Relationships Between Effort, Rate of Perceived Exertion, and Readiness During a Warm-Up for High-Speed Sprinting
Abstract
1. Introduction
2. Materials and Methods
2.1. Participants
2.2. Procedure
2.3. Measurements
2.4. Statistical Analysis
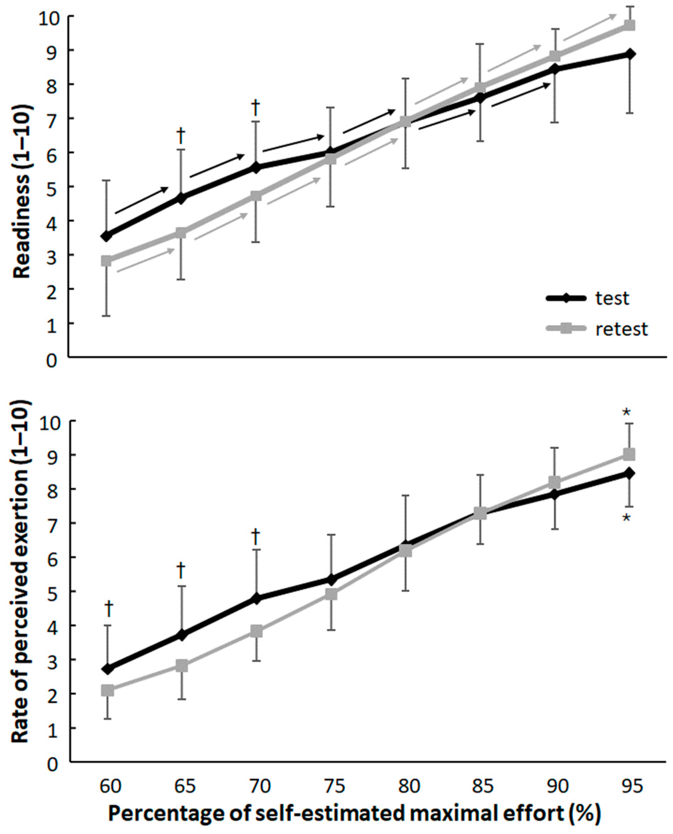
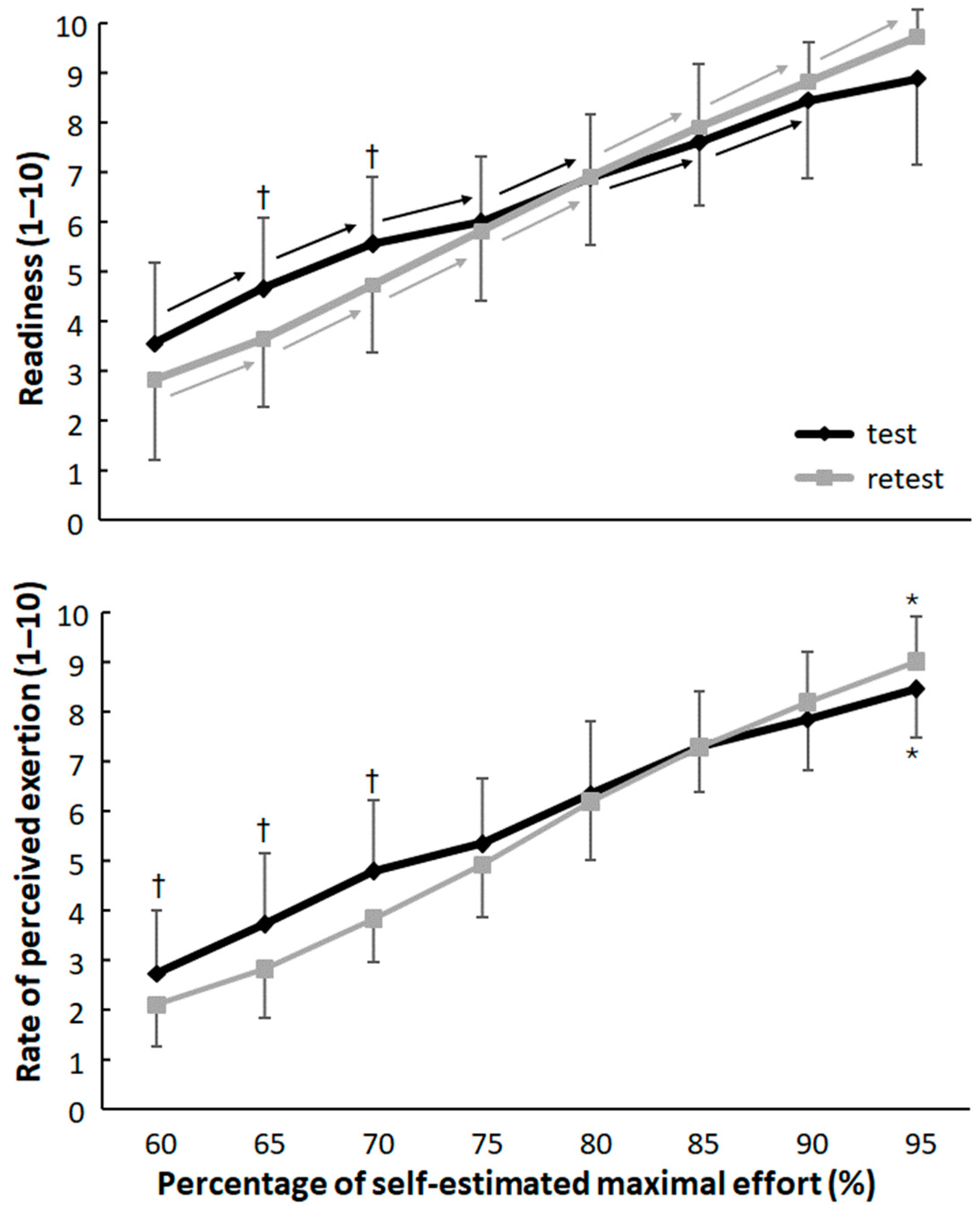
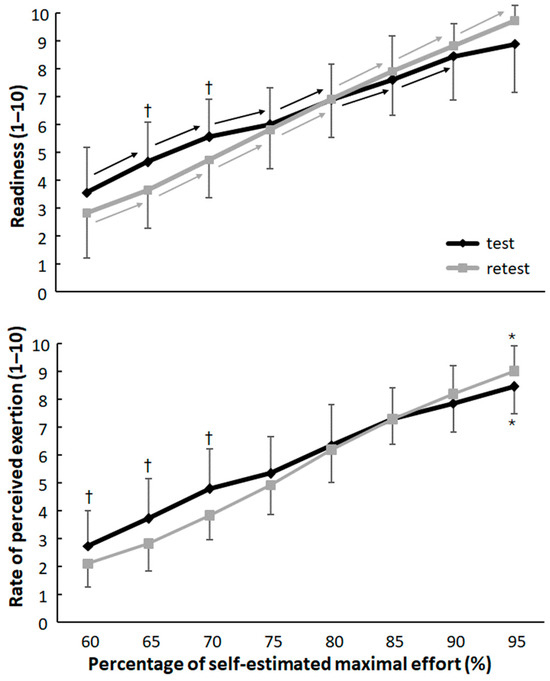
3. Results
4. Discussion
5. Conclusions
Author Contributions
Funding
Institutional Review Board Statement
Informed Consent Statement
Data Availability Statement
Conflicts of Interest
References
- Ladwig, M.A. The psychological effects of a pre-workout warm-up: An exploratory study. J. Multidisc. Res. 2013, 5, 79–87. [Google Scholar]
- Gencer, E. Psychological Aspect of Pre-Competition Warm-Up: Motivational Process and Outcomes. J. Educ. Issues 2021, 7, 431–448. [Google Scholar] [CrossRef]
- Kirkendall, D.T.; Junge, A.; Dvorak, J. Prevention of football injuries. Asian J. Sports Med. 2010, 1, 81. [Google Scholar] [CrossRef] [PubMed]
- Kirkendall, D.T.; Dvorak, J. Effective injury prevention in soccer. Phys. Sportsmed. 2010, 38, 147–157. [Google Scholar] [CrossRef]
- Fradkin, A.J.; Zazryn, T.R.; Smoliga, J.M. Effects of warming-up on physical performance: A systematic review with meta-analysis. J. Strength Cond. Res. 2010, 24, 140–148. [Google Scholar] [CrossRef]
- Bompa, T.O. Theory and Methodology of Training; Kendall: Toronto, ON, Canada, 1994. [Google Scholar]
- Bishop, D. Warm up II: Performance changes following active warm up and how to structure the warm up. Sports Med. 2003, 33, 483–498. [Google Scholar] [CrossRef]
- Bishop, D. Warm Up I: Potential Mechanisms and the Effects of Passive Warm Up on Exercise Performance. Sports Med. 2003, 33, 439–454. [Google Scholar] [CrossRef]
- Shellock, F.G. Physiological benefits of warm-up. Phys. Sportsmed. 1983, 11, 134–139. [Google Scholar] [CrossRef]
- van den Tillaar, R.; Lerberg, E.; von Heimburg, E. Comparison of three types of warm-up upon sprint ability in experienced soccer players. J. Sport Health Sci. 2016, 8, 574–578. [Google Scholar] [CrossRef]
- Soligard, T.; Myklebust, G.; Steffen, K.; Holme, I.; Silvers, H.; Bizzini, M.; Junge, A.; Dvorak, J.; Bahr, R.; Andersen, T.E. Comprehensive warm-up programme to prevent injuries in young female footballers: Cluster randomised controlled trial. Bmj 2008, 337, a2469. [Google Scholar] [CrossRef]
- Silva, L.M.; Neiva, H.P.; Marques, M.C.; Izquierdo, M.; Marinho, D.A. Effects of warm-up, post-warm-up, and re-warm-up strategies on explosive efforts in team sports: A systematic review. Sports Med. 2018, 48, 2285–2299. [Google Scholar] [CrossRef] [PubMed]
- Andrade, D.C.; Henriquez-Olguin, C.; Beltran, A.R.; Ramirez, M.A.; Labarca, C.; Cornejo, M.; Alvarez, C.; Ramirez-Campillo, R. Effects of general, specific and combined warm-up on explosive muscular performance. Biol. Sport 2015, 32, 123–128. [Google Scholar] [CrossRef] [PubMed]
- Ribeiro, B.; Pereira, A.; Neves, P.; Marinho, D.; Marques, M.; Neiva, H.P. The effect of warm-up in resistance training and strength performance: A systematic review. Motricidade 2021, 17, 87–94. [Google Scholar]
- van den Tillaar, R.; Vatten, T.; von Heimburg, E. Effects of short or long warm-up on intermediate running performance. J. Strength Cond. Res. 2017, 31, 37–44. [Google Scholar] [CrossRef]
- van den Tillaar, R.; von Heimburg, E. Comparison of two types of warm-up upon repeated sprint performance in experienced soccer players. J. Strength Cond. Res. 2016, 30, 2258–2265. [Google Scholar] [CrossRef]
- Ibbott, P.; Ball, N.; Welvaert, M.; Thompson, K.G. The effect of self-paced and prescribed interset rest strategies on performance in strength training. Int. J. Sports Physiol. Perform. 2019, 14, 980–986. [Google Scholar] [CrossRef]
- Akkari, A.; Machin, D.; Tanaka, H. Greater progression of athletic performance in older Masters athletes. Age Ageing 2015, 44, 683–686. [Google Scholar] [CrossRef]
- Cuenca-Fernández, F.; Ruiz-Navarro, J.J.; Arellano, R.; Marko, Đ.; Stojanović, N. Is Warm-Up Preservation Modulated by Biological Maturation and Sex? Effects on Lower Limbs Performance. Scand. J. Med. Sci. Sports 2024, 34, e14747. [Google Scholar] [CrossRef]
- Solli, G.S.; Haugnes, P.; Kocbach, J.; van den Tillaar, R.; Torvik, P.Ø.; Sandbakk, Ø. The effects of a short specific versus a long traditional warm-up on time-trial performance in cross-country skiing sprint. Int. J. Sports Physiol. Perf. 2020, 15, 941–948. [Google Scholar] [CrossRef]
- Borg, E.; Kaijser, L. A comparison between three rating scales for perceived exertion and two different work tests. Scand. J. Med. Sci. Sports 2006, 16, 57–69. [Google Scholar] [CrossRef]
- Munro, B.H. Statistical Methods for Health Care Research; Lippincott Williams & Wilkins: Philadelphia, PA, USA, 2005; Volume 1. [Google Scholar]
- Cohen, J. Statistical Power Analysis for the Behavioral Sciences; Lawrence Erlbaum Associates: Hillsdale, NJ, USA, 1988; p. 174. [Google Scholar]
- Taber, K.S. The Use of Cronbach’s Alpha When Developing and Reporting Research Instruments in Science Education. Res. Sci. Educ. 2018, 48, 1273–1296. [Google Scholar] [CrossRef]
- Herman, L.; Foster, C.; Maher, M.; Mikat, R.; Porcari, J. Validity and reliability of the session RPE method for monitoring exercise training intensity. S. Afr. J. Sports Med. 2006, 18, 14–17. [Google Scholar] [CrossRef]
- Buckley, J.P.; Eston, R. Ratings of perceived exertion. In Sport and Exercise Physiology Testing Guidelines: Volume II-Exercise and Clinical Testing; Routledge: London, UK, 2022; pp. 111–120. [Google Scholar]
- Lamb, K.L.; Eston, R.G.; Corns, D. Reliability of ratings of perceived exertion during progressive treadmill exercise. Brit. J. Sports Med. 1999, 33, 336–339. [Google Scholar] [CrossRef] [PubMed]
- Painter, R.; Pearce, A.; Rostami, M.; Frazer, A.; Kidgell, D. Determining the corticospinal and neuromuscular responses following a warm-up protocol. J. Sci. Med. 2020, 2, 1–12. [Google Scholar] [CrossRef]



| Test | Retest | ||||
|---|---|---|---|---|---|
| Readiness | RPE | Readiness | RPE | ICC | |
| Percentage of effort | 0.72 | 0.81 | 0.80 | 0.78 | 0.73 |
| Readiness | - | 0.81 | 0.90 | 0.71 | |
| RPE | 0.75 | ||||
Disclaimer/Publisher’s Note: The statements, opinions and data contained in all publications are solely those of the individual author(s) and contributor(s) and not of MDPI and/or the editor(s). MDPI and/or the editor(s) disclaim responsibility for any injury to people or property resulting from any ideas, methods, instructions or products referred to in the content. |
© 2025 by the authors. Licensee MDPI, Basel, Switzerland. This article is an open access article distributed under the terms and conditions of the Creative Commons Attribution (CC BY) license (https://creativecommons.org/licenses/by/4.0/).
Share and Cite
Tillaar, R.v.d.; Ball, N.; Torvik, P.Ø. Relationships Between Effort, Rate of Perceived Exertion, and Readiness During a Warm-Up for High-Speed Sprinting. J. Funct. Morphol. Kinesiol. 2025, 10, 155. https://doi.org/10.3390/jfmk10020155
Tillaar Rvd, Ball N, Torvik PØ. Relationships Between Effort, Rate of Perceived Exertion, and Readiness During a Warm-Up for High-Speed Sprinting. Journal of Functional Morphology and Kinesiology. 2025; 10(2):155. https://doi.org/10.3390/jfmk10020155
Chicago/Turabian StyleTillaar, Roland van den, Nick Ball, and Per Øyvind Torvik. 2025. "Relationships Between Effort, Rate of Perceived Exertion, and Readiness During a Warm-Up for High-Speed Sprinting" Journal of Functional Morphology and Kinesiology 10, no. 2: 155. https://doi.org/10.3390/jfmk10020155
APA StyleTillaar, R. v. d., Ball, N., & Torvik, P. Ø. (2025). Relationships Between Effort, Rate of Perceived Exertion, and Readiness During a Warm-Up for High-Speed Sprinting. Journal of Functional Morphology and Kinesiology, 10(2), 155. https://doi.org/10.3390/jfmk10020155

