RADiCAL—Precision Timing, Ultracompact, Radiation-Hard Electromagnetic Calorimetry
Abstract
:1. Introduction
- To develop candidate instrumentation capable of operation in the FCC-hh endcap region up to |η| ≤ 4 with an EM energy resolution indicated above, noting that for |η| ≤ 2.5, the environmental conditions are expected to be 100 Mrad ionization dose and 3 × 1016 1 MeV neq/cm2 [3]. This effort will include further optical material development and R&D on radiation-hard photosensors to replace conventional SiPM;
- To identify future directions and candidate instrumentation with the potential for operation at the FCC-hh in endcap/forward regions, where the operating conditions are foreseen to be a sobering 500 Grad ionization dose and 5 × 1018 1 MeV neq/cm2 [3]. To reach and function in this domain will require further creative innovations in optical materials and photosensor development.
2. Materials and Methods
3. Discussion of Experimental Results
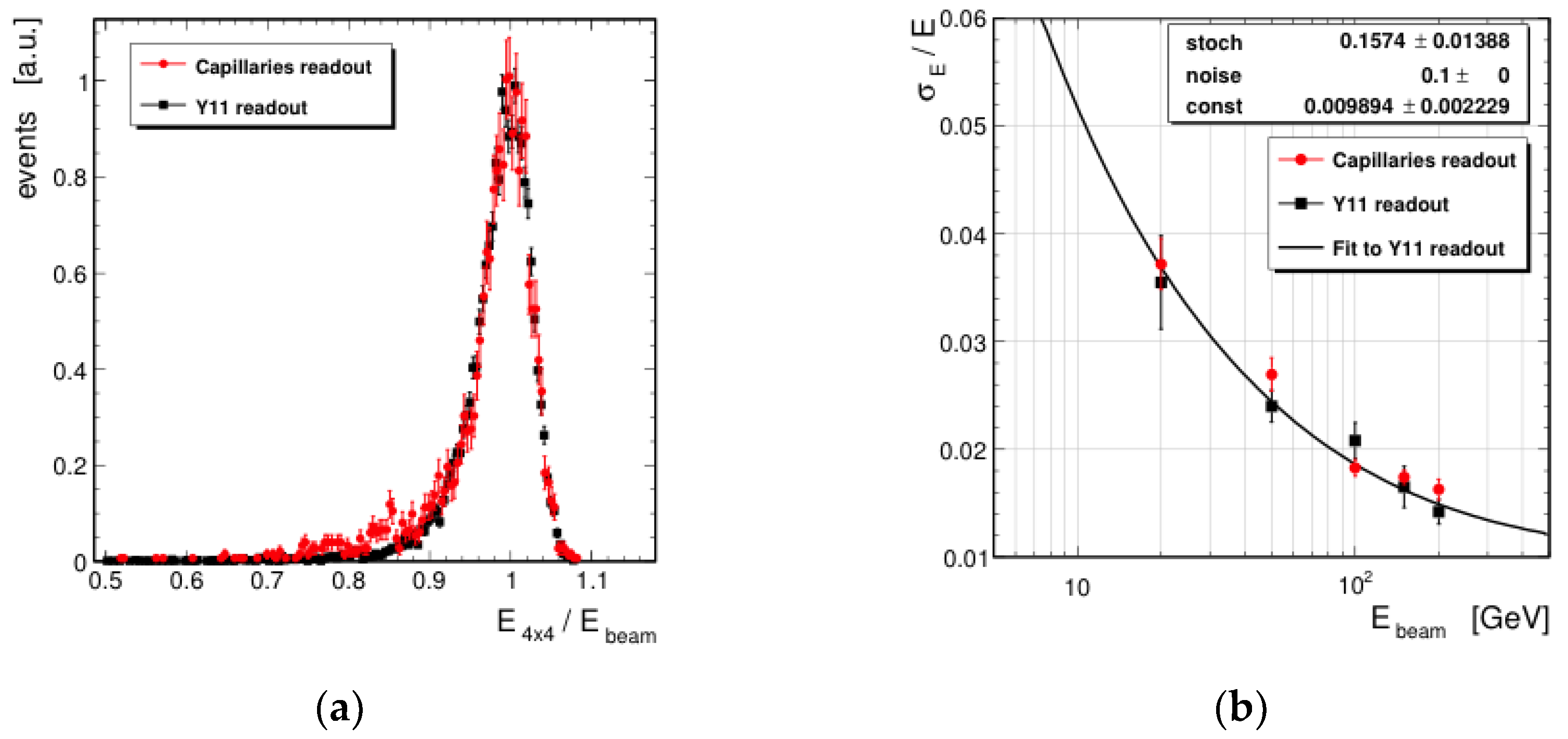
3.1. Experimental Measurement of Energy Resolution
3.2. Expectations for Timing and Spatial Resolution
4. Conclusions
Author Contributions
Funding
Data Availability Statement
Acknowledgments
Conflicts of Interest
References
- Fleming, B. Basic Research Needs for High Energy Physics Detector Research & Development. Available online: https://science.osti.gov/-/media/hep/pdf/Reports/2020/DOE_Basic_Research_Needs_Study_on_High_Energy_Physics.pdf (accessed on 24 December 2019).
- Anderson, T.; Barbera, T.; Blend, D.; Chigurupati, N.; Cox, B.; Debbins, P.; Dubnowski, M.; Herrmann, M.; Hu, C.; Ford, K.; et al. RADiCAL—Precision-timing, Ultracompact, Radiation-hard Electromagnetic Calorimetry. arXiv 2022, arXiv:2203.12806. [Google Scholar]
- Aleksa, M.; Allport, P.; Bosley, R.; Faltova, J.; Gentil, J.; Goncalo, R.; Helsens, C.; Henriques, A.; Karyukhin, A.; Kiesseler, J.; et al. Calorimeters for the FCC-hh. arXiv 2019, arXiv:1912.09962. [Google Scholar]
- Ledovskoy, A. Shashlik Timing; Report to the RADiCAL Group: Geneva, Switerland, 2021; Available online: https://notredame.box.com/s/vjpbvpxn2sff72y6y4wvue3nnhcucgtx (accessed on 17 January 2021).
- Ledovskoy, A. RADiCAL Studies; Report to the RADiCAL Group: Geneva, Switzerland, 2021; Available online: https://notredame.box.com/s/p9afzt9hxp2yg22vmoycfir8fnnt7tzk (accessed on 12 September 2021).
- Hu, C.; Li, J.; Yang, F.; Jiang, B.; Zhang, L.; Zhu, R.-Y. LuAG ceramic scintillators for future HEP experiments. Nucl. Instrum. Methods Phys. Res. Sect. A Accel. Spectrometers Detect. Assoc. Equip. 2020, 954, 161723. [Google Scholar] [CrossRef]
- Hu, C.; Lu, N.; Zhang, L.; Zhu, R.-Y.; Bornheim, A.; Narvaez, L.; Trevor, J.; Spiropulu, M. Gamma-ray and Neutrno-Induced Photocurrent and Readout Noise in LYSO+SiPM Packages. IEEE Trans. Nucl. Sci. 2021, 68, 1244–1250. [Google Scholar] [CrossRef]
- Hu, C.; Yang, F.; Zhang, L.; Shu, R.-Y.; Kapustinsky, J.; Nelson, R.; Wang, Z. Proton-Induced Radiation Damage in LYSO and BaF2 Crystal Scintillators. IEEE Trans. Nucl. Sci. 2018, 65, 1018–1024. [Google Scholar] [CrossRef]
- Hu, C.; Yang, F.; Zhang, L.; Zhu, R.-Y.; Kapustinsky, J.; Nelson, R.; Wang, Z. Neutron-Induced Radiation Damage in LYSO, BaF2 and PWO Crystals. IEEE Trans. Nucl. Sci. 2020, 67, 1086–1092. [Google Scholar] [CrossRef]





Publisher’s Note: MDPI stays neutral with regard to jurisdictional claims in published maps and institutional affiliations. |
© 2022 by the authors. Licensee MDPI, Basel, Switzerland. This article is an open access article distributed under the terms and conditions of the Creative Commons Attribution (CC BY) license (https://creativecommons.org/licenses/by/4.0/).
Share and Cite
Anderson, T.; Barbera, T.; Cox, B.; Debbins, P.; Dubnowski, M.; Ford, K.; Herrmann, M.; Hu, C.; Jessop, C.; Kamer-Koseyan, O.; et al. RADiCAL—Precision Timing, Ultracompact, Radiation-Hard Electromagnetic Calorimetry. Instruments 2022, 6, 27. https://doi.org/10.3390/instruments6030027
Anderson T, Barbera T, Cox B, Debbins P, Dubnowski M, Ford K, Herrmann M, Hu C, Jessop C, Kamer-Koseyan O, et al. RADiCAL—Precision Timing, Ultracompact, Radiation-Hard Electromagnetic Calorimetry. Instruments. 2022; 6(3):27. https://doi.org/10.3390/instruments6030027
Chicago/Turabian StyleAnderson, Thomas, Thomas Barbera, Bradley Cox, Paul Debbins, Maxwell Dubnowski, Kiva Ford, Maxwell Herrmann, Chen Hu, Colin Jessop, Ohannes Kamer-Koseyan, and et al. 2022. "RADiCAL—Precision Timing, Ultracompact, Radiation-Hard Electromagnetic Calorimetry" Instruments 6, no. 3: 27. https://doi.org/10.3390/instruments6030027
APA StyleAnderson, T., Barbera, T., Cox, B., Debbins, P., Dubnowski, M., Ford, K., Herrmann, M., Hu, C., Jessop, C., Kamer-Koseyan, O., Ledovskoy, A., Onel, Y., Perez-Lara, C., Ruchti, R., Ruggiero, D., Smith, D., Vigneault, M., Wan, Y., Wayne, M., ... Zhu, R.-Y. (2022). RADiCAL—Precision Timing, Ultracompact, Radiation-Hard Electromagnetic Calorimetry. Instruments, 6(3), 27. https://doi.org/10.3390/instruments6030027

