Triceps Surae Ia Proprioceptive Weighting in Postural Control During Quiet Stance with Vision Occlusion
Abstract
1. Introduction
2. Materials and Methods
2.1. Participants
2.2. Experimental Procedures and Data Acquisition
2.3. Data Analysis for Each Subject
2.4. Statistical Analyses
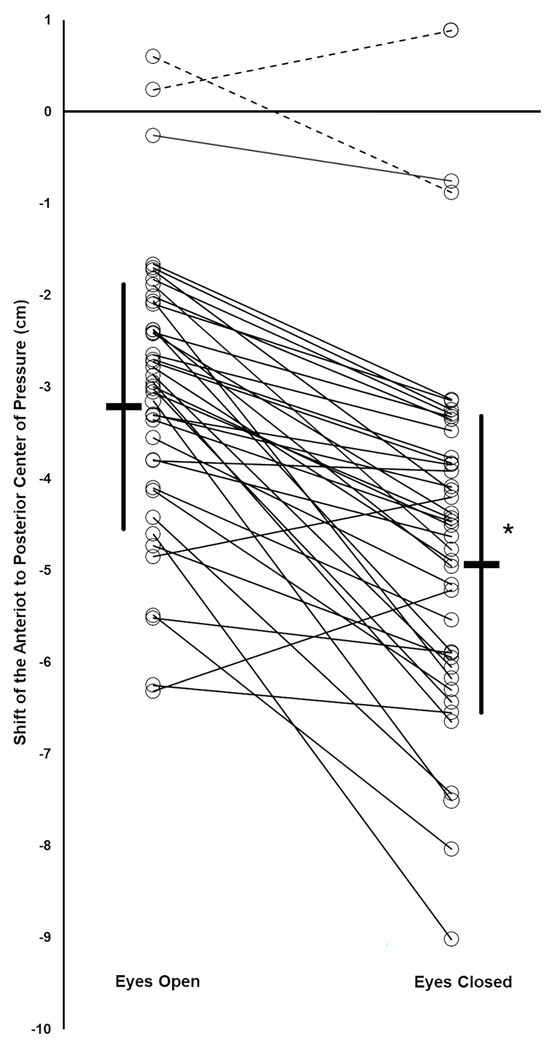
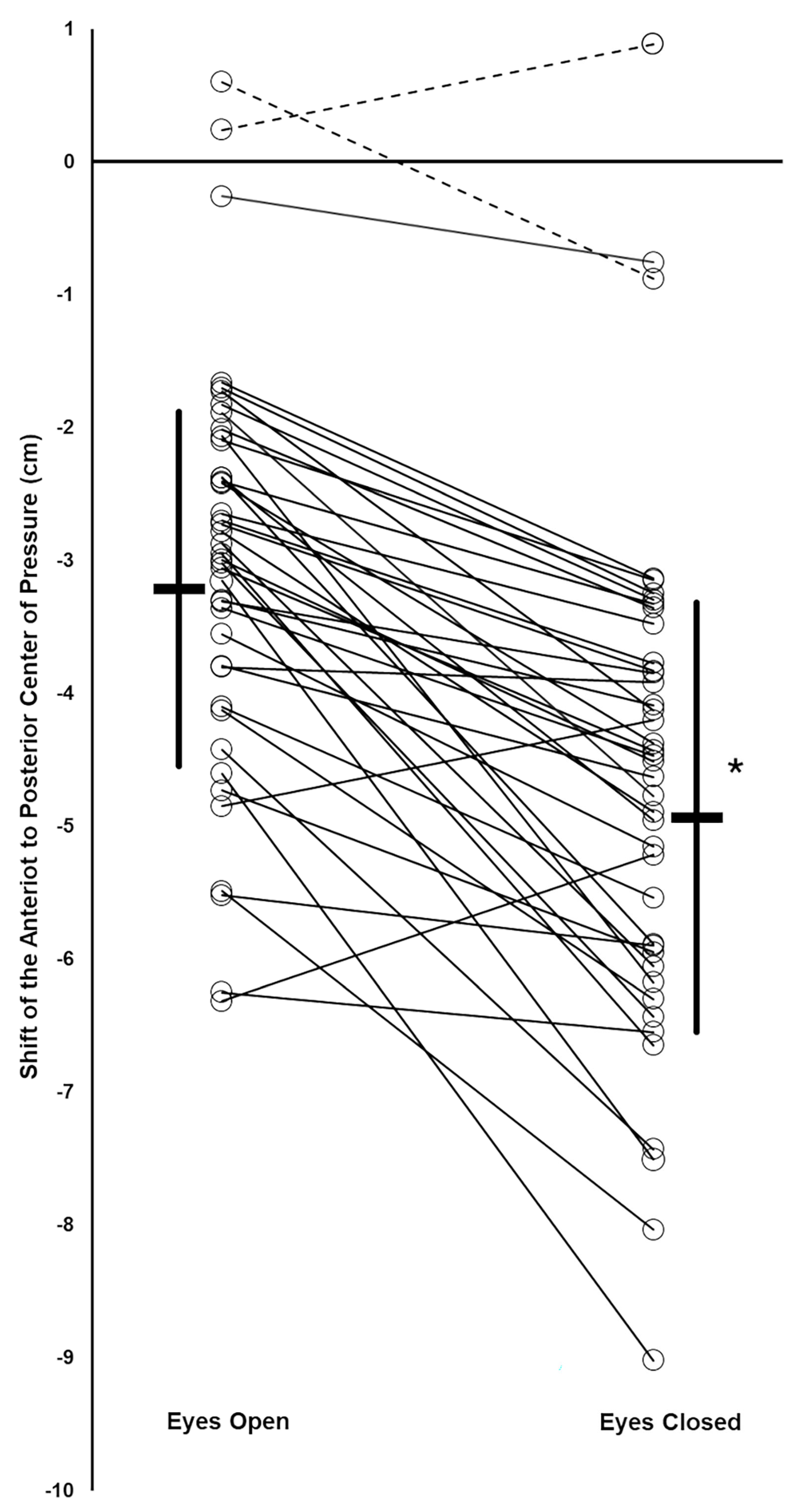
3. Results
4. Discussion
Funding
Institutional Review Board Statement
Informed Consent Statement
Data Availability Statement
Acknowledgments
Conflicts of Interest
References
- Redfern, M.S.; Yardley, L.; Bronstein, A.M. Visual influences on balance. J. Anxiety Disord. 2001, 15, 81–94. [Google Scholar] [CrossRef]
- Kavounoudias, A.; Roll, R.; Roll, J.P. Foot sole and ankle muscle inputs contribute jointly to human erect posture regulation. J. Physiol. 2001, 532, 869–878. [Google Scholar] [CrossRef]
- Viseux, F.; Simoneau, M.; Pamboris, G.M.; Sturbois-Nachef, N.; Bonnet, C.T.; Martinez Carrasco, M.; Defebvre, L.; Billot, M.; Delval, A. The Reticular formation: An integrative network for postural control. Neurophysiol. Clin. 2025, 55, 103100. [Google Scholar] [CrossRef] [PubMed]
- Henry, M.; Baudry, S. Age-related changes in leg proprioception: Implications for postural control. J. Neurophysiol. 2019, 122, 525–538. [Google Scholar] [CrossRef] [PubMed]
- Horak, F.B.; Nashner, L.M.; Diener, H.C. Postural strategies associated with somatosensory and vestibular loss. Exp. Brain Res. 1990, 82, 167–177. [Google Scholar] [CrossRef] [PubMed]
- Proske, U.; Gandevia, S.C. The proprioceptive senses: Their roles in signaling body shape, body position and movement, and muscle force. Physiol. Rev. 2012, 92, 1651–1697. [Google Scholar] [CrossRef]
- Mildren, R.L.; Bent, L.R. Vibrotactile stimulation of fast-adapting cutaneous afferents from the foot modulates proprioception at the ankle joint. J. Appl. Physiol. 2016, 120, 855–864. [Google Scholar] [CrossRef]
- Mildren, R.L.; Hare, C.M.; Bent, L.R. Cutaneous afferent feedback from the posterior ankle contributes to proprioception. Neurosci. Lett. 2017, 636, 145–150. [Google Scholar] [CrossRef]
- Peterka, R.J. Sensorimotor integration in human postural control. J. Neurophysiol. 2002, 88, 1097–1118. [Google Scholar] [CrossRef]
- Carver, S.; Kiemel, T.; Jeka, J.J. Modeling the dynamics of sensory reweighting. Biol. Cybern. 2006, 95, 123–134. [Google Scholar] [CrossRef]
- Peterka, R.J.; Loughlin, P.J. Dynamic regulation of sensorimotor integration in human postural control. J. Neurophysiol. 2004, 91, 410–423. [Google Scholar] [CrossRef]
- Brumagne, S.; Janssens, L.; Knapen, S.; Claeys, K.; Suuden-Johanson, E. Persons with recurrent low back pain exhibit a rigid postural control strategy. Eur. Spine J. 2008, 17, 1177–1184. [Google Scholar] [CrossRef]
- Kiers, H.; Brumagne, S.; van Dieen, J.; van der Wees, P.; Vanhees, L. Ankle proprioception is not targeted by exercises on an unstable surface. Eur. J. Appl. Physiol. 2012, 112, 1577–1585. [Google Scholar] [CrossRef]
- Fitzpatrick, R.; Burke, D.; Gandevia, S.C. Task-dependent reflex responses and movement illusions evoked by galvanic vestibular stimulation in standing humans. J. Physiol. 1994, 478, 363–372. [Google Scholar] [CrossRef] [PubMed]
- Horak, F.B.; Shupert, C.L.; Dietz, V.; Horstmann, G. Vestibular and somatosensory contributions to responses to head and body displacements in stance. Exp. Brain Res. 1994, 100, 93–106. [Google Scholar] [CrossRef]
- Ivanenko, Y.P.; Talis, V.L.; Kazennikov, O.V. Support stability influences postural responses to muscle vibration in humans. Eur. J. Neurosci. 1999, 11, 647–654. [Google Scholar] [CrossRef] [PubMed]
- Alsalaheen, B.A.; Mucha, A.; Morris, L.O.; Whitney, S.L.; Furman, J.M.; Camiolo-Reddy, C.E.; Collins, M.W.; Lovell, M.R.; Sparto, P.J. Vestibular rehabilitation for dizziness and balance disorders after concussion. J. Neurol. Phys. Ther. 2010, 34, 87–93. [Google Scholar] [CrossRef]
- Bonan, I.V.; Yelnik, A.P.; Colle, F.M.; Michaud, C.; Normand, E.; Panigot, B.; Roth, P.; Guichard, J.P.; Vicaut, E. Reliance on visual information after stroke. Part II: Effectiveness of a balance rehabilitation program with visual cue deprivation after stroke: A randomized controlled trial. Arch. Phys. Med. Rehabil. 2004, 85, 274–278. [Google Scholar] [CrossRef]
- Holme, E.; Magnusson, S.P.; Becher, K.; Bieler, T.; Aagaard, P.; Kjaer, M. The effect of supervised rehabilitation on strength, postural sway, position sense and re-injury risk after acute ankle ligament sprain. Scand. J. Med. Sci. Sports 1999, 9, 104–109. [Google Scholar] [CrossRef]
- Nagy, E.; Feher-Kiss, A.; Barnai, M.; Domján-Preszner, A.; Angyan, L.; Horvath, G. Postural control in elderly subjects participating in balance training. Eur. J. Appl. Physiol. 2007, 100, 97–104. [Google Scholar] [CrossRef] [PubMed]
- Brumagne, S.; Cordo, P.; Verschueren, S. Proprioceptive weighting changes in persons with low back pain and elderly persons during upright standing. Neurosci. Lett. 2004, 366, 63–66. [Google Scholar] [CrossRef]
- Roll, J.P.; Vedel, J.P.; Ribot, E. Alteration of proprioceptive messages induced by tendon vibration in man: A microneurographic study. Exp. Brain Res. 1989, 76, 213–222. [Google Scholar] [CrossRef]
- Eklund, G. General features of vibration-induced effects on balance. Ups. J. Med. Sci. 1972, 77, 112–124. [Google Scholar] [CrossRef] [PubMed]
- Lackner, J.R.; Levine, M.S. Changes in apparent body orientation and sensory localization induced by vibration of postural muscles: Vibratory myesthetic illusions. Aviat. Space Environ. Med. 1979, 50, 346–354. [Google Scholar] [PubMed]
- Toosizadeh, N.; Mohler, J.; Marlinski, V. Low intensity vibration of ankle muscles improves balance in elderly persons at high risk of falling. PLoS ONE. 2018, 13, e0194720. [Google Scholar] [CrossRef] [PubMed]
- Taylor, M.W.; Taylor, J.L.; Seizova-Cajic, T. Muscle Vibration-Induced Illusions: Review of Contributing Factors, Taxonomy of Illusions and User’s Guide. Multisensory Res. 2017, 30, 25–63. [Google Scholar] [CrossRef]
- Gomez, S.; Patel, M.; Magnusson, M.; Johansson, L.; Einarsson, E.J.; Fransson, P.A. Differences between body movement adaptation to calf and neck muscle vibratory proprioceptive stimulation. Gait. Posture. 2009, 30, 93–99. [Google Scholar] [CrossRef]
- Faul, F.; Erdfelder, E.; Lang, A.G.; Buchner, A. G*Power 3: A flexible statistical power analysis program for the social, behavioral, and biomedical sciences. Behav. Res. Methods 2007, 39, 175–191. [Google Scholar] [CrossRef]
- Montant, M.; Romaiguere, P.; Roll, J.P. A new vibrator to stimulate muscle proprioceptors in fMRI. Hum. Brain Mapp. 2009, 30, 990–997. [Google Scholar] [CrossRef]
- Leskovar, R.; Moore, J.M.; Robertson, J.; Exell, T.A.; Ostler, C.; Kyberd, P.J. An investigation of proprioception illusion using a stimulator with feedback control. In Proceedings of the 2022 International Conference on Rehabilitation Robotics (ICORR), Rotterdam, The Netherlands, 25–29 July 2022; pp. 1–6. [Google Scholar] [CrossRef]
- Sozzi, S.; Monti, A.; De Nunzio, A.M.; Do, M.C.; Schieppati, M. Sensori-motor integration during stance: Time adaptation of control mechanisms on adding or removing vision. Hum. Mov. Sci. 2011, 30, 172–189. [Google Scholar] [CrossRef]
- Sozzi, S.; Do, M.C.; Monti, A.; Schieppati, M. Sensorimotor integration during stance: Processing time of active or passive addition or withdrawal of visual or haptic information. Neuroscience 2012, 212, 59–76. [Google Scholar] [CrossRef] [PubMed]
- Riach, C.L.; Starkes, J.L. Visual fixation and postural sway in children. J. Mot. Behav. 1989, 21, 265–276. [Google Scholar] [CrossRef] [PubMed]
- Thomas, N.M.; Bampouras, T.M.; Donovan, T.; Dewhurst, S. Eye Movements Affect Postural Control in Young and Older Females. Front. Aging Neurosci. 2016, 8, 216. [Google Scholar] [CrossRef]
- Strupp, M.; Glasauer, S.; Jahn, K.; Schneider, E.; Krafczyk, S.; Brandt, T. Eye movements and balance. Ann. N. Y. Acad. Sci. 2003, 1004, 352–358. [Google Scholar] [CrossRef]
- Caudron, S.; Langlois, L.; Nougier, V.; Guerraz, M. Attenuation of the evoked responses with repeated exposure to proprioceptive disturbances is muscle specific. Gait. Posture. 2010, 32, 161–168. [Google Scholar] [CrossRef]
- Kiers, H.; Brumagne, S.; van Dieën, J.; Vanhees, L. Test-retest reliability of muscle vibration effects on postural sway. Gait. Posture. 2014, 40, 166–171. [Google Scholar] [CrossRef]
- Picot, B.; Rémy-Neris, O.; Forestier, N. Proprioceptive postural control strategies differ among non-injured athletes. Neurosci. Lett. 2021, 136366. [Google Scholar] [CrossRef]
- Ehsani, H.; Mohler, J.; Marlinski, V.; Rashedi, E.; Toosizadeh, N. The influence of mechanical vibration on local and central balance control. J. Biomech. 2018, 71, 59–66. [Google Scholar] [CrossRef]
- Proske, U.; Gandevia, S.C. Kinesthetic Senses. Compr. Physiol. 2018, 8, 1157–1183. [Google Scholar] [CrossRef]
- Kavounoudias, A.; Gilhodes, J.C.; Roll, R.; Roll, J.P. From balance regulation to body orientation: Two goals for muscle proprioceptive information processing? Exp. Brain Res. 1999, 124, 80–88. [Google Scholar] [CrossRef] [PubMed]
- Bekkers, E.M.; Dockx, K.; Heremans, E.; Vercruysse, S.; Verschueren, S.M.; Mirelman, A.; Nieuwboer, A. The contribution of proprioceptive information to postural control in elderly and patients with Parkinson’s disease with a history of falls. Front. Hum. Neurosci. 2014, 8, 939. [Google Scholar] [CrossRef]
- Ivanenko, Y.P.; Solopova, I.A.; Levik, Y.S. The direction of postural instability affects postural reactions to ankle muscle vibration in humans. Neurosci. Lett. 2000, 292, 103–106. [Google Scholar] [CrossRef]
- Lakens, D. Calculating and reporting effect sizes to facilitate cumulative science: A practical primer for t-tests and ANOVAs. Front. Psychol. 2013, 4, 863. [Google Scholar] [CrossRef]
- Kollegger, H.; Baumgartner, C.; Wober, C.; Oder, W.; Deecke, L. Spontaneous body sway as a function of sex, age, and vision: Posturographic study in 30 healthy adults. Eur. Neurol. 1992, 32, 253–259. [Google Scholar] [CrossRef]
- Roman-Liu, D. Age-related changes in the range and velocity of postural sway. Arch. Gerontol. Geriatr. 2018, 77, 68–80. [Google Scholar] [CrossRef]
- Paulus, W.; Straube, A.; Brandt, T. Visual stabilization of posture. Physiological stimulus characteristics and clinical aspects. Brain. 1984, 107, 1143–1163. [Google Scholar] [CrossRef] [PubMed]
- Singh, N.B.; Taylor, W.R.; Madigan, M.L.; Nussbaum, M.A. The spectral content of postural sway during quiet stance: Influences of age, vision and somatosensory inputs. J. Electromyogr. Kinesiol. 2012, 22, 131–136. [Google Scholar] [CrossRef] [PubMed]
- Rougier, P. The influence of having the eyelids open or closed on undisturbed postural control. Neurosci. Res. 2003, 47, 73–83. [Google Scholar] [CrossRef] [PubMed]
- Di Giulio, I.; Maganaris, C.N.; Baltzopoulos, V.; Loram, I.D. The proprioceptive and agonist roles of gastrocnemius, soleus and tibialis anterior muscles in maintaining human upright posture. J. Physiol. 2009, 587, 2399–2416. [Google Scholar] [CrossRef]
- Aniss, A.M.; Diener, H.C.; Hore, J.; Gandevia, S.C.; Burke, D. Behavior of human muscle receptors when reliant on proprioceptive feedback during standing. J. Neurophysiol. 1990, 64, 661–670. [Google Scholar] [CrossRef] [PubMed]
- Isableu, B.; Ohlmann, T.; Cremieux, J.; Vuillerme, N.; Amblard, B.; Gresty, M.A. Individual differences in the ability to identify, select and use appropriate frames of reference for perceptuo-motor control. Neuroscience 2010, 169, 1199–1215. [Google Scholar] [CrossRef] [PubMed]
- Eils, E.; Schröter, R.; Schröder, M.; Gerss, J.; Rosenbaum, D. Multistation proprioceptive exercise program prevents ankle injuries in basketball. Med. Sci. Sports Exerc. 2010, 42, 2098–2105. [Google Scholar] [CrossRef] [PubMed]
- de Vasconcelos, G.S.; Cini, A.; Sbruzzi, G.; Lima, C.S. Effects of proprioceptive training on the incidence of ankle sprain in athletes: Systematic review and meta-analysis. Clin. Rehabil. 2018, 32, 1581–1590. [Google Scholar] [CrossRef]
- Hutt, K.; Redding, E. The effect of an eyes-closed dance-specific training program on dynamic balance in elite pre-professional ballet dancers: A randomized controlled pilot study. J. Dance Med. Sci. 2014, 18, 3–11. [Google Scholar] [CrossRef]
- Lee, H.; Han, S.; Page, G.; Bruening, D.A.; Seeley, M.K.; Hopkins, J.T. Effects of balance training with stroboscopic glasses on postural control in chronic ankle instability patients. Scand. J. Med. Sci. Sports 2022, 32, 576–587. [Google Scholar] [CrossRef]
- Ketterer, J.; Gollhofer, A.; Ringhof, S.; Assländer, L.; Granacher, U.; Gehring, D. Effects of balance training with visual input manipulations on balance performance and sensory integration in healthy young adults: A randomized controlled trial. Sci. Rep. 2024, 14, 28589. [Google Scholar] [CrossRef]
- Kavounoudias, A.; Roll, R.; Roll, J.P. Specific whole-body shifts induced by frequency-modulated vibrations of human plantar soles. Neurosci. Lett. 1999, 266, 181–184. [Google Scholar] [CrossRef]
- Stoffregen, T.A.; Bardy, B.G.; Bonnet, C.T.; Pagulayan, R.J. Postural Stabilization of Visually Guided Eye Movements. Ecol. Psychol. 2006, 18, 191–222. [Google Scholar] [CrossRef]



Disclaimer/Publisher’s Note: The statements, opinions and data contained in all publications are solely those of the individual author(s) and contributor(s) and not of MDPI and/or the editor(s). MDPI and/or the editor(s) disclaim responsibility for any injury to people or property resulting from any ideas, methods, instructions or products referred to in the content. |
© 2025 by the author. Licensee MDPI, Basel, Switzerland. This article is an open access article distributed under the terms and conditions of the Creative Commons Attribution (CC BY) license (https://creativecommons.org/licenses/by/4.0/).
Share and Cite
Chalmers, G.R. Triceps Surae Ia Proprioceptive Weighting in Postural Control During Quiet Stance with Vision Occlusion. J. Funct. Morphol. Kinesiol. 2025, 10, 430. https://doi.org/10.3390/jfmk10040430
Chalmers GR. Triceps Surae Ia Proprioceptive Weighting in Postural Control During Quiet Stance with Vision Occlusion. Journal of Functional Morphology and Kinesiology. 2025; 10(4):430. https://doi.org/10.3390/jfmk10040430
Chicago/Turabian StyleChalmers, Gordon R. 2025. "Triceps Surae Ia Proprioceptive Weighting in Postural Control During Quiet Stance with Vision Occlusion" Journal of Functional Morphology and Kinesiology 10, no. 4: 430. https://doi.org/10.3390/jfmk10040430
APA StyleChalmers, G. R. (2025). Triceps Surae Ia Proprioceptive Weighting in Postural Control During Quiet Stance with Vision Occlusion. Journal of Functional Morphology and Kinesiology, 10(4), 430. https://doi.org/10.3390/jfmk10040430
