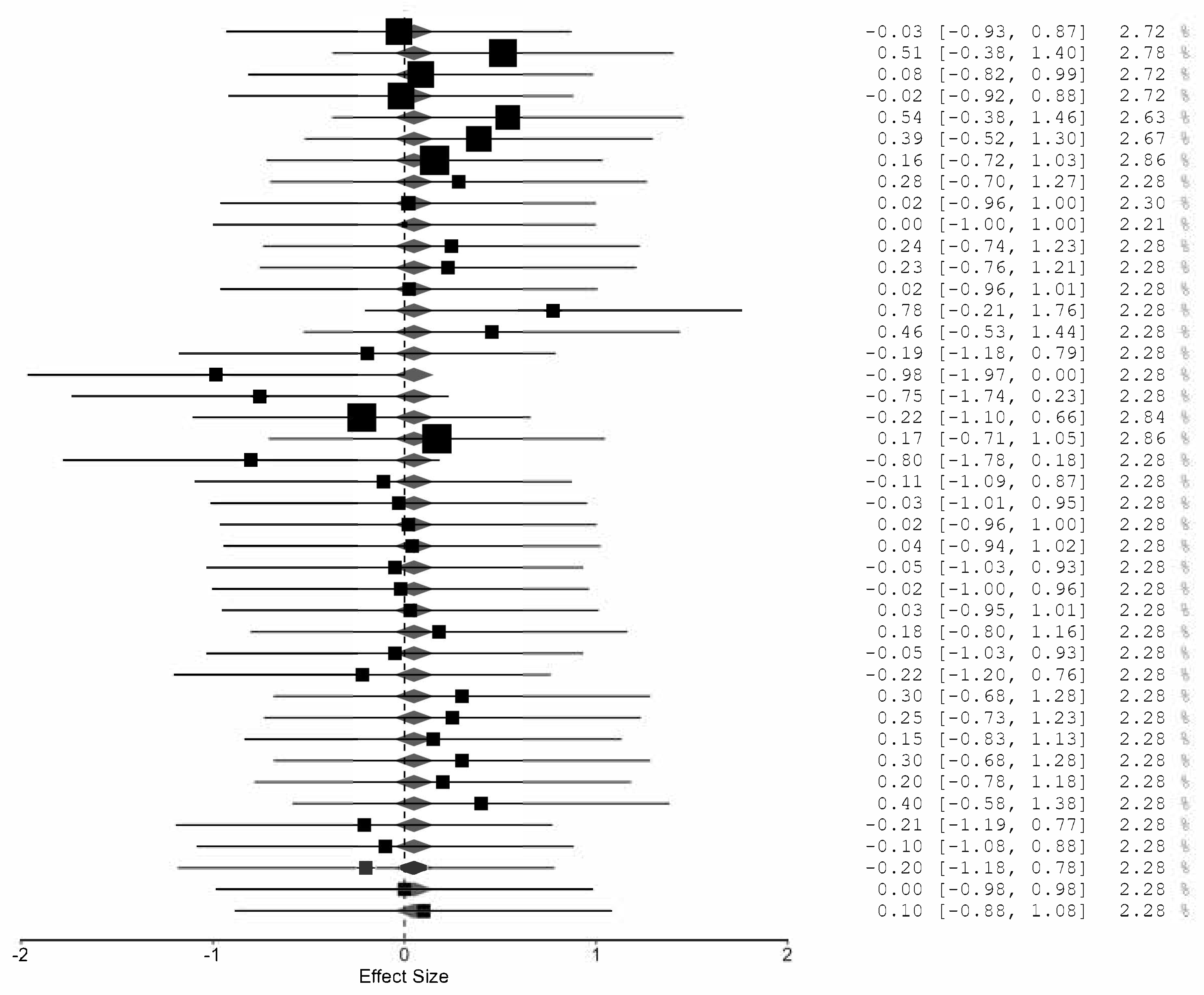
3.8. Hypertrophy Meta-Analysis
4. Discussion
4.1. Comparison with Previous Literature
4.2. Method-Specific Findings
4.3. Comparative Aggregate Effects Across Advanced Methods
4.4. Strength Versus Hypertrophy Adaptations
4.5. Methodological Considerations and Statistical Interpretation
4.6. Limitations
4.7. Practical Implications and Future Research Directions
5. Conclusions
Author Contributions
Funding
Institutional Review Board Statement
Informed Consent Statement
Data Availability Statement
Conflicts of Interest
Abbreviations
| RT | Resistance Training |
| RM | Repetition Maximum |
| 1RM | One Repetition Maximum |
| RCT | Randomized Controlled Trial |
| PRISMA | Preferred Reporting Items for Systematic Reviews and Meta-Analyses |
| ES | Effect Size |
| CI | Confidence Interval |
| SD | Standard Deviation |
| VL | Velocity Loss |
| VBT | Velocity-Based Training |
| DOMS | Delayed Onset Muscle Soreness |
| RoB | Risk of Bias |
| MD | Mean Difference |
| SMD | Standardized Mean Difference |
| g | Hedges’ g |
| τ2 | Between-study variance |
| Qe | Cochran’s Q statistic for residual heterogeneity |
| I2 | Inconsistency index |
References
- Ciolac, E.G.; Rodrigues-da-Silva, J.M. Resistance Training as a Tool for Preventing and Treating Musculoskeletal Disorders. Sport. Med. 2016, 46, 1239–1248. [Google Scholar] [CrossRef]
- Farup, J.; Kjølhede, T.; Sørensen, H.; Dalgas, U.; Møller, A.B.; Vestergaard, P.F.; Ringgaard, S.; Bojsen-Møller, J.; Vissing, K. Muscle Morphological and Strength Adaptations to Endurance Vs. Resistance Training. J. Strength Cond. Res. 2012, 26, 398–407. [Google Scholar] [CrossRef]
- Lim, C.; Nunes, E.A.; Currier, B.S.; Mcleod, J.C.; Thomas, A.C.Q.; Phillips, S.M. An Evidence-Based Narrative Review of Mechanisms of Resistance Exercise–Induced Human Skeletal Muscle Hypertrophy. Med. Sci. Sport. Exerc. 2022, 54, 1546–1559. [Google Scholar] [CrossRef]
- Westcott, W.L. Resistance Training Is Medicine. Curr. Sports Med. Rep. 2012, 11, 209–216. [Google Scholar] [CrossRef]
- Currier, B.S.; Mcleod, J.C.; Banfield, L.; Beyene, J.; Welton, N.J.; D’Souza, A.C.; Keogh, J.A.J.; Lin, L.; Coletta, G.; Yang, A.; et al. Resistance Training Prescription for Muscle Strength and Hypertrophy in Healthy Adults: A Systematic Review and Bayesian Network Meta-Analysis. Br. J. Sports Med. 2023, 57, 1211–1220. [Google Scholar] [CrossRef] [PubMed]
- Bernárdez-Vázquez, R.; Raya-González, J.; Castillo, D.; Beato, M. Resistance Training Variables for Optimization of Muscle Hypertrophy: An Umbrella Review. Front. Sport. Act. Living 2022, 4, 949021. [Google Scholar] [CrossRef] [PubMed]
- Schoenfeld, B.J. The Mechanisms of Muscle Hypertrophy and Their Application to Resistance Training. J. Strength Cond. Res. 2010, 24, 2857–2872. [Google Scholar] [CrossRef] [PubMed]
- Schoenfeld, B.; Grgic, J. Evidence-Based Guidelines for Resistance Training Volume to Maximize Muscle Hypertrophy. Strength Cond. J. 2018, 40, 107–112. [Google Scholar] [CrossRef]
- Cholewa, J.M.; Rossi, F.E.; MacDonald, C.; Hewins, A.; Gallo, S.; Micenski, A.; Norton, L.; Campbell, B.I. The Effects of Moderate- Versus High-Load Resistance Training on Muscle Growth, Body Composition, and Performance in Collegiate Women. J. Strength Cond. Res. 2018, 32, 1511–1524. [Google Scholar] [CrossRef]
- Lacio, M.; Vieira, J.G.; Trybulski, R.; Campos, Y.; Santana, D.; Filho, J.E.; Novaes, J.; Vianna, J.; Wilk, M. Effects of Resistance Training Performed with Different Loads in Untrained and Trained Male Adult Individuals on Maximal Strength and Muscle Hypertrophy: A Systematic Review. Int. J. Environ. Res. Public Health 2021, 18, 11237. [Google Scholar] [CrossRef]
- Lopez, P.; Radaelli, R.; Taaffe, D.R.; Newton, R.U.; Galvão, D.A.; Trajano, G.S.; Teodoro, J.L.; Kraemer, W.J.; Häkkinen, K.; Pinto, R.S. Resistance Training Load Effects on Muscle Hypertrophy and Strength Gain: Systematic Review and Network Meta-Analysis. Med. Sci. Sport. Exerc. 2021, 53, 1206–1216, Erratum in Med. Sci. Sports Exerc. 2022, 54, 370. [Google Scholar] [CrossRef]
- Hackett, D.A.; Davies, T.B.; Orr, R.; Kuang, K.; Halaki, M. Effect of Movement Velocity during Resistance Training on Muscle-specific Hypertrophy: A Systematic Review. Eur. J. Sport Sci. 2018, 18, 473–482. [Google Scholar] [CrossRef] [PubMed]
- Henselmans, M.; Schoenfeld, B.J. The Effect of Inter-Set Rest Intervals on Resistance Exercise-Induced Muscle Hypertrophy. Sport. Med. 2014, 44, 1635–1643. [Google Scholar] [CrossRef] [PubMed]
- Vieira, A.F.; Umpierre, D.; Teodoro, J.L.; Lisboa, S.C.; Baroni, B.M.; Izquierdo, M.; Cadore, E.L. Effects of Resistance Training Performed to Failure or Not to Failure on Muscle Strength, Hypertrophy, and Power Output: A Systematic Review with Meta-Analysis. J. Strength Cond. Res. 2021, 35, 1165–1175. [Google Scholar] [CrossRef]
- Krzysztofik, M.; Wilk, M.; Wojdała, G.; Gołaś, A. Maximizing Muscle Hypertrophy: A Systematic Review of Advanced Resistance Training Techniques and Methods. Int. J. Environ. Res. Public Health 2019, 16, 4897. [Google Scholar] [CrossRef] [PubMed]
- Roberts, M.D.; McCarthy, J.J.; Hornberger, T.A.; Phillips, S.M.; Mackey, A.L.; Nader, G.A.; Boppart, M.D.; Kavazis, A.N.; Reidy, P.T.; Ogasawara, R.; et al. Mechanisms of Mechanical Overload-Induced Skeletal Muscle Hypertrophy: Current Understanding and Future Directions. Physiol. Rev. 2023, 103, 2679–2757. [Google Scholar] [CrossRef]
- Almeida, G.P.L.; João, G.A.; Charro, M.A.; de Jesus Santana, W.; da Silva, C.E.R.; Bocalini, D.S.; Caperuto, É.C.; Figueira, A.J. How Do Rest-Pause and Sarcoplasma Stimulating Training Models Affect Metabolic and Psychoaffective Responses in Bodybuilding Athletes Compared to Traditional Training? Front. Sport. Act. Living 2024, 6, 1467762. [Google Scholar] [CrossRef]
- Tufano, J.J.; Brown, L.E.; Haff, G.G. Theoretical and Practical Aspects of Different Cluster Set Structures: A Systematic Review. J. Strength Cond. Res. 2017, 31, 848–867. [Google Scholar] [CrossRef]
- Latella, C.; Teo, W.-P.; Drinkwater, E.J.; Kendall, K.; Haff, G.G. The Acute Neuromuscular Responses to Cluster Set Resistance Training: A Systematic Review and Meta-Analysis. Sport. Med. 2019, 49, 1861–1877. [Google Scholar] [CrossRef]
- Weakley, J.; Mann, B.; Banyard, H.; McLaren, S.; Scott, T.; Garcia-Ramos, A. Velocity-Based Training: From Theory to Application. Strength Cond. J. 2021, 43, 31–49. [Google Scholar] [CrossRef]
- Moreno-Villanueva, A.; Pino-Ortega, J.; Rico-González, M. Effect of Repetition Duration—Total and in Different Muscle Actions—On the Development of Strength, Power, and Muscle Hypertrophy: A Systematic Review. Strength Cond. J. 2022, 44, 39–56. [Google Scholar] [CrossRef]
- Davies, T.B.; Tran, D.L.; Hogan, C.M.; Haff, G.G.; Latella, C. Chronic Effects of Altering Resistance Training Set Configurations Using Cluster Sets: A Systematic Review and Meta-Analysis. Sport. Med. 2021, 51, 707–736. [Google Scholar] [CrossRef] [PubMed]
- Alarcón-Rivera, M.; Benavides-Roca, L.; Guzmán-Muñoz, E.; Salazar-Orellana, C. Efectos Del Entrenamiento Cluster Sobre La Hipertrofia Muscular: Una Revisión Sistemática. MHSalud Rev. Cienc. Mov. Hum. Salud 2024, 21, e16859. [Google Scholar] [CrossRef]
- Wannouch, Y.J.; Leahey, S.R.; Ramírez-Campillo, R.; Banyard, H.G.; Dorrell, H.S.; Stern, S.; Ross, G.J.; Laffer, J.C.; Chua, K.Y.H.; Comfort, P. A Systematic Review Using a Multi-Layered Criteria Framework for Assessing the Validity and Reliability of Velocity Monitoring Devices in Resistance Training. PLoS ONE 2025, 20, e0324606. [Google Scholar] [CrossRef]
- Fonseca, P.A.B.; Ide, B.N.; Oranchuk, D.J.; Marocolo, M.; Simim, M.A.M.; Roberts, M.D.; Mota, G.R. Comparison of Traditional and Advanced Resistance Training Paradigms on Muscle Hypertrophy in Trained Individuals: A Systematic Review and Meta-Analysis. Transl. Sport. Med. 2023, 2023, 9507977. [Google Scholar] [CrossRef]
- Ribeiro, A.S.; Aguiar, A.F.; Schoenfeld, B.J.; Nunes, J.P.; Cavalcante, E.F.; Cadore, E.L.; Cyrino, E.S. Effects of Different Resistance Training Systems on Muscular Strength and Hypertrophy in Resistance-Trained Older Women. J. Strength Cond. Res. 2018, 32, 545–553. [Google Scholar] [CrossRef]
- Aslam, S.; Habyarimana, J.D.D.; Bin, S.Y. Neuromuscular Adaptations to Resistance Training in Elite versus Recreational Athletes. Front. Physiol. 2025, 16, 1598149. [Google Scholar] [CrossRef]
- Huiberts, R.O.; Wüst, R.C.I.; van der Zwaard, S. Concurrent Strength and Endurance Training: A Systematic Review and Meta-Analysis on the Impact of Sex and Training Status. Sport. Med. 2024, 54, 485–503. [Google Scholar] [CrossRef] [PubMed]
- Tan, J.; Krasilshchikov, O.; Kuan, G.; Hashim, H.A.; Aldhahi, M.I.; Al-Mhanna, S.B.; Badicu, G. The Effects of Combining Aerobic and Heavy Resistance Training on Body Composition, Muscle Hypertrophy, and Exercise Satisfaction in Physically Active Adults. Healthcare 2023, 11, 2443. [Google Scholar] [CrossRef]
- Karsten, B.; Fu, Y.L.; Larumbe-Zabala, E.; Seijo, M.; Naclerio, F. Impact of Two High-Volume Set Configuration Workouts on Resistance Training Outcomes in Recreationally Trained Men. J. Strength Cond. Res. 2021, 35, S136–S143. [Google Scholar] [CrossRef] [PubMed]
- Enes, A.; Piñero, A.; Hermann, T.; Zamanzadeh, A.; Hennessy, T.; Montenegro, D.; Parnell, C.; Jia, A.; Weitzman, T.; Wolf, M.; et al. How Slow Should You Go? A Systematic Review With Meta-Analysis of the Effect of Resistance Training Repetition Tempo on Muscle Hypertrophy. J. Strength Cond. Res. 2025, 39, 1331–1339. [Google Scholar] [CrossRef]
- Page, M.J.; Moher, D.; McKenzie, J.E. Introduction to PRISMA 2020 and Implications for Research Synthesis Methodologists. Res. Synth. Methods 2022, 13, 156–163. [Google Scholar] [CrossRef]
- Prestes, J.; Tibana, R.A.; de Araujo Sousa, E.; da Cunha Nascimento, D.; de Oliveira Rocha, P.; Camarço, N.F.; de Sousa, N.M.; Willardson, J.M. Strength and Muscular Adaptations After 6 Weeks of Rest-Pause vs. Traditional Multiple-Sets Resistance Training in Trained Subjects. J. Strength Cond. Res. 2019, 33, S113–S121. [Google Scholar] [CrossRef]
- Enes, A.; Alves, R.C.; Schoenfeld, B.J.; Oneda, G.; Perin, S.C.; Trindade, T.B.; Prestes, J.; Souza-Junior, T.P. Rest-Pause and Drop-Set Training Elicit Similar Strength and Hypertrophy Adaptations Compared with Traditional Sets in Resistance-Trained Males. Appl. Physiol. Nutr. Metab. 2021, 46, 1417–1424. [Google Scholar] [CrossRef]
- Karimifard, M.; Arazi, H.; Mehrabani, J. Twelve Weeks Rest–Pause and Traditional Resistance Training: Effects on Myokines and Performance Adaptations among Recreationally Trained Men. Stresses 2023, 3, 302–315. [Google Scholar] [CrossRef]
- Korak, J.A.; Paquette, M.R.; Brooks, J.; Fuller, D.K.; Coons, J.M. Effect of Rest-Pause vs. Traditional Bench Press Training on Muscle Strength, Electromyography, and Lifting Volume in Randomized Trial Protocols. Eur. J. Appl. Physiol. 2017, 117, 1891–1896. [Google Scholar] [CrossRef]
- Enes, A.; Leonel, D.F.; Oneda, G.; Alves, R.C.; Zandoná-Schmidt, B.A.; Ferreira, L.H.B.; Prestes, J.; McAnulty, S.R.; Souza-Junior, T.P. Muscular Adaptations and Psychophysiological Responses in Resistance Training Systems. Res. Q. Exerc. Sport 2023, 94, 982–989. [Google Scholar] [CrossRef]
- Angleri, V.; Ugrinowitsch, C.; Libardi, C.A. Crescent Pyramid and Drop-Set Systems Do Not Promote Greater Strength Gains, Muscle Hypertrophy, and Changes on Muscle Architecture Compared with Traditional Resistance Training in Well-Trained Men. Eur. J. Appl. Physiol. 2017, 117, 359–369. [Google Scholar] [CrossRef] [PubMed]
- Ozaki, H.; Kubota, A.; Natsume, T.; Loenneke, J.P.; Abe, T.; Machida, S.; Naito, H. Effects of Drop Sets with Resistance Training on Increases in Muscle CSA, Strength, and Endurance: A Pilot Study. J. Sports Sci. 2018, 36, 691–696. [Google Scholar] [CrossRef] [PubMed]
- Vilaça-Alves, J.; Brito, J.P.; Machado, B.; Canário-Lemos, R.; Moreira, T.; Matos, F.; Peixoto, R.; Monteiro, G.; Lucas Chaves, G.; Garrido, N.; et al. Drop Set versus Traditional Strength Training Protocols Equated in Volume on Muscle Thickness in Women. Retos 2024, 61, 1031–1037. [Google Scholar] [CrossRef]
- Fink, J.; Schoenfeld, B.J.; Kikuchi, N.; Nakazato, K. Effects of Drop Set Resistance Training on Acute Stress Indicators and Long-Term Muscle Hypertrophy and Strength. J. Sports Med. Phys. Fitness 2018, 58, 597–605. [Google Scholar] [CrossRef]
- Cuevas-Aburto, J.; Jukic, I.; Chirosa-Ríos, L.J.; González-Hernández, J.M.; Janicijevic, D.; Barboza-González, P.; Guede-Rojas, F.; García-Ramos, A. Effect of Traditional, Cluster, and Rest Redistribution Set Configurations on Neuromuscular and Perceptual Responses During Strength-Oriented Resistance Training. J. Strength Cond. Res. 2022, 36, 1490–1497. [Google Scholar] [CrossRef]
- Vargas-Molina, S.; Romance, R.; Schoenfeld, B.J.; García, M.; Petro, J.L.; Bonilla, D.A.; Kreider, R.B.; Martín-Rivera, F.; Benítez-Porres, J. Effects of Cluster Training on Body Composition and Strength in Resistance-Trained Men. Isokinet. Exerc. Sci. 2020, 28, 391–399. [Google Scholar] [CrossRef]
- Vargas-Molina, S.; García-Sillero, M.; Maroto-Izquierdo, S.; Baz-Valle, E.; Bautista-Mayorga, B.; Murri, M.; Schoenfeld, B.J.; Benítez-Porres, J. Cluster Sets and Traditional Sets Elicit Similar Muscular Hypertrophy: A Volume and Effort-Matched Study in Resistance-Trained Individuals. Eur. J. Appl. Physiol. 2025, 125, 1725–1734. [Google Scholar] [CrossRef]
- Da Cunha, T.E.C.; Conceição, M.S.; Vieira, A.; Pareja-Blanco, F.; Bottaro, M.; Boullosa, D. Are Cluster Sets an Effective Method to Induce Muscular Hypertrophy in Response to Resistance Training? Rev. Bras. Ciências Esporte 2020, 42, e2034. [Google Scholar] [CrossRef]
- Goto, K.; Ishii, N.; Kizuka, T.; Takamatsu, K. The Impact of Metabolic Stress on Hormonal Responses and Muscular Adaptations. Med. Sci. Sport. Exerc. 2005, 37, 955–963. [Google Scholar] [CrossRef]
- Iglesias-Soler, E.; Carballeira, E.; Sánchez-Otero, T.; Mayo, X.; Fernández-del-Olmo, M. Performance of Maximum Number of Repetitions With Cluster-Set Configuration. Int. J. Sports Physiol. Perform. 2014, 9, 637–642. [Google Scholar] [CrossRef]
- Oliver, J.M.; Jagim, A.R.; Sanchez, A.C.; Mardock, M.A.; Kelly, K.A.; Meredith, H.J.; Smith, G.L.; Greenwood, M.; Parker, J.L.; Riechman, S.E.; et al. Greater Gains in Strength and Power With Intraset Rest Intervals in Hypertrophic Training. J. Strength Cond. Res. 2013, 27, 3116–3131. [Google Scholar] [CrossRef]
- Kojic, F.; Mandic, D.; Duric, S. The Effects of Eccentric Phase Tempo in Squats on Hypertrophy, Strength, and Contractile Properties of the Quadriceps Femoris Muscle. Front. Physiol. 2025, 15, 1531926. [Google Scholar] [CrossRef]
- Pearson, J.; Wadhi, T.; Barakat, C.; Aube, D.; Schoenfeld, B.J.; Andersen, J.C.; Barroso, R.; Ugrinowitsch, C.; De Souza, E.O. Does Varying Repetition Tempo in a Single-Joint Lower Body Exercise Augment Muscle Size and Strength in Resistance-Trained Men? J. Strength Cond. Res. 2022, 36, 2162–2168. [Google Scholar] [CrossRef]
- Andersen, V.; Paulsen, G.; Stien, N.; Baarholm, M.; Seynnes, O.; Saeterbakken, A.H. Resistance Training With Different Velocity Loss Thresholds Induce Similar Changes in Strength and Hypertrophy. J. Strength Cond. Res. 2024, 38, e135–e142. [Google Scholar] [CrossRef]
- Held, S.; Hecksteden, A.; Meyer, T.; Donath, L. Improved Strength and Recovery After Velocity-Based Training: A Randomized Controlled Trial. Int. J. Sports Physiol. Perform. 2021, 16, 1185–1193. [Google Scholar] [CrossRef]
- Vasiljevic, I.; Manojlovic, M.; Bianco, A.; Maksimovic, N.; Trivic, T.; Drid, P. Effects of Velocity-Based Training versus Percentage-Based Training Programs on Neuromuscular Performances and Markers of Muscle Damage in Young Males: A Randomized Controlled Trial. Med. Dello Sport 2024, 77, 183–198. [Google Scholar] [CrossRef]
- Norrbrand, L.; Fluckey, J.D.; Pozzo, M.; Tesch, P.A. Resistance Training Using Eccentric Overload Induces Early Adaptations in Skeletal Muscle Size. Eur. J. Appl. Physiol. 2007, 102, 271–281. [Google Scholar] [CrossRef] [PubMed]
- Friedmann, B.; Kinscherf, R.; Vorwald, S.; Müller, H.; Kucera, K.; Borisch, S.; Richter, G.; Bärtsch, P.; Billeter, R. Muscular Adaptations to Computer-guided Strength Training with Eccentric Overload. Acta Physiol. Scand. 2004, 182, 77–88. [Google Scholar] [CrossRef] [PubMed]
- Maroto-Izquierdo, S.; Nosaka, K.; Blazevich, A.J.; González-Gallego, J.; de Paz, J.A. Cross-education Effects of Unilateral Accentuated Eccentric Isoinertial Resistance Training on Lean Mass and Function. Scand. J. Med. Sci. Sports 2022, 32, 672–684. [Google Scholar] [CrossRef] [PubMed]
- Telegadas, K.; Myers, C.; Gilday, C. Advanced Strength Training Techniques. In Strength and Conditioning for the Human Weapon System; Springer Nature: Cham, Switzerland, 2025; pp. 151–177, Correction in Strength and Conditioning for the Human Weapon System; Springer Nature: Cham, Switzerland, 2025; p. C1. [Google Scholar]
- Schoenfeld, B. The Use of Specialized Training Techniques to Maximize Muscle Hypertrophy. Strength Cond. J. 2011, 33, 60–65. [Google Scholar] [CrossRef]
- Schoenfeld, B.J. Does Exercise-Induced Muscle Damage Play a Role in Skeletal Muscle Hypertrophy? J. Strength Cond. Res. 2012, 26, 1441–1453. [Google Scholar] [CrossRef]
- Banyard, H.G.; Nosaka, K.; Sato, K.; Haff, G.G. Validity of Various Methods for Determining Velocity, Force, and Power in the Back Squat. Int. J. Sports Physiol. Perform. 2017, 12, 1170–1176. [Google Scholar] [CrossRef]
- Douglas, J.; Pearson, S.; Ross, A.; McGuigan, M. Chronic Adaptations to Eccentric Training: A Systematic Review. Sport. Med. 2017, 47, 917–941. [Google Scholar] [CrossRef]
- Schoenfeld, B.J.; Ogborn, D.I.; Krieger, J.W. Effect of Repetition Duration During Resistance Training on Muscle Hypertrophy: A Systematic Review and Meta-Analysis. Sport. Med. 2015, 45, 577–585. [Google Scholar] [CrossRef] [PubMed]
- Wilk, M.; Tufano, J.J.; Zajac, A. The Influence of Movement Tempo on Acute Neuromuscular, Hormonal, and Mechanical Responses to Resistance Exercise—A Mini Review. J. Strength Cond. Res. 2020, 34, 2369–2383. [Google Scholar] [CrossRef] [PubMed]
- Sale, D.G. Neural Adaptation to Resistance Training. Med. Sci. Sport. Exerc. 1988, 20, S135–S145. [Google Scholar] [CrossRef]
- Folland, J.P.; Williams, A.G. The Adaptations to Strength Training. Sport. Med. 2007, 37, 145–168. [Google Scholar] [CrossRef]
- Borenstein, M.; Hedges, L.V.; Higgins, J.P.T.; Rothstein, H.R. Introduction to Meta-Analysis; Advanced Strength Training Techniques; John wiley & sons: Hoboken, NJ, USA, 2021; ISBN 1119558387. [Google Scholar]
- Viechtbauer, W. Bias and Efficiency of Meta-Analytic Variance Estimators in the Random-Effects Model. J. Educ. Behav. Stat. 2005, 30, 261–293. [Google Scholar] [CrossRef]
- Knapp, G.; Hartung, J. Improved Tests for a Random Effects Meta-regression with a Single Covariate. Stat. Med. 2003, 22, 2693–2710. [Google Scholar] [CrossRef] [PubMed]
- IntHout, J.; Ioannidis, J.P.; Borm, G.F. The Hartung-Knapp-Sidik-Jonkman Method for Random Effects Meta-Analysis Is Straightforward and Considerably Outperforms the Standard DerSimonian-Laird Method. BMC Med. Res. Methodol. 2014, 14, 25. [Google Scholar] [CrossRef]
- Higgins, K.A.; Hudson, J.L.; Hayes, A.M.R.; Braun, E.; Cheon, E.; Couture, S.C.; Gunaratna, N.S.; Hill, E.R.; Hunter, S.R.; McGowan, B.S.; et al. Systematic Review and Meta-Analysis on the Effect of Portion Size and Ingestive Frequency on Energy Intake and Body Weight among Adults in Randomized Controlled Feeding Trials. Adv. Nutr. 2022, 13, 248–268. [Google Scholar] [CrossRef] [PubMed]




| Author (Year) | Population | Advanced System | Comparator | Outcomes Reported |
|---|---|---|---|---|
| Rest pause systems | ||||
| Prestes [33] | Recreationally trained adults | Rest pause | Traditional multiple sets | Strength, hypertrophy |
| Enes [34] | Resistance-trained men | Rest pause | Traditional sets | Strength, hypertrophy |
| Karimifard [35] | Recreationally trained men | Rest pause | Traditional sets | Strength, myokines |
| Korak [36] | Recreationally trained adults | Rest pause | Traditional bench protocol | Strength, EMG, training volume |
| Drop set systems | ||||
| Enes [34] | Resistance-trained men | Drop sets | Traditional sets | Strength, hypertrophy |
| Enes [37] (RQES) | Recreationally trained men | Drop sets and related advanced methods | Traditional sets | Muscular adaptations, psychophysiology |
| Angleri [38] | Resistance-trained men | Drop sets, crescent pyramid | Traditional sets | Strength, hypertrophy |
| Ozaki [39] | Recreationally trained adults | Drop sets | Traditional sets | CSA, strength, endurance |
| Vilaça Alves [40] | Recreationally trained women | Drop sets | Traditional sets | Muscle thickness |
| Fink [41] | Recreationally trained adults | Drop sets | Traditional sets | Hypertrophy, strength |
| Advanced Rest-Manipulation Systems (Cluster, Rest-Redistribution, ISR) | ||||
| Cuevas Aburto [42] † | Recreationally trained adults | Cluster sets, rest redistribution | Traditional sets | Neuromuscular, perceptual |
| Vargas Molina [43] † | Resistance-trained men | Cluster sets | Traditional sets | Body composition, strength |
| Vargas Molina [44] | Resistance-trained individuals | Cluster sets | Traditional sets | Hypertrophy |
| Totó [45] † | Recreationally trained adults | Cluster sets | Traditional sets | Hypertrophy |
| Goto [46] | Recreationally trained adults | Cluster-type protocol | Traditional sets | Quadriceps CSA |
| Iglesias Soler [47] | Recreationally trained adults | Cluster-type protocol | Traditional sets | Thigh circumference |
| Oliver [48] | Resistance-trained men | Intraset rest intervals (ISR) | Traditional sets | Lean body mass |
| Tempo controlled systems | ||||
| Kojic [49] | Recreationally trained adults | Tempo controlled (eccentric emphasis) | Traditional sets | Hypertrophy, strength |
| Pearson [50] | Resistance-trained men | Tempo variation | Traditional sets | Muscle size, strength |
| Velocity based training (VBT) | ||||
| Andersen [51] | Recreationally trained adults | Velocity loss thresholds | Traditional sets | Strength, hypertrophy |
| Held [52] | Recreationally trained adults | Velocity based training | Traditional sets | Strength, recovery |
| Vasiljevic [53] † | Recreationally trained young men | Velocity based training | %1RM prescription | Neuromuscular, strength |
| Eccentric overload systems | ||||
| Norrbrand [54] | Recreationally trained adults | Eccentric overload | Traditional sets | Muscle size |
| Friedmann [55] | Recreationally trained adults | Computer guided eccentric overload | Traditional sets | Hypertrophy |
| Maroto Izquierdo [56] | Recreationally trained adults | Unilateral eccentric isoinertial | Traditional sets | Lean mass, functional outcomes |
| Author (Year) | Advanced System | Duration (Weeks) | Frequency (Sessions/Week) | Volume Equated | Intensity (Load Prescription) | Proximity to Failure | Notes |
|---|---|---|---|---|---|---|---|
| Prestes [33] | Rest pause | 6 | 2 | Yes | 80% 1RM | To failure | Standardized rest-pause protocol |
| Enes [34] | Rest pause, Drop sets | 8 | 3 | No | 70–80% 1RM | To failure | Two advanced systems |
| Enes [37] | Drop sets | 8 | 3 | No | 70% 1RM | To failure | Psychophysiological outcomes included |
| Karimifard [35] | Rest pause | 6 | 3 | Yes | 75% 1RM | To failure | Myokine responses assessed |
| Cuevas Aburto [42] † | Cluster, Rest redistribution | 8 | 2 | Yes | 70–85% 1RM | Not to failure | Intra-set rest manipulation |
| Angleri [38] | Drop sets, Crescent pyramid | 12 | 3 | No | 70–80% 1RM | To failure | Multiple advanced configurations |
| Ozaki [39] | Drop sets | 6 | 2 | No | 30% 1RM | To failure | Low-load drop sets |
| Vilaça Alves [40] | Drop sets | 8 | 2 | No | 70% 1RM | To failure | Women only |
| Fink [41] | Drop sets | 6 | 2 | No | 30% 1RM | To failure | Low-load hypertrophy protocol |
| Vargas Molina [43] † | Cluster sets | 8 | 3 | Yes | 75–85% 1RM | Not to failure | Strength-focused cluster protocol |
| Vargas Molina [44] | Cluster sets | 10 | 3 | Yes | 70–80% 1RM | Not to failure | Hypertrophy-focused cluster protocol |
| Totó [45] † | Cluster sets | 6 | 2 | Yes | 70% 1RM | Not to failure | Short-duration intervention |
| Goto [46] | Cluster-type protocol | 8 | 2 | Yes | 80% 1RM | Not to failure | Classic cluster-type protocol |
| Iglesias Soler [47] | Cluster-type protocol | 8 | 2 | Yes | 75% 1RM | Not to failure | Thigh circumference outcomes |
| Oliver [48] | Cluster-type protocol | 10 | 3 | Yes | 70–80% 1RM | Not to failure | Lean body mass outcomes |
| Kojic [49] | Tempo (eccentric emphasis) | 8 | 3 | Yes | 70% 1RM | To failure | Controlled eccentric tempo |
| Pearson [50] | Tempo variation | 8 | 2 | Yes | 60–80% 1RM | To failure | Multiple tempo conditions |
| Andersen [51] | Velocity loss thresholds | 8 | 2 | Yes | %1RM based on velocity | Not to failure | VL20 vs. VL40 |
| Held [52] | Velocity-based training | 6 | 2 | Yes | Velocity zones | Not to failure | Recovery markers included |
| Vasiljevic [53] † | Velocity-based training | 8 | 3 | Yes | Velocity zones | Not to failure | Compared to %1RM prescription |
| Norrbrand [54] | Eccentric overload | 5 | 2 | No | Isoinertial device | To failure | Flywheel training |
| Friedmann [55] | Eccentric overload | 12 | 3 | No | Computer-controlled eccentric | To failure | High-intensity eccentric |
| Maroto Izquierdo [56] | Eccentric isoinertial | 6 | 2 | No | Flywheel device | To failure | Unilateral protocol |
| Korak [36] | Rest pause | 8 | 2 | Yes | 75% 1RM | To failure | Bench press protocol |
| Author (Year) | Hypertrophy Measures | Strength Measures | Measurement Methods | Muscle Groups Assessed |
|---|---|---|---|---|
| Prestes [33] | Muscle thickness | 1RM bench press, 1RM squat | Ultrasound | Upper and lower body |
| Enes [34] | Muscle thickness | 1RM bench press, 1RM squat | Ultrasound | Upper and lower body |
| Enes [37] | Muscle thickness | 1RM leg press | Ultrasound | Lower body |
| Karimifard [35] | Muscle thickness | 1RM chest press, 1RM leg press | Ultrasound, biomarkers | Upper and lower body |
| Fink [41] | Muscle thickness | 12RM triceps, 1RM arm curl | Ultrasound | Elbow extensors/flexors |
| Angleri [38] | Muscle thickness | 1RM lower-body lift | Ultrasound | Lower body |
| Ozaki [39] | Cross-sectional area | 1RM arm curl | MRI | Elbow flexors |
| Vilaça Alves [40] | Muscle thickness | None | Ultrasound | Elbow flexors |
| Vargas Molina [44] | Muscle thickness | 1RM squat | Ultrasound | Quadriceps |
| Goto [46] | Muscle thickness | 1RM squat | Ultrasound | Quadriceps |
| Iglesias-Soler [47] | Thigh circumference | 1RM squat | Tape measure | Quadriceps |
| Oliver [48] | Lean body mass | 1RM squat | DXA | Whole body, lower body |
| Kojic [49] | Muscle thickness | 1RM squat | Ultrasound | Lower body |
| Pearson [50] | Muscle thickness | 1RM squat, 1RM bench press | Ultrasound | Upper and lower body |
| Andersen [51] | Muscle thickness | 1RM squat, MVC, velocity metrics | Ultrasound, velocity tracking | Quadriceps |
| Held [52] | None (recovery markers) | 1RM squat, 1RM bench row, 1RM deadlift | Blood markers, velocity tracking | Upper and lower body |
| Norrbrand [54] | Cross-sectional area | MVC | MRI, isokinetic dynamometry | Quadriceps |
| Friedmann [55] | Muscle thickness | Peak torque | Ultrasound, isokinetic dynamometry | Quadriceps |
| Maroto-Izquierdo [56] | Lean mass | MVC, 1RM leg press | DXA, isokinetic dynamometry | Lower body |
| Korak [36] | None (EMG, volume) | 1RM bench press | EMG, 1RM testing | Upper body |
| Author (Year) | Randomization Process | Deviations from Intended Interventions | Missing Outcome Data | Measurement of Outcomes | Selection of Reported Results | Overall Risk of Bias |
|---|---|---|---|---|---|---|
| Prestes [33] | Low risk | Low risk | Low risk | Low risk | Low risk | Low risk |
| Enes [34] | Some concerns | Low risk | Low risk | Low risk | Some concerns | Some concerns |
| Enes [37] | Some concerns | Low risk | Low risk | Low risk | Some concerns | Some concerns |
| Karimifard [35] | Low risk | Low risk | Low risk | Low risk | Low risk | Low risk |
| Fink [41] | Some concerns | Low risk | Low risk | Low risk | Some concerns | Some concerns |
| Angleri [38] | Some concerns | Low risk | Low risk | Low risk | Some concerns | Some concerns |
| Ozaki [39] | Low risk | Low risk | Low risk | Low risk | Low risk | Low risk |
| Vilaça Alves [40] | Some concerns | Low risk | Low risk | Low risk | Some concerns | Some concerns |
| Vargas Molina [46] | Low risk | Low risk | Low risk | Low risk | Low risk | Low risk |
| Goto [46] | Some concerns | Low risk | Low risk | Low risk | Some concerns | Some concerns |
| Iglesias Soler [47] | Some concerns | Low risk | Low risk | Low risk | Some concerns | Some concerns |
| Oliver [48] | Some concerns | Low risk | Low risk | Low risk | Some concerns | Some concerns |
| Kojic [49] | Low risk | Low risk | Low risk | Low risk | Low risk | Low risk |
| Pearson [50] | Low risk | Low risk | Low risk | Low risk | Low risk | Low risk |
| Andersen [51] | Low risk | Low risk | Low risk | Low risk | Low risk | Low risk |
| Held [52] | Some concerns | Low risk | Low risk | Low risk | Some concerns | Some concerns |
| Norrbrand [54] | Some concerns | Low risk | Low risk | Low risk | Some concerns | Some concerns |
| Friedmann [55] | Some concerns | Low risk | Low risk | Low risk | Some concerns | Some concerns |
| Maroto Izquierdo [56] | Low risk | Low risk | Low risk | Low risk | Low risk | Low risk |
| Korak [36] | Some concerns | Low risk | Low risk | Low risk | Some concerns | Some concerns |
Disclaimer/Publisher’s Note: The statements, opinions and data contained in all publications are solely those of the individual author(s) and contributor(s) and not of MDPI and/or the editor(s). MDPI and/or the editor(s) disclaim responsibility for any injury to people or property resulting from any ideas, methods, instructions or products referred to in the content. |
© 2026 by the authors. Licensee MDPI, Basel, Switzerland. This article is an open access article distributed under the terms and conditions of the Creative Commons Attribution (CC BY) license.
Share and Cite
Tsartsapakis, I.; Zafeiroudi, A.; Kouthouris, C. Effects of Advanced Resistance Training Systems on Muscle Hypertrophy and Strength in Recreationally Trained Adults: A Systematic Review and Meta-Analysis. J. Funct. Morphol. Kinesiol. 2026, 11, 80. https://doi.org/10.3390/jfmk11010080
Tsartsapakis I, Zafeiroudi A, Kouthouris C. Effects of Advanced Resistance Training Systems on Muscle Hypertrophy and Strength in Recreationally Trained Adults: A Systematic Review and Meta-Analysis. Journal of Functional Morphology and Kinesiology. 2026; 11(1):80. https://doi.org/10.3390/jfmk11010080
Chicago/Turabian StyleTsartsapakis, Ioannis, Aglaia Zafeiroudi, and Charilaos Kouthouris. 2026. "Effects of Advanced Resistance Training Systems on Muscle Hypertrophy and Strength in Recreationally Trained Adults: A Systematic Review and Meta-Analysis" Journal of Functional Morphology and Kinesiology 11, no. 1: 80. https://doi.org/10.3390/jfmk11010080
APA StyleTsartsapakis, I., Zafeiroudi, A., & Kouthouris, C. (2026). Effects of Advanced Resistance Training Systems on Muscle Hypertrophy and Strength in Recreationally Trained Adults: A Systematic Review and Meta-Analysis. Journal of Functional Morphology and Kinesiology, 11(1), 80. https://doi.org/10.3390/jfmk11010080

