Evaluation of Race Pace Using Critical Swimming Speed During 10 km Open-Water Swimming Competition
Abstract
1. Introduction
2. Materials and Methods
2.1. Data Analysis
2.2. Statistical Analysis
3. Results
3.1. Parameter Estimates Based on Previous Race Performances
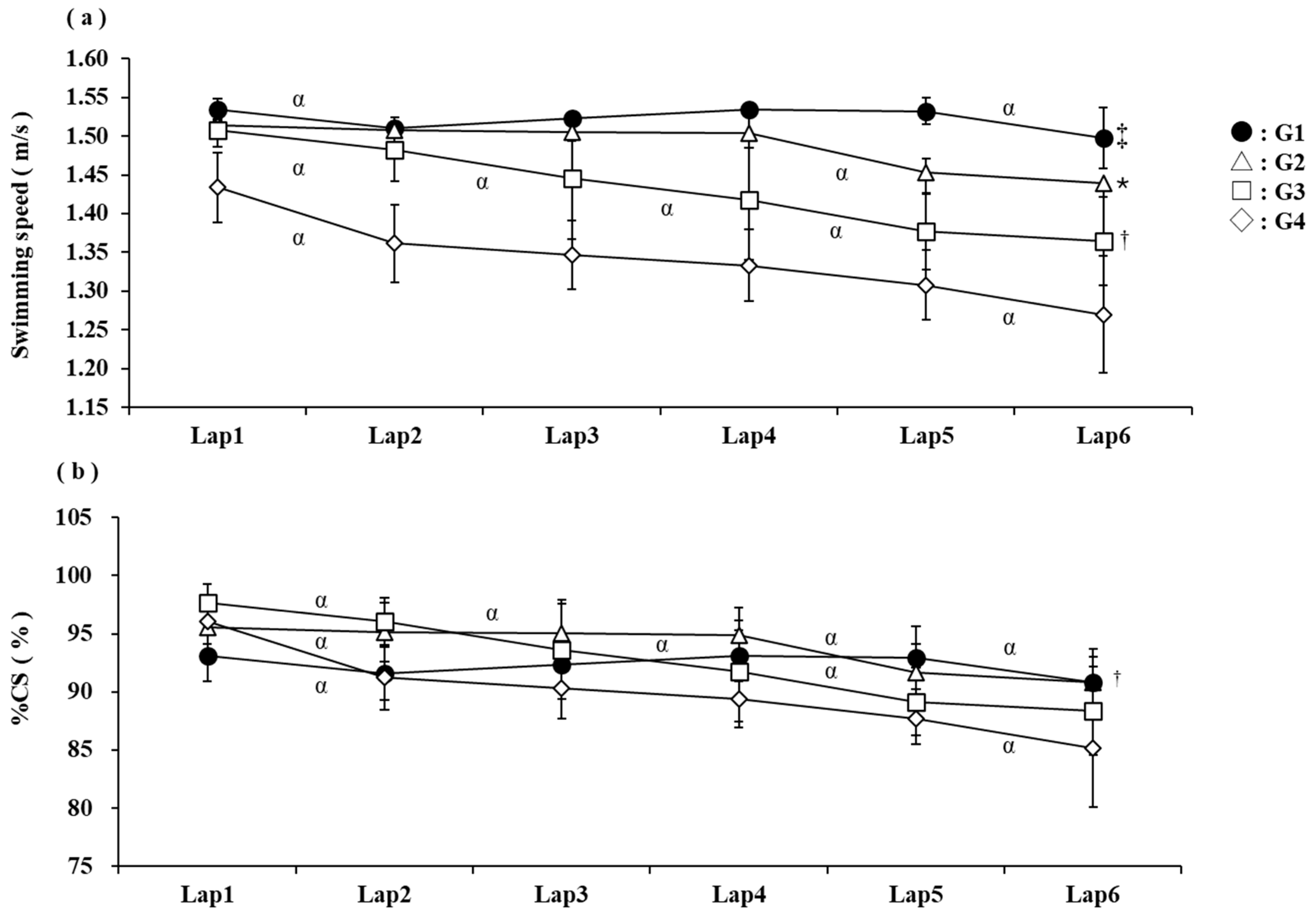
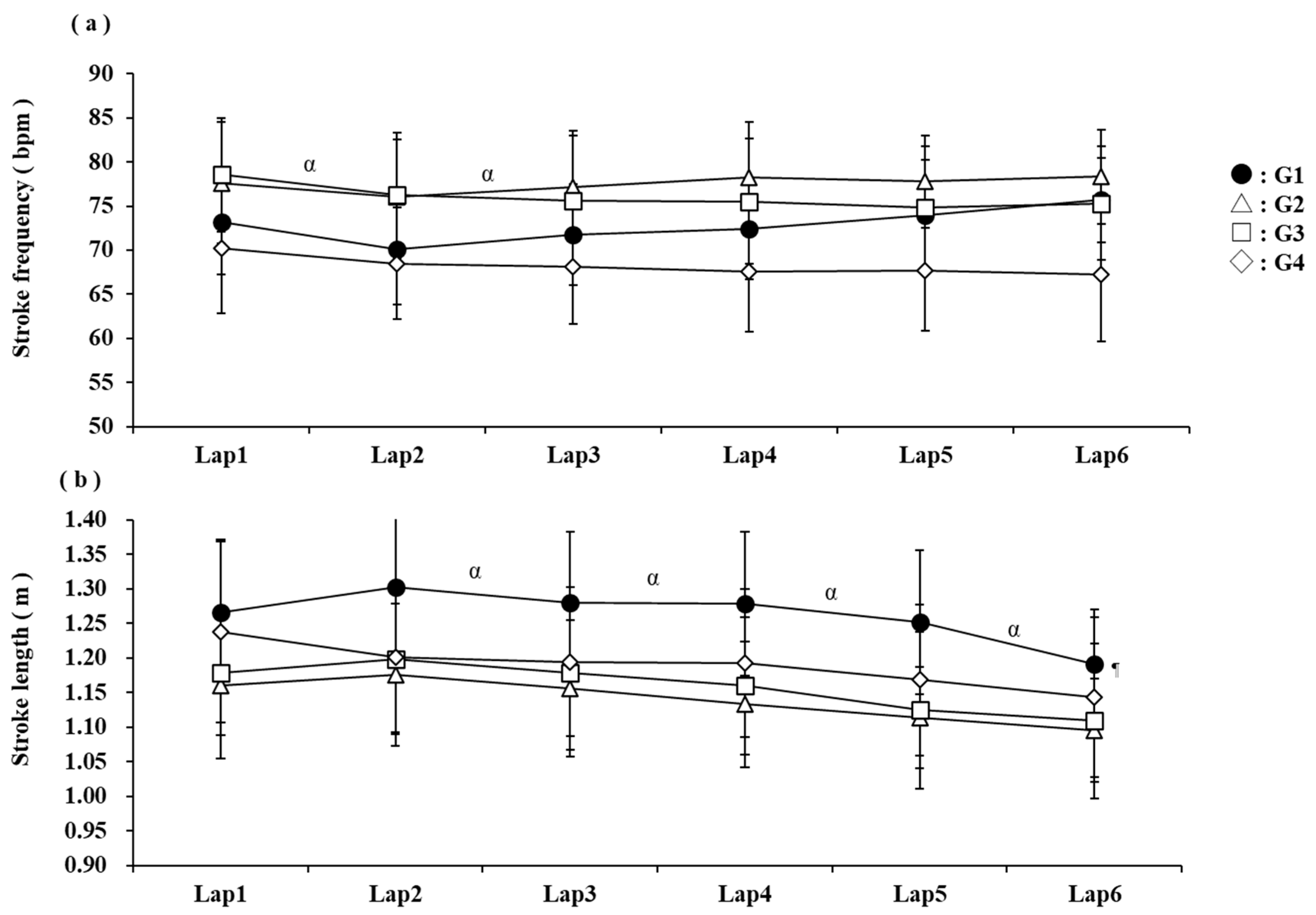
3.2. Race Performance During 10 km Open-Water Swimming
4. Discussion
4.1. Comparison of CS and D′ for Each Group
4.2. Comparison of Swimming Speed During the Race
4.3. Practical Applications
4.4. Limitations
5. Conclusions
Author Contributions
Funding
Institutional Review Board Statement
Informed Consent Statement
Data Availability Statement
Acknowledgments
Conflicts of Interest
Abbreviations
| SF | Stroke frequency |
| SL | Stroke length |
| CS | Critical speed |
| ANOVA | Analysis of variance |
References
- Rodriguez, L.; Veiga, S. Effect of the pacing strategies on the open-water 10-km world swimming championships performances. Int. J. Sports Physiol. Perform. 2018, 13, 694–700. [Google Scholar] [CrossRef]
- Baldassarre, R.; Bonifazi, M.; Piacentini, M.F. Pacing profile in the main international open-water swimming competitions. Eur. J. Sport Sci. 2019, 19, 422–431. [Google Scholar] [CrossRef]
- Saavedra, J.M.; Einarsson, I.; Sekulic, D.; Garcia-Hermoso, A. Analysis of pacing strategies in 10 km open water swimming in international events. Kinesiology 2018, 50, 243–250. [Google Scholar] [CrossRef]
- Veiga, S.; Rodriguez, L.; González-Frutos, P.; Navandar, A. Race strategies of open water swimmers in the 5-km, 10-km, and 25-km races of the 2017 FINA world swimming championships. Front. Psychol. 2019, 10, 654. [Google Scholar] [CrossRef] [PubMed]
- Pla, R.; Raineteau, Y.; Barbier, X.; Aubry, A. Physiological key determinants of elite open-water swimmers. Physiologia 2024, 4, 305–316. [Google Scholar] [CrossRef]
- López-Belmonte, Ó.; Baldassarre, R.; Ruiz-Navarro, J.J.; Bonifazi, M.; Arellano, R.; Piacentini, M.F. Lactate threshold and swimming performance in world-class open-water swimmers. Int. J. Sports Physiol. Perform. 2025, 1, 1–7. [Google Scholar] [CrossRef]
- Bouvet, A.; Pla, R.; Nicolas, G.; Bideau, N. Technical stroke regulations discriminate pacing effectiveness during a 5-km indoor pool race. Int. J. Sports Physiol. Perform. 2025, 1, 1–9. [Google Scholar] [CrossRef] [PubMed]
- Dekerle, J.; Sidney, M.; Hespel, J.M.; Pelayo, P. Validity and reliability of critical speed, critical stroke rate, and anaerobic capacity in relation to front crawl swimming performances. Int. J. Sports Med. 2002, 23, 93–98. [Google Scholar] [CrossRef]
- Pelarigo, J.G.; Fernandes, R.J.; Ribeiro, J.; Denadai, B.S.; Greco, C.C.; Vilas-Boas, J.P. Comparison of Different Methods for the Swimming Aerobic Capacity Evaluation. J. Strength Cond. Res. 2018, 32, 3542–3551. [Google Scholar] [CrossRef]
- Figueiredo, P.; Nazario, R.; Sousa, M.; Pelarigo, J.G.; Vilas-Boas, J.P.; Fernandes, R. Kinematical analysis along maximal lactate steady state swimming intensity. J. Sports Sci. Med. 2014, 13, 610. [Google Scholar]
- Fernandes, R.; VilasBoas, J.P. Critical velocity as a criterion for estimating aerobic training pace in juvenile swimmers. In Biomechanics and Medicine in Swimming VIII: Proceedings of the VIII International Symposium on Biomechanics and Medicine in Swimming, Jyvaskyla, Finland, 28 June–2 July 1998; Keskinen, K., Komi, P., Hollander, P., Eds.; University of Jyväskylä: Jyväskylä, Finland, 1999; pp. 233–238. [Google Scholar]
- Di Prampero, P.E.; Dekerle, J.; Capella, C.; Zamparo, P. The critical velocity in swimming. Eur. J. Appl. Physiol. 2008, 102, 165–171. [Google Scholar] [CrossRef]
- Dalamitros, A.A.; Fernandes, R.J.; Toubekis, A.G.; Manou, V.; Loupos, D.; Kellis, S. Is speed reserve related to critical speed and anaerobic distance capacity in swimming? J. Strength Cond. Res. 2015, 29, 1830–1836. [Google Scholar] [CrossRef]
- Zacca, R.; Fernandes, R.J.P.; Pyne, D.B.; Castro, F.A.d.S. Swimming training assessment: The critical velocity and the 400-m test for age-group swimmers. J. Strength Cond. Res. 2016, 30, 1365–1372. [Google Scholar] [CrossRef]
- Fernandes, R. Aerobic evaluation of young swimmers using the critical velocity test a brief report. J. Phys. Educ. Sport 2011, 11, 105–110. [Google Scholar]
- Neiva, H.; Fernandes, R.; Vilas-Boas, J. Anaerobic critical velocity in four swimming techniques. Int. J. Sports Med. 2011, 32, 195–198. [Google Scholar] [CrossRef]
- Wakayoshi, K.; Ikuta, K.; Yoshida, T.; Udo, M.; Moritani, T.; Mutoh, Y.; Miyashita, M. Determination and validity of critical velocity as an index of swimming performance in the competitive swimmer. Eur. J. Appl. Physiol. Occup. Physiol. 1992, 64, 153–157. [Google Scholar] [CrossRef] [PubMed]
- Wakayoshi, K.; Yoshida, T.; Udo, M.; Harada, T.; Moritani, T.; Mutoh, Y.; Miyashita, M. Does critical swimming velocity represent exercise intensity at maximal lactate steady state? Eur. J. Appl. Physiol. Occup. Physiol. 1993, 66, 90–95. [Google Scholar] [CrossRef]
- Pelarigo, J.G.; Greco, C.C.; Denadai, B.S.; Fernandes, R.J.; Vilas-Boas, J.P.; Pendergast, D.R. Do 5% changes around maximal lactate steady state lead to swimming biophysical modifications? Hum. Mov. Sci. 2016, 49, 258–266. [Google Scholar] [CrossRef]
- Zacca, R.; Neves, V.; da Silva Oliveira, T.; Soares, S.; Rama, L.M.P.L.; de Souza Castro, F.A.; Vilas-Boas, J.P.; Pyne, D.B.; Fernandes, R.J.; Pyne, D.B.; et al. 5 km front crawl in pool and open water swimming: Breath-by-breath energy expenditure and kinematic analysis. Eur. J. Appl. Physiol. 2020, 120, 2005–2018. [Google Scholar] [CrossRef] [PubMed]
- Baldassarre, R.; Pennacchi, M.; La Torre, A.; Bonifazi, M.; Piacentini, M.F. Do the fastest open-water swimmers have a higher speed in middle- and long-distance pool swimming events? J. Funct. Morphol. Kinesiol. 2019, 4, 15. [Google Scholar] [CrossRef]
- Rodríguez, L.; Veiga, S.; García, I.; González-Ravé, J.M. Stroking rates of open water swimmers during the 2019 FINA World Swimming Championships. Int. J. Environ. Res. Public Health 2021, 18, 6850. [Google Scholar] [CrossRef]
- Bouvet, A.; Robin, P.; Erwan, D.; Guillaume, N.; Bideau, N. Profiles of stroke regulations discriminate between finishing positions during international open water races. J. Sports Sci. 2023, 41, 1309–1316. [Google Scholar] [CrossRef] [PubMed]
- Morais, J.E.; Barbosa, T.M.; Nevill, A.M.; Cobley, S.; Marinho, D.A. Understanding the role of propulsion in the prediction of front-crawl swimming velocity and in the relationship between stroke frequency and stroke length. Front. Physiol. 2022, 13, 876838. [Google Scholar] [CrossRef] [PubMed]
- Costa, A.M.; Silva, A.J.; Garrido, N.; Louro, H.; Marinho, D.A.; Cardoso Marques, M.; Breitenfeld, L. Angiotensin-converting enzyme genotype affects skeletal muscle strength in elite athletes. J. Sports Sci. Med. 2009, 8, 410–418. [Google Scholar] [CrossRef]
- Puce, L.; Chamari, K.; Marinelli, L.; Mori, L.; Bove, M.; Faelli, E.; Fassone, M.; Cotellessa, F.; Bragazzi, N.L.; Trompetto, C.; et al. Muscle fatigue and swimming efficiency in behind and lateral drafting. Front. Physiol. 2022, 13, 835766. [Google Scholar] [CrossRef] [PubMed]




| G1 | G2 | G3 | G4 | F | p | |||
|---|---|---|---|---|---|---|---|---|
| 400 m time | s | mean | 231 ± 4 * | 238 ± 7 † | 242 ± 8 | 250 ± 10 | F (3,44) = 11.52 | <0.001 |
| CI | (228–233) | (235–242) | (238–246) | (244–257) | ||||
| 800 m time | s | mean | 472 ± 9 α | 489 ± 11 † | 496 ± 14 † | 514 ± 17 | F (3,46) = 17.57 | <0.001 |
| CI | (466–478) | (484–494) | (489–503) | (503–525) | ||||
| 1500 m time | s | mean | 898 ± 21 α | 930 ± 22 * | 953 ± 16 † | 984 ± 30 | F (3,47) = 27.29 | <0.001 |
| CI | (885–911) | (919–941) | (944–961) | (964–1003) | ||||
| Critical speed | m/s | mean | 1.65 ± 0.05 α | 1.59 ± 0.04 * | 1.54 ± 0.03 † | 1.49 ± 0.04 | F (3,49) = 32.81 | <0.001 |
| CI | (1.62–1.68) | (1.57–1.60) | (1.53–1.56) | (1.46–1.52) | ||||
| D′ | m | mean | 19.83 ± 9.12 | 24.10 ± 8.50 | 30.80 ± 14.61 | 29.82 ± 7.87 | F (3,49) = 2.89 | 0.05 |
| CI | (14.18–25.48) | (19.94–28.26) | (22.86–38.26) | (24.68–34.96) |
| G1 | G2 | G3 | G4 | F | p | |||
|---|---|---|---|---|---|---|---|---|
| Finish Time | s | mean | 6699 ± 45 * | 6834 ± 25 * | 7153 ± 198 † | 7643 ± 230 | F (3,49) = 89.09 | <0.001 |
| CI | (6667–6731) | (6822–6847) | (7044–7263) | (7479–7808) | ||||
| Swimming speed | m/s | mean | 1.52 ± 0.01 α | 1.49 ± 0.01 * | 1.43 ± 0.04 † | 1.34 ± 0.04 | F (3,49) = 96.32 | <0.001 |
| CI | (1.51–1.53) | (1.48–1.49) | (1.41–1.45) | (1.31–1.37) | ||||
| Stroke frequency | rpm | mean | 72.86 ± 5.66 | 77.52 ± 5.68 † | 75.59 ± 6.60 † | 68.24 ± 6.71 | F (3,49) = 5.29 | <0.001 |
| CI | (68.81–76.90) | (74.70–80.35) | (71.94–94.24) | (63.44–73.04) | ||||
| Stroke length | m | mean | 1.26 ± 0.10 ¶ | 1.16 ± 0.09 | 1.14 ± 0.11 | 1.19 ± 0.11 | F (3,49) = 3.30 | 0.05 |
| CI | (1.19–1.33) | (1.12–1.20) | (1.08–1.20) | (1.11–1.27) | ||||
| %Critical speed | % | mean | 92.31 ± 2.27 | 93.84 ± 2.25 † | 92.72 ± 1.85 † | 89.96 ± 1.83 | F (3,49) = 7.58 | <0.001 |
| CI | (90.68–93.93) | (91.96–93.75) | (91.69–93.75) | (91.63–93.17) |
Disclaimer/Publisher’s Note: The statements, opinions and data contained in all publications are solely those of the individual author(s) and contributor(s) and not of MDPI and/or the editor(s). MDPI and/or the editor(s) disclaim responsibility for any injury to people or property resulting from any ideas, methods, instructions or products referred to in the content. |
© 2025 by the authors. Licensee MDPI, Basel, Switzerland. This article is an open access article distributed under the terms and conditions of the Creative Commons Attribution (CC BY) license (https://creativecommons.org/licenses/by/4.0/).
Share and Cite
Fujito, Y.; Fujimoto, T.; Hara, R.; Yoshida, R.; Funato, K. Evaluation of Race Pace Using Critical Swimming Speed During 10 km Open-Water Swimming Competition. J. Funct. Morphol. Kinesiol. 2025, 10, 302. https://doi.org/10.3390/jfmk10030302
Fujito Y, Fujimoto T, Hara R, Yoshida R, Funato K. Evaluation of Race Pace Using Critical Swimming Speed During 10 km Open-Water Swimming Competition. Journal of Functional Morphology and Kinesiology. 2025; 10(3):302. https://doi.org/10.3390/jfmk10030302
Chicago/Turabian StyleFujito, Yasunori, Tomomi Fujimoto, Reira Hara, Ryuhei Yoshida, and Kazuo Funato. 2025. "Evaluation of Race Pace Using Critical Swimming Speed During 10 km Open-Water Swimming Competition" Journal of Functional Morphology and Kinesiology 10, no. 3: 302. https://doi.org/10.3390/jfmk10030302
APA StyleFujito, Y., Fujimoto, T., Hara, R., Yoshida, R., & Funato, K. (2025). Evaluation of Race Pace Using Critical Swimming Speed During 10 km Open-Water Swimming Competition. Journal of Functional Morphology and Kinesiology, 10(3), 302. https://doi.org/10.3390/jfmk10030302

