Modeling Field Electron Emission from a Flat Au (100) Surface with Density-Functional Theory
Abstract
1. Introduction
2. Materials and Methods
2.1. DFT Calculation
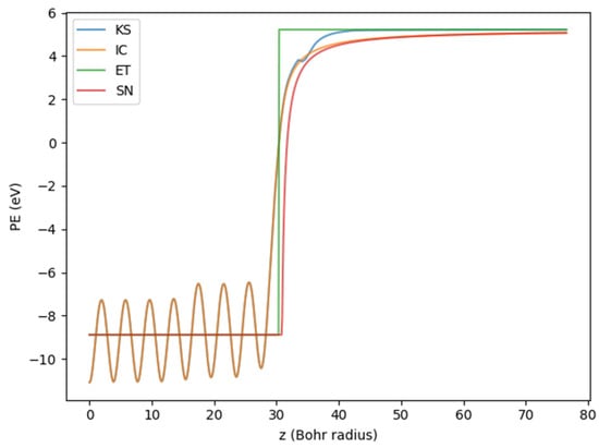
2.2. DFT Results Post-Processing
2.3. Transmission Coefficient
2.4. Emission Current Densities
2.5. Summary of Numerical Techniques
3. Results
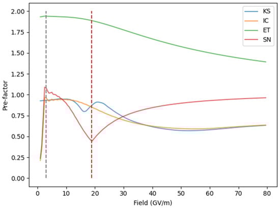
3.1. Transmission Coefficient and Pre-Factor Behavior
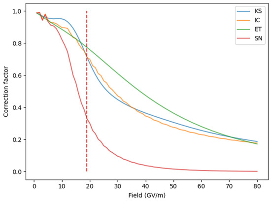
3.2. Correction Factor to the First-Order Taylor Expansion
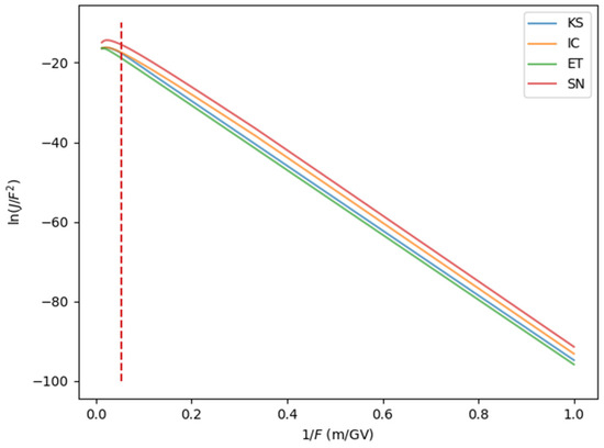
3.3. Fowler–Nordheim Plot
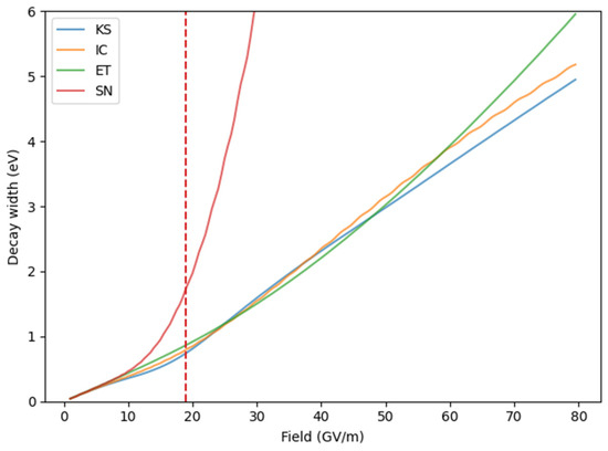
4. Discussion
Author Contributions
Funding
Data Availability Statement
Conflicts of Interest
Appendix A
Appendix B
Appendix C

References
- Wuensch, W. High-Gradient Breakdown in Normal-Conducting RF Cavities. In Proceedings of the 8th European Particle Accelerator Conference, Paris, France, 3–7 June 2002; p. 134. [Google Scholar]
- Lawler, G.; Majernik, N.; Mann, J.; Montanez, N.; Rosenzweig, J.; Yu, V. Emittance Measurements of Nanoblade-Enhanced High Field Cathode. In Proceedings of the 13th International Particle Accelerator Conference, Bangkok, Thailand, 12–17 June 2022. [Google Scholar]
- Mann, J.I.; Wang, B.; Lawler, G.E.; Rosenzweig, J.B.; Karkare, S.; Nangoi, J.K.; Arias, T. Simulations of Nanoblade Cathode Emissions with Image Charge Trapping for Yield and Brightness Analyses. In Proceedings of the 5th North American Particle Accelerator Conference, Albuquerque, NM, USA, 6–12 August 2022. [Google Scholar]
- Keldysh, L.V. Ionization in the Field of a Strong Electromagnetic Wave. Zh. Eksperim. I Teor. Fiz. 1964, 47, 1307–1314. [Google Scholar]
- Forbes, R.G. Use of energy-space diagrams in free-electron models of field electron emission. Surf. Interface Anal. 2004, 36, 395–401. [Google Scholar] [CrossRef]
- Nordheim, L.W. The effect of the image force on the emission and reflexion of electrons by metals. Proc. R. Soc. Lond. Ser. Contain. Pap. Math. Phys. Character 1997, 121, 626–639. [Google Scholar]
- Forbes, R.G. On the need for a tunneling pre-factor in Fowler–Nordheim tunneling theory. J. Appl. Phys. 2008, 103, 114911. [Google Scholar] [CrossRef]
- Forbes, R.G.; Deane, J.H.B. Transmission coefficients for the exact triangular barrier: An exact general analytical theory that can replace Fowler & Nordheim’s 1928 theory. Proc. R. Soc. Math. Phys. Eng. Sci. 2011, 467, 2927–2947. [Google Scholar]
- Mayer, A. Exact solutions for the field electron emission achieved from a flat metal using the standard Fowler–Nordheim equation with a correction factor that accounts for the electric field, the work function, and the Fermi energy of the emitter. J. Vac. Sci. Technol. B 2011, 29, 021803. [Google Scholar] [CrossRef]
- Lawler, G.E.; Mann, J.; Yu, V.; Rosenzweig, J.B.; Roussel, R. Initial Nanoblade-Enhanced Laser-Induced Cathode Emission Measurements. In Proceedings of the 12th International Particle Accelerator Conference 2021, Campinas, Brazil, 24–28 May 2021. [Google Scholar]
- Sundararaman, R.; Letchworth-Weaver, K.; Schwarz, K.A.; Gunceler, D.; Ozhabes, Y.; Arias, T.A. JDFTx: Software for joint density-functional theory. SoftwareX 2017, 6, 278–284. [Google Scholar] [CrossRef]
- Jalili, S.; Isfahani, A.Z.; Habibpour, R. DFT investigations on the interaction of oxygen reduction reaction intermediates with Au (100) and bimetallic Au/M (100) (M=Pt, Cu, and Fe) surfaces. Int. J. Ind. Chem. 2013, 4, 33. [Google Scholar] [CrossRef][Green Version]
- Rumble, J. CRC Handbook of Chemistry and Physics, 102nd ed.; CRC Press: Boca Raton, FL, USA, 2021. [Google Scholar]
- Garrity, K.F.; Bennett, J.W.; Rabe, K.M.; Vanderbilt, D. Pseudopotentials for high-throughput DFT calculations. Comput. Mater. Sci. 2014, 81, 446–452. [Google Scholar] [CrossRef]
- Schlipf, M.; Gygi, F. Optimization algorithm for the generation of ONCV pseudopotentials. Comput. Phys. Commun. 2015, 196, 36–44. [Google Scholar] [CrossRef]
- Plöger, J.; Mueller, J.; Jacob, T.; Anton, J. Theoretical Studies on the Adsorption of 1-Butyl-3-methyl-imidazolium-hexafluorophosphate (BMI/PF6) on Au(100) Surfaces. Top. Catal. 2016, 59, 792–801. [Google Scholar] [CrossRef]
- Perdew, J.P.; Chevary, J.A.; Vosko, S.H.; Jackson, K.A.; Pederson, M.R.; Singh, D.J.; Fiolhais, C. Atoms, molecules, solids, and surfaces: Applications of the generalized gradient approximation for exchange and correlation. Phys. Rev. B 1992, 46, 6671–6687. [Google Scholar] [CrossRef] [PubMed]
- Perdew, J.P.; Burke, K.; Ernzerhof, M. Generalized Gradient Approximation Made Simple. Phys. Rev. Lett. 1996, 77, 3865–3868. [Google Scholar] [CrossRef] [PubMed]
- Sundararaman, R.; Arias, T.A. Regularization of the Coulomb singularity in exact exchange by Wigner-Seitz truncated interactions: Towards chemical accuracy in nontrivial systems. Phys. Rev. B 2013, 87, 165122. [Google Scholar] [CrossRef]
- Freysoldt, C.; Boeck, S.; Neugebauer, J. Direct minimization technique for metals in density functional theory. Phys. Rev. B 2009, 79, 241103. [Google Scholar] [CrossRef]
- Sundararaman, R.; Ping, Y. First-principles electrostatic potentials for reliable alignment at interfaces and defects. J. Chem. Phys. 2017, 146, 104109. [Google Scholar] [CrossRef]
- Lepetit, B. Electronic field emission models beyond the Fowler-Nordheim one. J. Appl. Phys. 2017, 122, 215105. [Google Scholar] [CrossRef]
- Forbes, R.G. Calculation of the electrical-surface (image-plane) position for aluminium. Ultramicroscopy 1998, 73, 31–35. [Google Scholar] [CrossRef]
- Forbes, R.G. The electrical surface as centroid of the surface-induced charge. Ultramicroscopy 1999, 79, 25–34. [Google Scholar] [CrossRef]
- Hairer, E.; Wanner, G.; Nørsett, S.P. (Eds.) Runge-Kutta and Extrapolation Methods. In Solving Ordinary Differential Equations I: Nonstiff Problems; Springer: Berlin/Heidelberg, Germany, 1993; pp. 129–353. [Google Scholar]
- Landau, L.D.; Lifschitz, E.M. Quantum Mechanics; Pergamon: Oxford, UK, 1958. [Google Scholar]
- Mayer, A. A comparative study of the electron transmission through one-dimensional barriers relevant to field-emission problems. J. Phys. Condens. Matter 2010, 22, 175007. [Google Scholar] [CrossRef]
- Forbes, R.G. Physics of generalized Fowler-Nordheim-type equations. J. Vac. Sci. Technol. B Microelectron. Nanometer Struct. 2008, 26, 788. [Google Scholar] [CrossRef]
- Schwettman, H.A.; Turneaure, J.P.; Waites, R.F. Evidence for surface-state-enhanced field emission in rf superconducting cavities. J. Appl. Phys. 1974, 45, 914–922. [Google Scholar] [CrossRef]
- Lepetit, B. A three dimensional numerical quantum mechanical model of electronic field emission from metallic surfaces with nanoscale corrugation. J. Appl. Phys. 2019, 125, 025107. [Google Scholar] [CrossRef]
- Márquez-Mijares, M.; Lepetit, B. A three dimensional numerical quantum mechanical model of field electron emission from metallic surfaces covered with carbon adsorbates. J. Appl. Phys. 2019, 126, 065107. [Google Scholar] [CrossRef]
- Reiss, H.R. The tunnelling model of laser-induced ionization and its failure at low frequencies. J. Phys. B At. Mol. Opt. Phys. 2014, 47, 204006. [Google Scholar] [CrossRef]
- Raether, H. Surface plasmons on smooth surfaces. In Surface Plasmons on Smooth and Rough Surfaces and on Gratings; Springer: Berlin/Heidelberg, Germany, 1988; pp. 4–39. [Google Scholar]
- Olmon, R.L.; Slovick, B.; Johnson, T.W.; Shelton, D.; Oh, S.-H.; Boreman, G.D.; Raschke, M.B. Optical dielectric function of gold. Phys. Rev. B 2012, 86, 235147. [Google Scholar] [CrossRef]










Disclaimer/Publisher’s Note: The statements, opinions and data contained in all publications are solely those of the individual author(s) and contributor(s) and not of MDPI and/or the editor(s). MDPI and/or the editor(s) disclaim responsibility for any injury to people or property resulting from any ideas, methods, instructions or products referred to in the content. |
© 2023 by the authors. Licensee MDPI, Basel, Switzerland. This article is an open access article distributed under the terms and conditions of the Creative Commons Attribution (CC BY) license (https://creativecommons.org/licenses/by/4.0/).
Share and Cite
Li, Y.; Mann, J.; Rosenzweig, J. Modeling Field Electron Emission from a Flat Au (100) Surface with Density-Functional Theory. Instruments 2023, 7, 47. https://doi.org/10.3390/instruments7040047
Li Y, Mann J, Rosenzweig J. Modeling Field Electron Emission from a Flat Au (100) Surface with Density-Functional Theory. Instruments. 2023; 7(4):47. https://doi.org/10.3390/instruments7040047
Chicago/Turabian StyleLi, Yiming, Joshua Mann, and James Rosenzweig. 2023. "Modeling Field Electron Emission from a Flat Au (100) Surface with Density-Functional Theory" Instruments 7, no. 4: 47. https://doi.org/10.3390/instruments7040047
APA StyleLi, Y., Mann, J., & Rosenzweig, J. (2023). Modeling Field Electron Emission from a Flat Au (100) Surface with Density-Functional Theory. Instruments, 7(4), 47. https://doi.org/10.3390/instruments7040047

