Investigation of the Use of Evolutionary Algorithms for Modeling and Simulation of Bifacial Photovoltaic Modules
Abstract
:1. Introduction
2. Materials and Methods
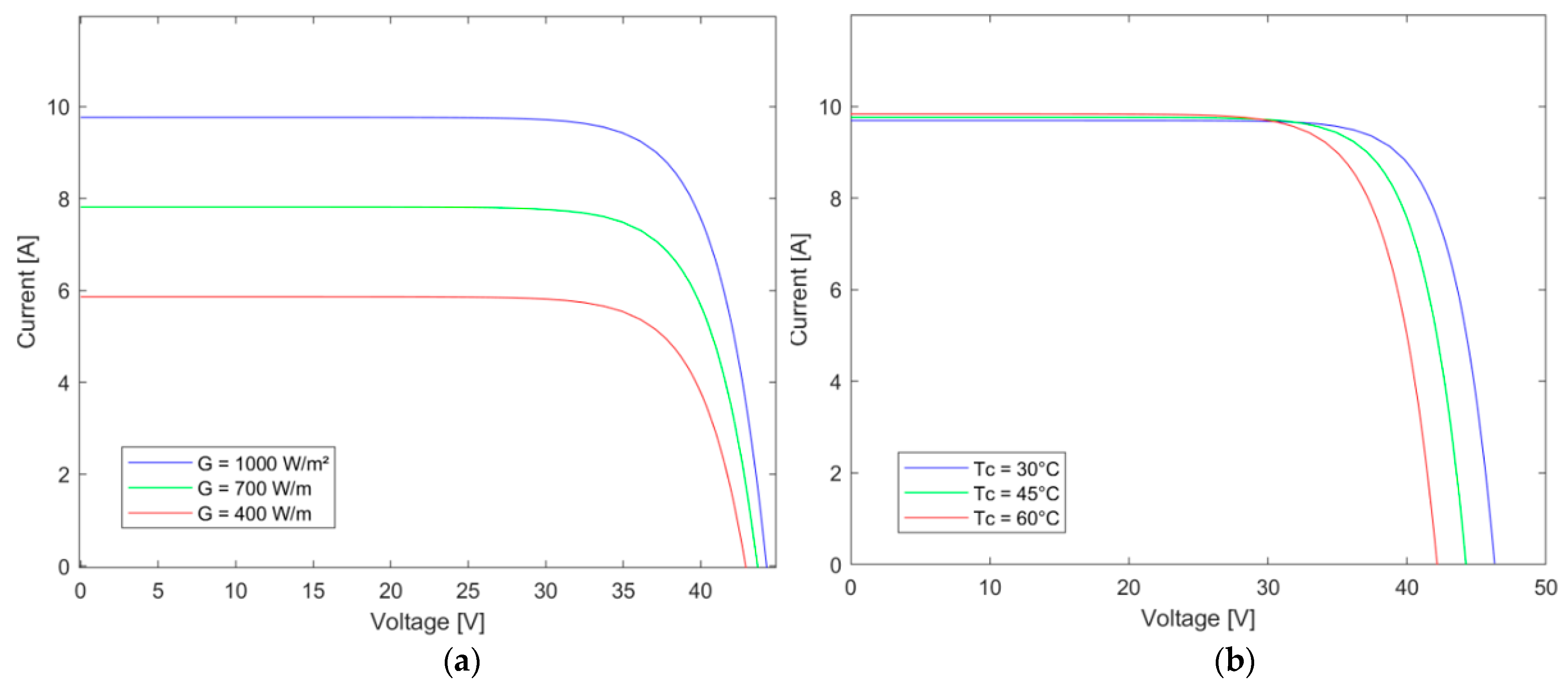
2.1. Influence of Temperature and Irradiation on the I–V Curve of a Photovoltaic Cell
2.2. Equivalent Circuit Modeling of a Bifacial Photovoltaic Module
2.2.1. Modelling of a Photovoltaic Cell
2.2.2. One Diode Five Parameter Model (1D5P)
2.3. Concepts for Parameter Extraction
2.4. Evolutionary Algorithms
2.4.1. Genetic Algorithm (GA)S
2.4.1.1. Genetic Algorithm Coding
2.4.1.2. Selection for GA
2.4.1.3. Crossover for GA
2.4.1.4. Mutation for GA
2.4.2. Differential Evolution Algorithm (DE)
2.4.2.1. Mutation to DE
2.4.2.2. Crossover to DE
2.4.2.3. Selection for DE
2.5. Plot I–V Curve
3. Results and Discussions
3.1. Definition of Np and Ng Parameters
4. Conclusions
Author Contributions
Funding
Data Availability Statement
Acknowledgments
Conflicts of Interest
References
- International Energy Agency. Renewables 2021—Analysis and Forecast to 2026. 2021. Available online: https://iea.blob.core.windows.net/assets/5ae32253-7409-4f9a-a91d-1493ffb9777a/Renewables2021-Analysisandforecastto2026.pdf (accessed on 1 August 2023).
- International Energy Agency. World Energy Outlook 2021. 2021. Available online: https://www.iea.org/reports/world-energy-outlook-2021 (accessed on 1 August 2023).
- Haegel, N.M.; Atwater, H.; Barnes, T.; Breyer, C.; Burrell, A.; Chiang, Y.-M.; De Wolf, S.; Dimmler, B.; Feldman, D.; Glunz, S.; et al. Terawatt-Scale Photovoltaics: Transforming Global Energy. Science 2019, 364, 836–838. [Google Scholar] [CrossRef]
- Kurbatova, T.; Perederii, T. Global Trends in Renewable Energy Development. In Proceedings of the 2020 IEEE KhPI Week of Advanced Technology (KhPIWeek), Kharkiv, Ukraine, 5–10 October 2020; pp. 260–263. [Google Scholar] [CrossRef]
- Freitas, H.; Olivo, J.; Andrade, C. Optimization of Bioethanol In Silico Production Process in a Fed-Batch Bioreactor Using Non-Linear Model Predictive Control and Evolutionary Computation Techniques. Energies 2017, 10, 1763. [Google Scholar] [CrossRef]
- Nwaigwe, K.N. Assessment of wind energy technology adoption, application and utilization: A critical review. Int. J. Environ. Sci. Technol. 2022, 19, 4525–4536. [Google Scholar] [CrossRef]
- Almeida, E.L.; Andrade, C.M.G.; Andreo Dos Santos, O. Production of Biodiesel via Catalytic Processes: A Brief Review. Int. J. Chem. React. Eng. 2018, 16, 20170130. [Google Scholar] [CrossRef]
- Alhmoud, L. Why Does the PV Photovoltaic Solar Power Plant Operate Ineffectively? Energies 2023, 16, 4074. [Google Scholar] [CrossRef]
- Maia, S.; Demôro, L. Power Transition Trends. 2022. Available online: https://assets.bbhub.io/professional/sites/24/BNEF-Power-Transition-Trends-2022_FINAL.pdf (accessed on 6 June 2023).
- International Energy Agency Technology Roadmap Solar Photovoltaic Energy. 2014. Available online: http://mdvseia.org/wp-content/uploads/2015/05/Technology-Roadmap-Solar-PV-2014-version.pdf (accessed on 6 July 2023).
- Lopes Filho, G.; Franco Pereira, R.A.; Vieira Teles, F.H. Estimação De Parâmetros De Painéis Fotovoltaicos Utilizando O Algoritmo Fireflycom Atualização Em Função Da Irradiância E Temperatura. VII Congresso Brasileiro de Energia Solar 2018. Gramado. Available online: https://anaiscbens.emnuvens.com.br/cbens/article/view/365/365 (accessed on 3 April 2023).
- IPEA—Instituto De Pesquisa Econômica Aplicada. Viabilidade Econômica de Sistemas Fotovoltaicos No Brasil e Possíveis Efeitos No Setor Elétrico. 2018; Governo Federal. Available online: https://portalantigo.ipea.gov.br/agencia/images/stories/PDFs/TDs/td_2388.pdf (accessed on 7 October 2023).
- Da Rocha Queiroz, J.; Da Silva Souza, A.; Gussoli, M.K.; De Oliveira, J.C.D.; Andrade, C.M.G. Construction and Automation of a Microcontrolled Solar Tracker. Processes 2020, 8, 1309. [Google Scholar] [CrossRef]
- Tifidat, K.; Maouhoub, N.; Askar, S.S.; Abouhawwash, M. Numerical Procedure for Accurate Simulation of Photovoltaic Module Performance Based on Single-Diode Model Parameters. Energy Rep. 2023, 9, 5532–5544. [Google Scholar] [CrossRef]
- Provensi, L.L.; Souza, R.M.; Grala, G.H.; Bargamasco, R.; Krummenauer, R.; Andrade, C.M.G. Modeling and Simulation os Photovoltaic Modules Using Bio-Inspired Algorithms. Inventions 2023, 8, 107. [Google Scholar] [CrossRef]
- Provensi, L.L.; Grala, G.H.; Zukeram Junior, E.S.; Alcantara, G.P.; Krummenauer, R.; Andrade, C.M.G. Modeling of the operating characteristics of photovoltaic modules based on particle swarm optimization. Environ. Prog. Sustain. Energy 2022, 41, e13831. [Google Scholar] [CrossRef]
- Koohi-Kamali, S.; Rahim, N.A.; Mokhlis, H.; Tyagi, V.V. Photovoltaic electricity generator dynamic modeling methods for smart grid applications: A review. Renew. Sustain. Energy Rev. 2016, 57, 131–172. [Google Scholar] [CrossRef]
- Ibrahim, I.A.; Hossain, M.J.; Duck, B.C. A hybrid wind driven-based fruit fly optimization algorithm for identifying the parameters of a double-diode photovoltaic cell model considering degradation effects. Sustain. Energy Technol. Assess. 2022, 50, 101685. [Google Scholar] [CrossRef]
- Guerrero-Lemus, R.; Vega, R.; Kim, T.; Kimm, A.; Shephard, L. Bifacial solar photovoltaics—A technology review. Renew. Sustain. Energy Rev. 2016, 60, 1533–1549. [Google Scholar] [CrossRef]
- Canadian Solar. Datasheet of Canadian Solar BiHiKu CS3W-410PB-AG Module; 2019. 2020. Available online: https://www.canadiansolar.com/wp-content/uploads/2019/12/Canadian_Solar-Datasheet-BiHiKu_CS3W-PB-AG_EN.pdf (accessed on 28 May 2023).
- Kongphet, V.; Migan-Dubois, A.; Delpha, C.; Lechenadec, J.-Y.; Diallo, D. Low-Cost I–V Tracer for PV Fault Diagnosis Using Single-Diode Model Parameters and I–V Curve Characteristics. Energies 2022, 15, 5350. [Google Scholar] [CrossRef]
- Skoplaki, E.; Palyvos, J.A. Operating temperature of photovoltaic modules: A survey of pertinent correlations. Renew. Energy 2008, 34, 23–29. [Google Scholar] [CrossRef]
- Rodrigues, P. Extraction of Parameters of Photovoltaic Modules from the Solution of Nonlinear Equation Systems Using Thrust Region Techniques. Master’s Thesis, Universidade Federal de Uberlândia, Uberlândia, Brazil, 2012. [Google Scholar] [CrossRef]
- Kwak, J.I.; Nam, S.-H.; Kim, L.; An, Y.-J. Potential Environmental Risk of Solar Cells: Current Knowledge and Future Challenges. J. Hazard. Mater. 2020, 392, 122297. [Google Scholar] [CrossRef]
- Pinho, J.T.; Galdino, M.A. Manual de Engenharia para Sistemas Fotovoltaicos; CEPEL—CRESESB: Rio de Janeiro, Brazil, 2014. [Google Scholar]
- Sahu, P.K.; Roy, J.N.; Chakraborty, C.; Sundaram, S. A New Model for Estimating the Energy Extraction from Bifacial Photovoltaic Modules. Energies 2021, 14, 5089. [Google Scholar] [CrossRef]
- Benda, V. Crystalline Silicon Solar Cell and Module Technology. In A Comprehensive Guide to Solar Energy Systems; Elsevier: Amsterdam, The Netherlands, 2018; pp. 181–213. [Google Scholar]
- Mesquita, D.B.; Silva, J.L.; Moreira, H.S.; Kitayama, M.; Villalva, M.G. A review and analysis of technologies applied in PV modules. In Proceedings of the 2019 IEEE PES Innovative Smart Grid Technologies Conference—Latin America (ISGT Latin America), Gramado, Brazil, 15–18 September 2019; pp. 1–6. [Google Scholar] [CrossRef]
- Gholami, A.; Ameri, M.; Zandi, M.; Gavagsaz Ghoachani, R. A single-diode model for photovoltaic panels in variable environmental conditions: Investigating dust impacts with experimental evaluation. Sustain. Energy Technol. Assess. 2021, 47, 101392. [Google Scholar] [CrossRef]
- Reis, L.R.d.D. Determination of Photovoltaic Module Parameters Using the Newton-Raphson Method and Genetic Algorithms. Ph.D. Dissertation, Universidade Federal de Uberlândia, Uberlândia, Brazil, 2018. [Google Scholar] [CrossRef]
- Villalva, M.G.; Gazoli, J.R.; Filho, E.R. Comprehensive Approach to Modeling and Simulation of Photovoltaic Arrays. IEEE Trans. Power Electron. 2009, 24, 1198–1208. [Google Scholar] [CrossRef]
- Chin, V.J.; Salam, Z.; Ishaque, K. Cell Modeling and Model Parameter Estimation Techniques for Photovoltaic Simulator Applications: A Review. Appl. Energy 2015, 154, 500–519. [Google Scholar] [CrossRef]
- Ye, M.; Wang, X.; Xu, Y. Parameter Extraction of Solar Cells Using Particle Swarm Optimization. J. Appl. Phys. 2009, 105, 094502. [Google Scholar] [CrossRef]
- Mittal, M.; Bora, B.; Sexena, S.; Gaur, A.M. Performance prediction of PV module using electrical equivalent model and artificial neural network. Sol. Energy 2018, 176, 104–117. [Google Scholar] [CrossRef]
- Lidaighbi, S.; Elyaqouti, M.; Ben Hmamou, D.; Saadaoui, D.; Assalaou, K.; Arjdal, E. A new hybrid method to estimate the single-diode model parameters of solar photovoltaic panel. Energy Convers. Manag. X 2022, 15, 100234. [Google Scholar] [CrossRef]
- Holland, J.H. Adaptation in Natural and Artificial Systems; University of Michigan Press: Ann Arbor, MI, USA, 1975. [Google Scholar]
- Massago, S. Introdução ao Algoritmo Genético. 2013. Available online: https://www.dm.ufscar.br/profs/sadao/download/?file=article/algoritmosgeneticos.pdf (accessed on 28 March 2023).
- Silva, A.J.M. Implementação de um Algoritmo Genético Utilizando o Modelo de Ilhas. Master’s Thesis, Universidade Federal do Rio de Janeiro, Rio de Janeiro, Brazil, 2005. Available online: https://www.livrosgratis.com.br/ler-livro-online-38007/implementacao-de-um-algoritmo-genetico-utilizando-o-modelo-de-ilhas (accessed on 6 April 2023).
- Miranda, M.N. Algoritmos Genéticos: Fundamentos e Aplicações; Universidade Federal do Rio de Janeiro: Rio de Janeiro, Brazil, 2017; Available online: http://www.nce.ufrj.br/GINAPE/VIDA/alggenet.htm (accessed on 3 April 2023).
- Back, T. Selective Pressure in Evolutionary Algorithms: A Characterization of Selection Mechanisms. In Proceedings of the First IEEE Conference on Evolutionary Computation, IEEE World Congress on Computational Intelligence, Orlando, FL, USA, 27–29 June 1994; IEEE: Piscataway, NJ, USA, 1994; pp. 57–62. [Google Scholar] [CrossRef]
- Goldberg, D.E.; Deb, K. A Comparison of Selection Schemes Used in Genetic Algorithms. In Foundations of Genetic Algorithms; Rawlins, G.J.E., Ed.; Morgan Kaufmann: Burlington, MA, USA, 1991; pp. 69–93. [Google Scholar]
- Cunha, V.H.; Campos, E.S.; Guimaraes, L.C.; Dantas, M.J.P. Algoritmo Genético de Codificação Real Aplicado a Otimização de Funções de Benchmark. XLVIII Simpósio Brasileiro de Pesquisas Operacionais. 2016. Available online: http://www.din.uem.br/sbpo/sbpo2016/pdf/155947.pdf (accessed on 2 June 2023).
- Fogarty, T.C. Varying the Mutation Probability in Genetic Algorithms. In Proceedings of the 3rd International Conference on Genetic Algorithms, San Francisco, CA, USA, 1 June 1989; pp. 104–109. [Google Scholar]
- Boccato, L.; Krummenauer, R.; Attux, R.; Lopes, A. Application of natural computing algorithms to maximum likelihood estimation of direction of arrival. Signal Process. 2012, 92, 1338–1352. [Google Scholar] [CrossRef]
- Qin, A.K.; Suganthan, P.N. Self-adaptive Differential Evolution Algorithm for Numerical Optimization. In Proceedings of the 2005 IEEE Congress on Evolutionary Computation Anais, Edinburgh, UK, 2–5 September 2005; IEEE: Piscataway, NJ, USA, 2005. Available online: http://ieeexplore.ieee.org/document/1554904/ (accessed on 3 April 2023).
- Storn, R.; Price, K. Differential Evolution—A Simple and Efficient Adaptive Scheme for Global Optimization over Continuous Spaces. J. Glob. Optim. 1995, 11, 341–359. [Google Scholar] [CrossRef]
- Price, K.; Rainer, M.; Storn, R.; Lampinen, J.A. Differential Evolution: A Practical Approach to Global Optimization; Natural Computing Series; Springer: Berlin/Heidelberg, Germany, 2005. [Google Scholar]
- Das, S.; Suganthan, P.N. Differential Evolution: A Survey of the State-of-the-Art. IEEE Trans. Evol. Computat. 2011, 15, 4–31. [Google Scholar] [CrossRef]
- Storn, R.; Price, K. Differential Evolution—Differential Evolution—A Simple and Efficient Heuristic for global Optimization over Continuous Spaces. J. Glob. Optim. 1997, 11, 341–359. [Google Scholar] [CrossRef]
- Chenni, R.; Makhlouf, M.; Kerbache, T.; Bouzid, A. A Detailed Modeling Method for Photovoltaic Cells. Energy 2007, 32, 1724–1730. [Google Scholar] [CrossRef]
- Pinto, C.S.B.S. Experimental Validation of the Five-Parameter and One-Diode Model for Photovoltaic Panels. Master’s Thesis, Instituto Superior Técnico, Lisbon, Portugal, 2016. [Google Scholar]
- Mathworks. Matlab Software. Available online: https://www.mathworks.com/products/matlab.html (accessed on 1 May 2023).
- Bocca, A.; Bergamasco, L.; Fasano, M.; Bottaccioli, L.; Chiavazzo, E.; Macii, A.; Asinari, P. Multiple-Regression Method for Fast Estimation of Solar Irradiation and Photovoltaic Energy Potentials over Europe and Africa. Energies 2018, 11, 3477. [Google Scholar] [CrossRef]
- Ministério Da Agricultura E Pecuária. Instituto Nacional de Meteorologia. 2023. Available online: https://portal.inmet.gov.br/normais (accessed on 2 May 2023).
- Sun, V.; Asanakham, A.; Deethayat, T.; Kiatsiriroat, T. Evaluation of nominal operating cell temperature (NOCT) of glazed photovoltaic thermal module. Case Stud. Therm. Eng. 2021, 28, 101361. [Google Scholar] [CrossRef]
- PVSYST. PVSYST Photovoltaic Software. 2023. Available online: https://www.pvsyst.com/ (accessed on 2 May 2023).
- Aoun, N.; Bailek, N. Evaluation of mathematical methods to characterize the electrical parameters of photovoltaic modules. Energy Convers. Manag. 2019, 193, 25–38. [Google Scholar] [CrossRef]









| Parameters | Minimum | Maximum |
|---|---|---|
| GA 1D5P | 8.87 × 10−8 | 1.086 × 10−1 | 1.452482 | 3610.26 | 11.29 |
| DE 1D5P | 2.20 × 10−7 | 5.544 × 10−2 | 1.530758 | 4358.18 | 11.06 |
| Method | |||||
|---|---|---|---|---|---|
| Data Provided by the Manufacturer | 410.159 W | 10.49 A | 39.10 V | 11.06 A | 47.6 V |
| GA 1D5P | 416.330 W | 10.54 A | 39.50 V | 11.29 A | 47.58 V |
| e% | 1.50% | 0.48% | 1.02% | 2.08% | 0.04% |
| DE 1D5P | 410.405 W | 10.39 A | 39.50 V | 11.063 A | 47.61 V |
| e% | 0.06% | 0.95% | 1.02% | 0.03% | 0.02% |
| Method | |||||
|---|---|---|---|---|---|
| Data Provided by the Manufacturer | 250.500 W | 6.25 A | 40.08 V | 6.61 A | 47.4 V |
| GA 1D5P | 247.936 W | 6.40 A | 38.74 V | 6.76 A | 46.99 V |
| e% | 1.02% | 2.4% | 3.34% | 2.27% | 0.86% |
| ED 1D5P | 242.899 W | 6.27 A | 38.74 V | 6.63 A | 46.99 V |
| e% | 3.03% | 0.32% | 3.34% | 0.30% | 0.86% |
| Method | |||||
|---|---|---|---|---|---|
| Data Provided by the Manufacturer | 392.800 W | 11.57 A | 33.95 V | 12.37 A | 42.70 V |
| GA 1D5P | 402.044 W | 11.51 A | 34.93 V | 12.65 A | 43.10 V |
| e% | 2.35% | 0.52% | 2.88% | 2.26% | 0.94% |
| DE 1D5P | 397.503 W | 11.38 A | 34.93 V | 12.39 A | 43.12 V |
| e% | 1.20% | 1.64% | 2.88% | 0.16% | 0.98% |
| Method | |||||
|---|---|---|---|---|---|
| Data Provided by the Manufacturer | 306.235 W | 8.39 A | 36.5 V | 8.92 A | 44.80 V |
| GA 1D5P | 307.190 W | 8.43 A | 36.44 V | 9.12 A | 44.39 V |
| e% | 0.31% | 0.48% | 0.16% | 2.24% | 0.92% |
| DE 1D5P | 301.723 W | 8.28 A | 36.44 V | 8.94 A | 44.40 V |
| e% | 1.47% | 1.31% | 0.16% | 0.22% | 0.89% |
| Np | Ng | Fitness Value | Time (s) | |
|---|---|---|---|---|
| GA 1D5P | 10 | 100 | 2.8315 | 0.08 |
| 30 | 100 | 0.51032 | 0.07 | |
| 50 | 100 | 0.42002 | 0.06 | |
| 10 | 2000 | 0.82778 | 0.24 | |
| 30 | 2000 | 0.32560 | 0.83 | |
| 50 | 3000 | 0.06020 | 1.81 | |
| DE 1D5P | 10 | 100 | 2.260 | 0.01 |
| 30 | 100 | 0.151 | 0.05 | |
| 50 | 100 | 0.062 | 0.07 | |
| 10 | 300 | 0.563 | 0.06 | |
| 30 | 300 | 0.060 | 0.09 | |
| 50 | 300 | 0.001 | 0.12 |
Disclaimer/Publisher’s Note: The statements, opinions and data contained in all publications are solely those of the individual author(s) and contributor(s) and not of MDPI and/or the editor(s). MDPI and/or the editor(s) disclaim responsibility for any injury to people or property resulting from any ideas, methods, instructions or products referred to in the content. |
© 2023 by the authors. Licensee MDPI, Basel, Switzerland. This article is an open access article distributed under the terms and conditions of the Creative Commons Attribution (CC BY) license (https://creativecommons.org/licenses/by/4.0/).
Share and Cite
Grala, G.H.; Provensi, L.L.; Krummenauer, R.; da Motta Lima, O.C.; de Alcantara, G.P.; Andrade, C.M.G. Investigation of the Use of Evolutionary Algorithms for Modeling and Simulation of Bifacial Photovoltaic Modules. Inventions 2023, 8, 134. https://doi.org/10.3390/inventions8060134
Grala GH, Provensi LL, Krummenauer R, da Motta Lima OC, de Alcantara GP, Andrade CMG. Investigation of the Use of Evolutionary Algorithms for Modeling and Simulation of Bifacial Photovoltaic Modules. Inventions. 2023; 8(6):134. https://doi.org/10.3390/inventions8060134
Chicago/Turabian StyleGrala, Gabriel Henrique, Lucas Lima Provensi, Rafael Krummenauer, Oswaldo Curty da Motta Lima, Glaucio Pedro de Alcantara, and Cid Marcos Gonçalves Andrade. 2023. "Investigation of the Use of Evolutionary Algorithms for Modeling and Simulation of Bifacial Photovoltaic Modules" Inventions 8, no. 6: 134. https://doi.org/10.3390/inventions8060134
APA StyleGrala, G. H., Provensi, L. L., Krummenauer, R., da Motta Lima, O. C., de Alcantara, G. P., & Andrade, C. M. G. (2023). Investigation of the Use of Evolutionary Algorithms for Modeling and Simulation of Bifacial Photovoltaic Modules. Inventions, 8(6), 134. https://doi.org/10.3390/inventions8060134

