Impact of a 10-Week Strength Training Program on Physical Performance and Match External Load in Young Elite Female Soccer Players
Abstract
1. Introduction
2. Materials and Methods
2.1. Study Design
2.2. Participants
2.3. Procedures
2.4. Test
2.4.1. Countermovement Jump Height
2.4.2. Yo-Yo Intermittent Recovery Level 2 Test
2.5. Match Running Demands
2.6. Strength Training Program
2.7. Statistical Analysis
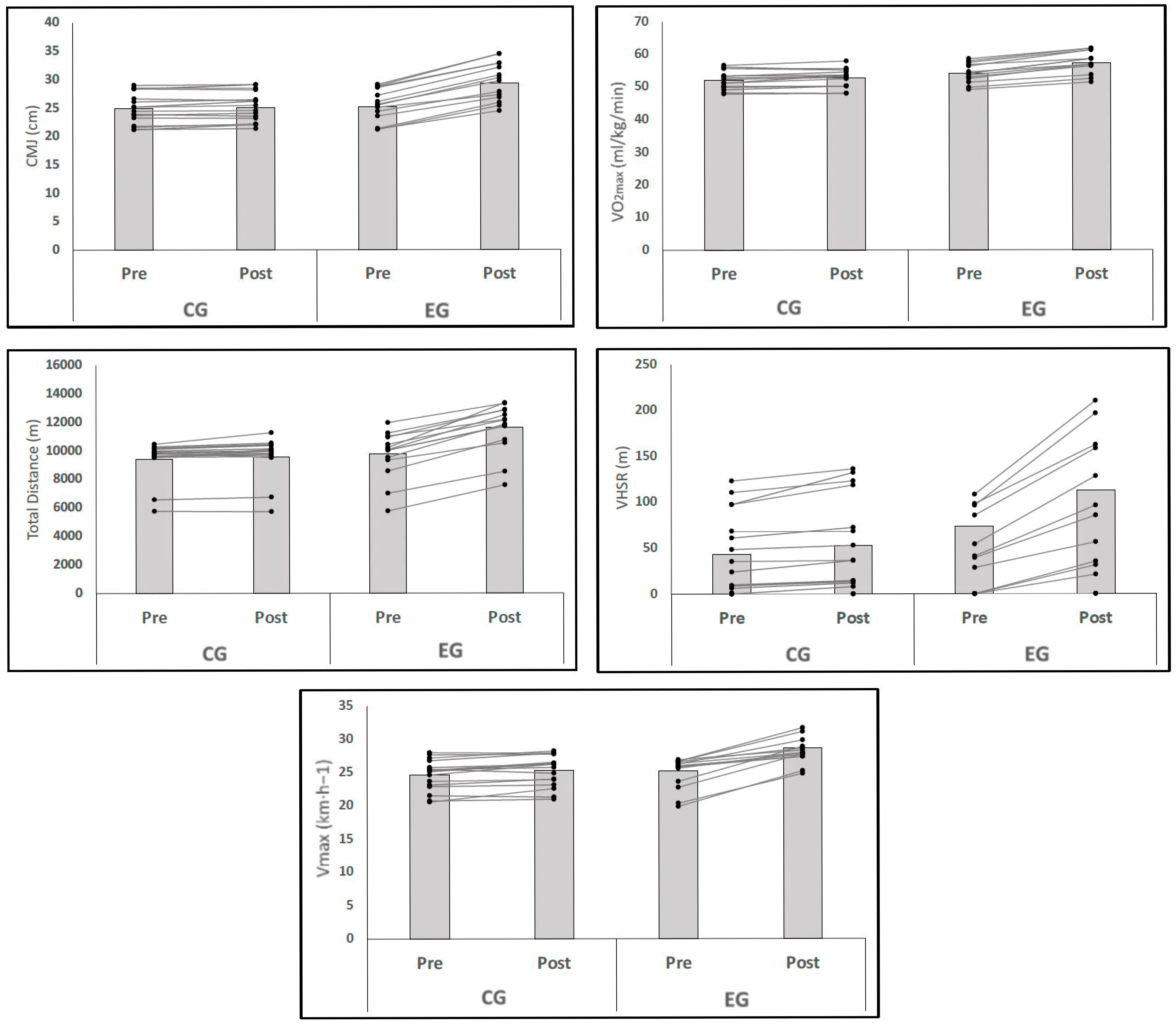
3. Results
4. Discussion
5. Conclusions
Author Contributions
Funding
Institutional Review Board Statement
Informed Consent Statement
Data Availability Statement
Acknowledgments
Conflicts of Interest
References
- Ade, J.; Fitzpatrick, J.; Bradley, P.S. High-Intensity Efforts in Elite Soccer Matches and Associated Movement Patterns, Technical Skills and Tactical Actions. Information for Position-Specific Training Drills. J. Sports Sci. 2016, 34, 2205–2214. [Google Scholar] [CrossRef] [PubMed]
- Pons, E.; Ponce-Bordón, J.C.; Díaz-García, J.; López Del Campo, R.; Resta, R.; Peirau, X.; García-Calvo, T. A Longitudinal Exploration of Match Running Performance during a Football Match in the Spanish La Liga: A Four-Season Study. Int. J. Environ. Res. Public Health 2021, 18, 1133. [Google Scholar] [CrossRef] [PubMed]
- Milanović, Z.; Sporiš, G.; James, N.; Trajković, N.; Ignjatović, A.; Sarmento, H.; Trecroci, A.; Mendes, B.M.B. Physiological Demands, Morphological Characteristics, Physical Abilities and Injuries of Female Soccer Players. J. Hum. Kinet. 2017, 60, 77–83. [Google Scholar] [CrossRef] [PubMed]
- Bradley, P.S.; Dellal, A.; Mohr, M.; Castellano, J.; Wilkie, A. Gender Differences in Match Performance Characteristics of Soccer Players Competing in the UEFA Champions League. Hum. Mov. Sci. 2014, 33, 159–171. [Google Scholar] [CrossRef]
- Datson, N.; Drust, B.; Weston, M.; Jarman, I.H.; Lisboa, P.J.; Gregson, W. Match Physical Performance of Elite Female Soccer Players During International Competition. J. Strength Cond. Res. 2017, 31, 2379–2387. [Google Scholar] [CrossRef]
- Mara, J.K.; Thompson, K.G.; Pumpa, K.L.; Morgan, S. Quantifying the High-Speed Running and Sprinting Profiles of Elite Female Soccer Players During Competitive Matches Using an Optical Player Tracking System. J. Strength Cond. Res. 2017, 31, 1500–1508. [Google Scholar] [CrossRef]
- Ramos, G.P.; Nakamura, F.Y.; Penna, E.M.; Wilke, C.F.; Pereira, L.A.; Loturco, I.; Capelli, L.; Mahseredjian, F.; Silami-Garcia, E.; Coimbra, C.C. Activity Profiles in U17, U20, and Senior Women’s Brazilian National Soccer Teams During International Competitions: Are There Meaningful Differences? J. Strength Cond. Res. 2019, 33, 3414–3422. [Google Scholar] [CrossRef]
- Scott, D.; Norris, D.; Lovell, R. Dose-Response Relationship Between External Load and Wellness in Elite Women’s Soccer Matches: Do Customized Velocity Thresholds Add Value? Int. J. Sports Physiol. Perform. 2020, 15, 1245–1251. [Google Scholar] [CrossRef]
- Faude, O.; Koch, T.; Meyer, T. Straight Sprinting Is the Most Frequent Action in Goal Situations in Professional Football. J. Sports Sci. 2012, 30, 625–631. [Google Scholar] [CrossRef]
- Slimani, M.; Znazen, H.; Miarka, B.; Bragazzi, N.L. Maximum Oxygen Uptake of Male Soccer Players According to Their Competitive Level, Playing Position and Age Group: Implication from a Network Meta-Analysis. J. Hum. Kinet. 2019, 66, 233–245. [Google Scholar] [CrossRef]
- Nimphius, S.; McGuigan, M.R.; Newton, R.U. Relationship between Strength, Power, Speed, and Change of Direction Performance of Female Softball Players. J. Strength Cond. Res. 2010, 24, 885–895. [Google Scholar] [CrossRef]
- Silva, J.R.; Nassis, G.P.; Rebelo, A. Strength Training in Soccer with a Specific Focus on Highly Trained Players. Sports Med. Open 2015, 1, 17. [Google Scholar] [CrossRef] [PubMed]
- Raya González, J.; Sánchez Sánchez, J. Strength Training Methods for Improving Actions in Football. Apunts Educ. Física Deport. 2018, 34, 72–93. [Google Scholar] [CrossRef]
- Millar, N.A.; Colenso-Semple, L.M.; Lockie, R.G.; Marttinen, R.H.J.; Galpin, A.J. In-Season Hip Thrust vs. Back Squat Training in Female High School Soccer Players. Int. J. Exerc. Sci. 2020, 13, 49–61. [Google Scholar] [CrossRef] [PubMed]
- Sporiš, G.; Jovanović, M.; Krakan, I.; Fiorentini, F. Effects of Strength Training on Aerobic and Anaerobic Power in Female Soccer Players. Sport Sci. Int. Sci. J. Kinesiol. 2011, 4, 32–37. [Google Scholar]
- Wing, C. In-Season Strength and Power Training Considerations for Professional Soccer Teams Competing Within National Level Competitions. Strength Cond. J. 2018, 40, 12–22. [Google Scholar] [CrossRef]
- Gualtieri, A.; Rampinini, E.; Sassi, R.; Beato, M. Workload Monitoring in Top-Level Soccer Players During Congested Fixture Periods. Int. J. Sports Med. 2020, 41, 677–681. [Google Scholar] [CrossRef]
- Guimarães, R.; García Calvo, T.; Lobo-Triviño, D.; Ponce Bordón, J.; Raya-González, J. Holistic Workload Quantification within a Professional Soccer Microcycle Considering Players’ Match Participation. Appl. Sci. 2024, 14, 5139. [Google Scholar] [CrossRef]
- González-Badillo, J.J.; Rodríguez-Rosell, D.; Sánchez-Medina, L.; Ribas, J.; López-López, C.; Mora-Custodio, R.; Yañez-García, J.M.; Pareja-Blanco, F. Short-Term Recovery Following Resistance Exercise Leading or Not to Failure. Int. J. Sports Med. 2016, 37, 295–304. [Google Scholar] [CrossRef]
- Byrkjedal, P.T.; Thunshelle, A.; Spencer, M.; Luteberget, L.S.; Ivarsson, A.; Vårvik, F.T.; Lindberg, K.; Bjørnsen, T. In-Season Autoregulation of One Weekly Strength Training Session Maintains Physical and External Load Match Performance in Professional Male Football Players. J. Sports Sci. 2023, 41, 536–546. [Google Scholar] [CrossRef]
- Pedersen, S.; Welde, B.; Sagelv, E.H.; Heitmann, K.A.; Randers, M.B.; Johansen, D.; Pettersen, S.A. Associations between Maximal Strength, Sprint, and Jump Height and Match Physical Performance in High-Level Female Football Players. Scand. J. Med. Sci. Sports 2022, 32 (Suppl. S1), 54–61. [Google Scholar] [CrossRef]
- Arnason, A.; Sigurdsson, S.B.; Gudmundsson, A.; Holme, I.; Engebretsen, L.; Bahr, R. Physical Fitness, Injuries, and Team Performance in Soccer. Med. Sci. Sports Exerc. 2004, 36, 278–285. [Google Scholar] [CrossRef] [PubMed]
- Choice, E.; Tufano, J.; Jagger, K.; Hooker, K.; Cochrane-Snyman, K.C. Differences across Playing Levels for Match-Play Physical Demands in Women’s Professional and Collegiate Soccer: A Narrative Review. Sports 2022, 10, 141. [Google Scholar] [CrossRef] [PubMed]
- Lambright, K.R.; Bunn, J.A.; Figueroa, Y.; Muñoz, M. Resistance Training Versus Interval Training in Female Youth Soccer Players. Women Sport Phys. Act. J. 2024, 32. [Google Scholar] [CrossRef]
- Raya-González, J.; Castillo, D.; de Keijzer, K.L.; Beato, M. The Effect of a Weekly Flywheel Resistance Training Session on Elite U-16 Soccer Players’ Physical Performance during the Competitive Season. A Randomized Controlled Trial. Res. Sports Med. Print 2021, 29, 571–585. [Google Scholar] [CrossRef]
- Balsalobre-Fernández, C.; Glaister, M.; Lockey, R.A. The Validity and Reliability of an iPhone App for Measuring Vertical Jump Performance. J. Sports Sci. 2015, 33, 1574–1579. [Google Scholar] [CrossRef]
- Raya-González, J.; Scanlan, A.T.; Soto-Célix, M.; Rodríguez-Fernández, A.; Castillo, D. Caffeine Ingestion Improves Performance During Fitness Tests but Does Not Alter Activity During Simulated Games in Professional Basketball Players. Int. J. Sports Physiol. Perform. 2021, 16, 387–394. [Google Scholar] [CrossRef]
- Krustrup, P.; Mohr, M.; Amstrup, T.; Rysgaard, T.; Johansen, J.; Steensberg, A.; Pedersen, P.K.; Bangsbo, J. The Yo-Yo Intermittent Recovery Test: Physiological Response, Reliability, and Validity. Med. Sci. Sports Exerc. 2003, 35, 697–705. [Google Scholar] [CrossRef]
- Akyildiz, Z.; Yıldız, M.; Clemente, F. The Reliability and Accuracy of Polar Team Pro GPS Units. Proc. Inst. Mech. Eng. Part P J. Sports Eng. Technol. 2020, 236, 83–89. [Google Scholar] [CrossRef]
- Sánchez-Medina, L.; González-Badillo, J.J. Velocity Loss as an Indicator of Neuromuscular Fatigue during Resistance Training. Med. Sci. Sports Exerc. 2011, 43, 1725–1734. [Google Scholar] [CrossRef]
- Cohen, J. Statistical Power Analysis for the Behavioral Sciences, 2nd ed.; Hillsdale, N.J., Ed.; Lawrence Erlbaum Associates: Mahwah, NJ, USA, 1988; ISBN 978-0-8058-0283-2. [Google Scholar]
- Nuzzo, J.L.; McBride, J.M.; Cormie, P.; McCaulley, G.O. Relationship between Countermovement Jump Performance and Multijoint Isometric and Dynamic Tests of Strength. J. Strength Cond. Res. 2008, 22, 699–707. [Google Scholar] [CrossRef]
- Wisløff, U.; Castagna, C.; Helgerud, J.; Jones, R.; Hoff, J. Strong Correlation of Maximal Squat Strength with Sprint Performance and Vertical Jump Height in Elite Soccer Players. Br. J. Sports Med. 2004, 38, 285–288. [Google Scholar] [CrossRef]


| Exercises | Illustrations | Sets | Repetitions | |
|---|---|---|---|---|
| Bulgarian split squat | ![]() | ![]() | 4 | 6 (12) |
| Quick steps with band | ![]() | ![]() | 4 | 10 s |
| Dumble bent row | ![]() | ![]() | 4 | 6 (12) |
| One leg deadlift | ![]() | ![]() | 4 | 6 (12) |
| Quick step up | ![]() | ![]() | 4 | 6 each leg |
| Lever chest press | ![]() | ![]() | 4 | 6 (12) |
| Cable abduction + adduction | ![]() | ![]() | 2 | 6 (12) |
![]() | ![]() | |||
| Reverse hyperextension | ![]() | ![]() | 3 | 12 |
| Knee up crunch + leg raise | ![]() | ![]() | 3 | 15 + 10 |
![]() | ![]() | |||
| Plank series | ![]() | ![]() | 3 | 30 s + 10 s + 30 s + 10 s |
![]() | ![]() | |||
| One leg on Bosu, reaching 3 directions with each hand | ![]() | ![]() | 3 | One set each leg |
![]() | ![]() | |||
| Exercises | Illustrations | Sets | Repetitions | |
|---|---|---|---|---|
| Walking lunge | ![]() | ![]() | 4 | 6 (12) |
![]() | ![]() | |||
| Bird dog | ![]() | ![]() | 3 | 12 each side |
| 4-sided change of direction CMJ and drop jump | ![]() | ![]() | 3 | 3 rounds |
![]() | ![]() | |||
| Prone hamstring curl | ![]() | ![]() | 4 | 6 |
| Leg raise and hip raise | ![]() | ![]() | 3 | 6 + 6 |
| Boxing | ![]() | ![]() | 3 | 1 min |
| Abduction + adduction with band | ![]() | ![]() | 2 | 12 |
![]() | ![]() | |||
| V-sit trunk rotation with weight | ![]() | ![]() | 3 | 6 each side |
| One-leg side-to-side jump and hold | ![]() | ![]() | 4 | 5 |
| Plank series | ![]() | ![]() | 3 | 30 s + 10 s + 30 s + 10 s |
![]() | ![]() | |||
| CG (n = 16) | EG (n = 16) | Between Group Differences | |||||||||||
|---|---|---|---|---|---|---|---|---|---|---|---|---|---|
| Variables | Baseline (Mean ± SD) | Post Training (Mean ± SD) | Δ (%) | p | ES | Baseline (Mean ± SD) | Post Training (Mean ± SD) | Δ (%) | p | ES | F | p | η2 |
| CMJ (cm) | 24.84 ± 2.72 | 25.07 ± 2.65 | 0.93 | 1.000 | 0.08 | 25.10 ± 2.84 | 29.20 ± 3.37 | 16.33 | 0.001 | 1.44 | 45.75 | 0.001 | 0.302 |
| VO2max (ml/kg/min) | 52.03 ± 2.87 | 52.51 ± 2.83 | 0.92 | 0.342 | 0.17 | 54.01 ± 2.78 | 57.14 ± 3.22 | 5.80 | 0.001 | 1.13 | 47.17 | 0.001 | 0.150 |
| TD (m) | 9377 ± 1300 | 9543 ± 1370 | 1.77 | 0.675 | 0.13 | 9773 ± 1566 | 11628 ± 160.70 | 19.39 | 0.001 | 1.18 | 31.59 | 0.001 | 0.250 |
| VHSR (m) | 42.88 ± 44.17 | 52.67 ± 49.93 | 22.83 | 0.694 | 0.22 | 47.00 ± 41.90 | 92.38 ± 71.90 | 96.55 | 0.001 | 1.08 | 27.40 | 0.001 | 0.074 |
| Vmax (km·h−1) | 24.63 ± 2.35 | 25.24 ± 2.39 | 2.48 | 0.498 | 0.26 | 25.17 ± 2.33 | 28.56 ± 2.20 | 13.47 | 0.001 | 1.45 | 38.26 | 0.001 | 0.294 |
Disclaimer/Publisher’s Note: The statements, opinions and data contained in all publications are solely those of the individual author(s) and contributor(s) and not of MDPI and/or the editor(s). MDPI and/or the editor(s) disclaim responsibility for any injury to people or property resulting from any ideas, methods, instructions or products referred to in the content. |
© 2025 by the authors. Licensee MDPI, Basel, Switzerland. This article is an open access article distributed under the terms and conditions of the Creative Commons Attribution (CC BY) license (https://creativecommons.org/licenses/by/4.0/).
Share and Cite
Bal, S.P.; Martínez-Aranda, L.M.; Krustrup, P.; Raya-González, J. Impact of a 10-Week Strength Training Program on Physical Performance and Match External Load in Young Elite Female Soccer Players. J. Funct. Morphol. Kinesiol. 2025, 10, 289. https://doi.org/10.3390/jfmk10030289
Bal SP, Martínez-Aranda LM, Krustrup P, Raya-González J. Impact of a 10-Week Strength Training Program on Physical Performance and Match External Load in Young Elite Female Soccer Players. Journal of Functional Morphology and Kinesiology. 2025; 10(3):289. https://doi.org/10.3390/jfmk10030289
Chicago/Turabian StyleBal, Sefika Pelin, Luis Manuel Martínez-Aranda, Peter Krustrup, and Javier Raya-González. 2025. "Impact of a 10-Week Strength Training Program on Physical Performance and Match External Load in Young Elite Female Soccer Players" Journal of Functional Morphology and Kinesiology 10, no. 3: 289. https://doi.org/10.3390/jfmk10030289
APA StyleBal, S. P., Martínez-Aranda, L. M., Krustrup, P., & Raya-González, J. (2025). Impact of a 10-Week Strength Training Program on Physical Performance and Match External Load in Young Elite Female Soccer Players. Journal of Functional Morphology and Kinesiology, 10(3), 289. https://doi.org/10.3390/jfmk10030289



























































