Anisotropic k-ϵ Model Based on General Principles of Statistical Turbulence
Abstract
1. Introduction
2. Averaged Conservation Equations
- Conservation of mass:
- Conservation of momentum:
- Conservation of energy:
3. Diffusion Representations of Turbulent Fluxes
- -
- The formulation of a Langevin equation for fluid particle velocity is in accordance with the property that autocorrelations of particle accelerations are vanishingly short compared to those of velocities in the limit of a large Reynolds number [19].
- -
- Kolmogorov’s similarity theory holds for the small viscous scales of turbulence [19]; it is an inertial subrange representation that specifies the white noise term in the Langevin equation.
- -
- -
- -
- The well-mixing principle of Lagrangian and Eulerian velocities [22] enables to specify the second term in the expansion of the diffusion result.
- -
- Momentum flux
- Temperature flux (and flux of any conservative scalar)
4. Equation for Kinetic Energy
5. Equation for Energy Dissipation
6. Boundary Conditions
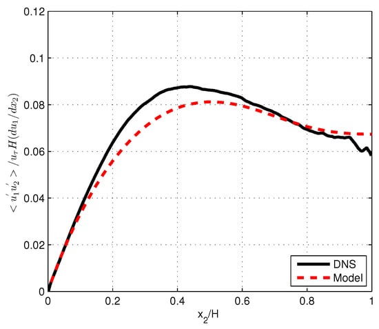
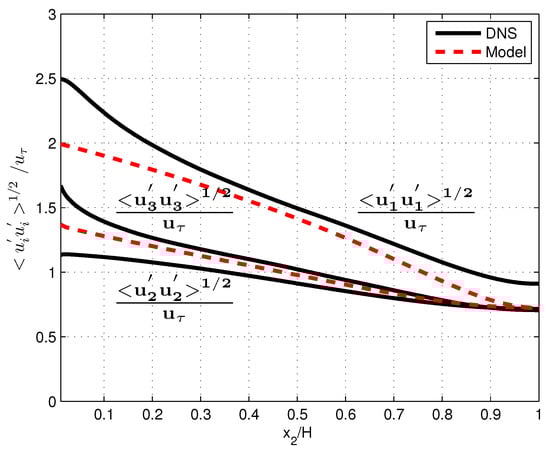
7. Test Case: Channel Flow
8. Discussion of Results
9. Conclusions
Funding
Informed Consent Statement
Data Availability Statement
Acknowledgments
Conflicts of Interest
References
- Hanjalić, K.; Launder, B. Modelling Turbulence in Engineering and the Environment: Second-Moment Routes to Closure; Cambridge University Press: Cambridge, UK, 2011. [Google Scholar]
- Bernard, P.S.; Wallace, J.K. Turbulent Flow: Analysis, Measurement and Prediction; Wiley: New Jersey, NJ, USA, 2002. [Google Scholar]
- Ansys Fluent 12.0, Theory Guide, Section 4 Turbulence, 4.4.1 Standard k-ϵ Model. Available online: https://www.afs.enea.it/ (accessed on 23 January 2009).
- Comsol Multiphysics, The k-ϵ Turbulence Model. Available online: https://doc.comsol.com (accessed on 16 August 2024).
- Brouwers, J.J.H. The Basic k-ϵ Model and a New Model Based on General Statistical Descriptions of Anisotropic Inhomogeneous Turbulence Compared with DNS of Channel Flow at High Reynolds Number. Inventions 2024, 9, 38. [Google Scholar] [CrossRef]
- Hoyas, S.; Jiménez, J. Scaling of the velocity fluctuations in turbulent channels up to Re_τ = 2003. Phys. Fluids 2006, 18, 011702. [Google Scholar] [CrossRef]
- Hoyas, S.; Oberlack, M.; Alcántara-Ávila, F.; Kraheberger, S.V.; Laux, J. Wall turbulence at high friction Reynolds numbers. Phys. Rev. Fluids 2022, 7, 014602. [Google Scholar] [CrossRef]
- Kuerten, J.; Brouwers, J.J.H. Lagrangian statistics of turbulent channel flow at Re_τ = 950 calculated with direct numerical simulation and Langevin models. Phys. Fluids 2013, 25, 105108. [Google Scholar] [CrossRef]
- Brouwers, J.J.H. Statistical Descriptions of Inhomogeneous Anisotropic Turbulence. Mathematics 2022, 10, 4619. [Google Scholar] [CrossRef]
- Brouwers, J.J.H. Langevin equation of a fluid particle in wall-induced turbulence. Theor. Math. Phys. 2010, 163, 677–695. [Google Scholar]
- Brouwers, J.J.H. Langevin and diffusion equation of turbulent fluid flow. Phys. Fluids 2010, 22, 085102. [Google Scholar] [CrossRef]
- Brouwers, J.J.H. Statistical description of turbulent dispersion. Phys. Rev. E Stat. Nonlinear Soft Matter Phys. 2012, 86, 066309. [Google Scholar] [CrossRef] [PubMed]
- Brouwers, J.J.H. Statistical Models of Large Scale Turbulent Flow. Flow Turbul. Combust. 2016, 97, 369–399. [Google Scholar] [CrossRef][Green Version]
- van Kampen, N.G. Stochastic Processes in Physics and Chemistry, 3rd ed.; Elsevier: New York, NY, USA, 2007. [Google Scholar]
- Stratonovich, R.L. Topics in the Theory of Random Noise; Gordon and Breach: New York, NY, USA, 1967; Volume 1. [Google Scholar]
- Landau, L.D.; Lifshitz, E.M. Statistical Physics; Elsevier: Amsterdam, The Netherlands, 2007. [Google Scholar]
- Reichl, L.E. A Modern Course in Statistical Physics, 1st ed.; Wiley-VCH: New York, NY, USA, 2009. [Google Scholar]
- Fertziger, J.H.; Kaper, H.G. Mathematical Theory of Transport Processes in Gases; North-Holland Publishing Company: Amsterdam, The Netherlands; London, UK, 1972. [Google Scholar]
- Monin, A.S.; Yaglom, A.M. Statistical Fluid Mechanics; Dover: New York, NY, USA, 2007; Volume II, Chapter 8. [Google Scholar]
- Sawford, B.L.; Yeung, P.K. Lagrangian statistics in uniform shear flow: Direct numerical simulation and Lagrangian stochastic models. Phys. Fluids 2001, 13, 2627. [Google Scholar] [CrossRef]
- Pope, S.B. Turbulent Flows; Cambridge University Press: Cambride, UK, 2000. [Google Scholar]
- Thomson, D.J. Criteria for the selection of stochastic models of particle trajectories in turbulent flows. J. Fluid Mech. 1987, 180, 529. [Google Scholar] [CrossRef]
- Batchelor, G.K. An Introduction to Fluid Dynamics; Cambridge University Press: New York, NY, USA, 2006. [Google Scholar]
- Monin, A.S.; Yaglom, A.M. Statistical Fluid Mechanics; Dover: New York, NY, USA, 2007; Volume I. [Google Scholar]





Disclaimer/Publisher’s Note: The statements, opinions and data contained in all publications are solely those of the individual author(s) and contributor(s) and not of MDPI and/or the editor(s). MDPI and/or the editor(s) disclaim responsibility for any injury to people or property resulting from any ideas, methods, instructions or products referred to in the content. |
© 2024 by the author. Licensee MDPI, Basel, Switzerland. This article is an open access article distributed under the terms and conditions of the Creative Commons Attribution (CC BY) license (https://creativecommons.org/licenses/by/4.0/).
Share and Cite
Brouwers, J.J.H. Anisotropic k-ϵ Model Based on General Principles of Statistical Turbulence. Inventions 2024, 9, 95. https://doi.org/10.3390/inventions9050095
Brouwers JJH. Anisotropic k-ϵ Model Based on General Principles of Statistical Turbulence. Inventions. 2024; 9(5):95. https://doi.org/10.3390/inventions9050095
Chicago/Turabian StyleBrouwers, J. J. H. 2024. "Anisotropic k-ϵ Model Based on General Principles of Statistical Turbulence" Inventions 9, no. 5: 95. https://doi.org/10.3390/inventions9050095
APA StyleBrouwers, J. J. H. (2024). Anisotropic k-ϵ Model Based on General Principles of Statistical Turbulence. Inventions, 9(5), 95. https://doi.org/10.3390/inventions9050095

