Regression with Gaussian Mixture ModelsApplied to Track Fitting
Abstract
1. Introduction
2. Linear Regression in Gaussian Models
2.1. Linear Gaussian Regression Models
2.2. Estimation, Fisher Information Matrix and Efficiency
2.3. Nonlinear Gaussian Regression Models
3. Linear Regression in Gaussian Mixture Models
3.1. Homoskedastic Mixture Models
3.2. Heteroskedastic Mixture Models
4. Track Fitting with Gaussian Mixture Models
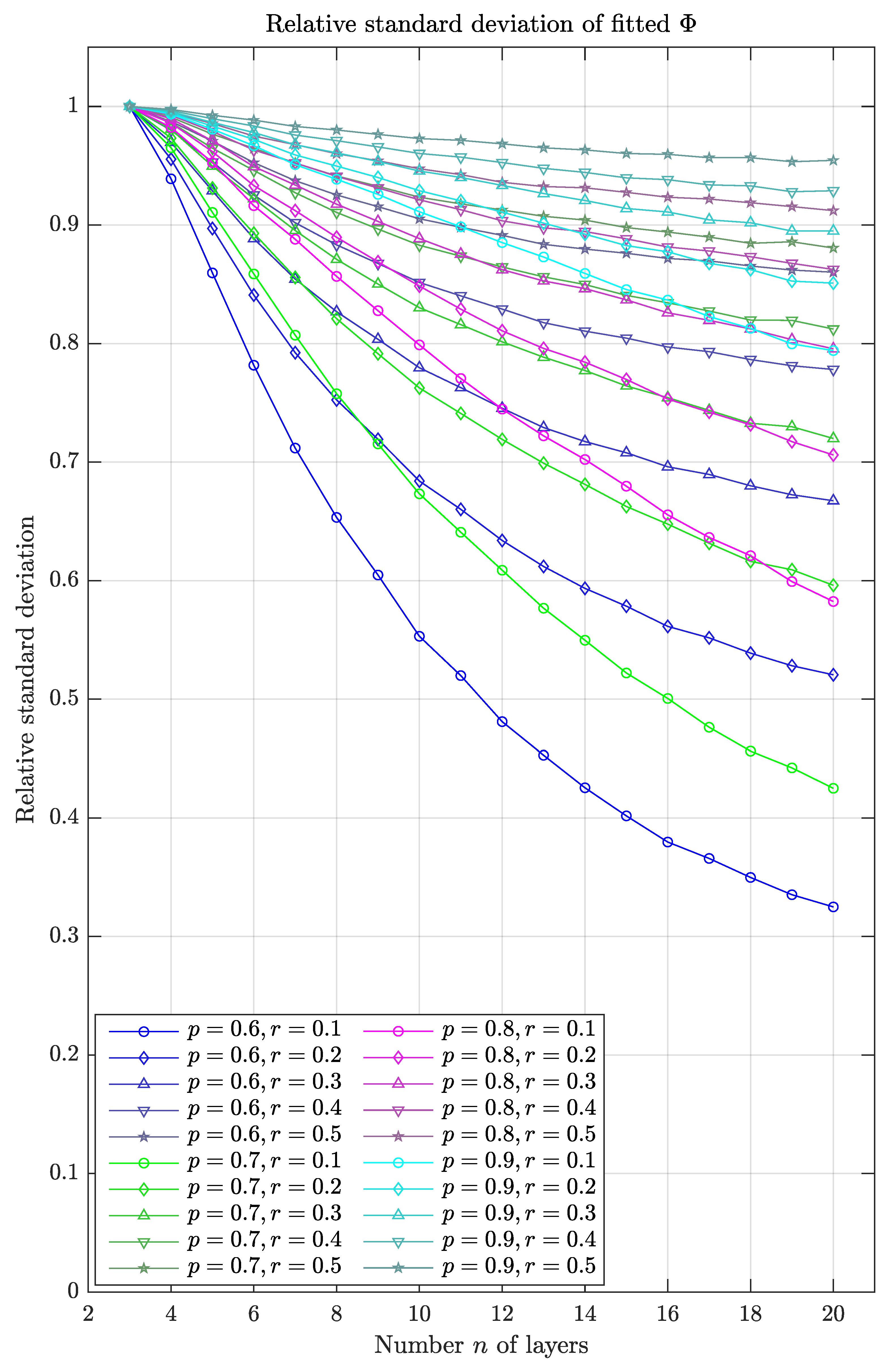
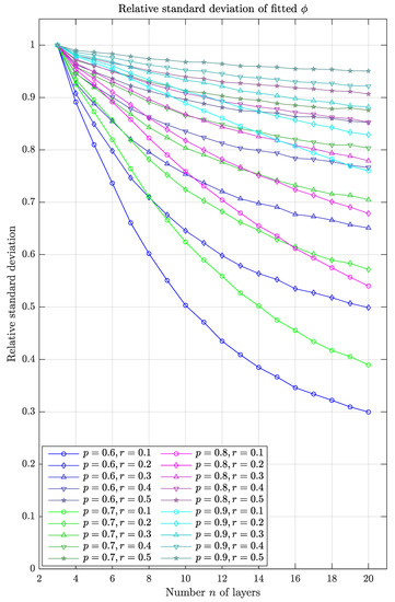
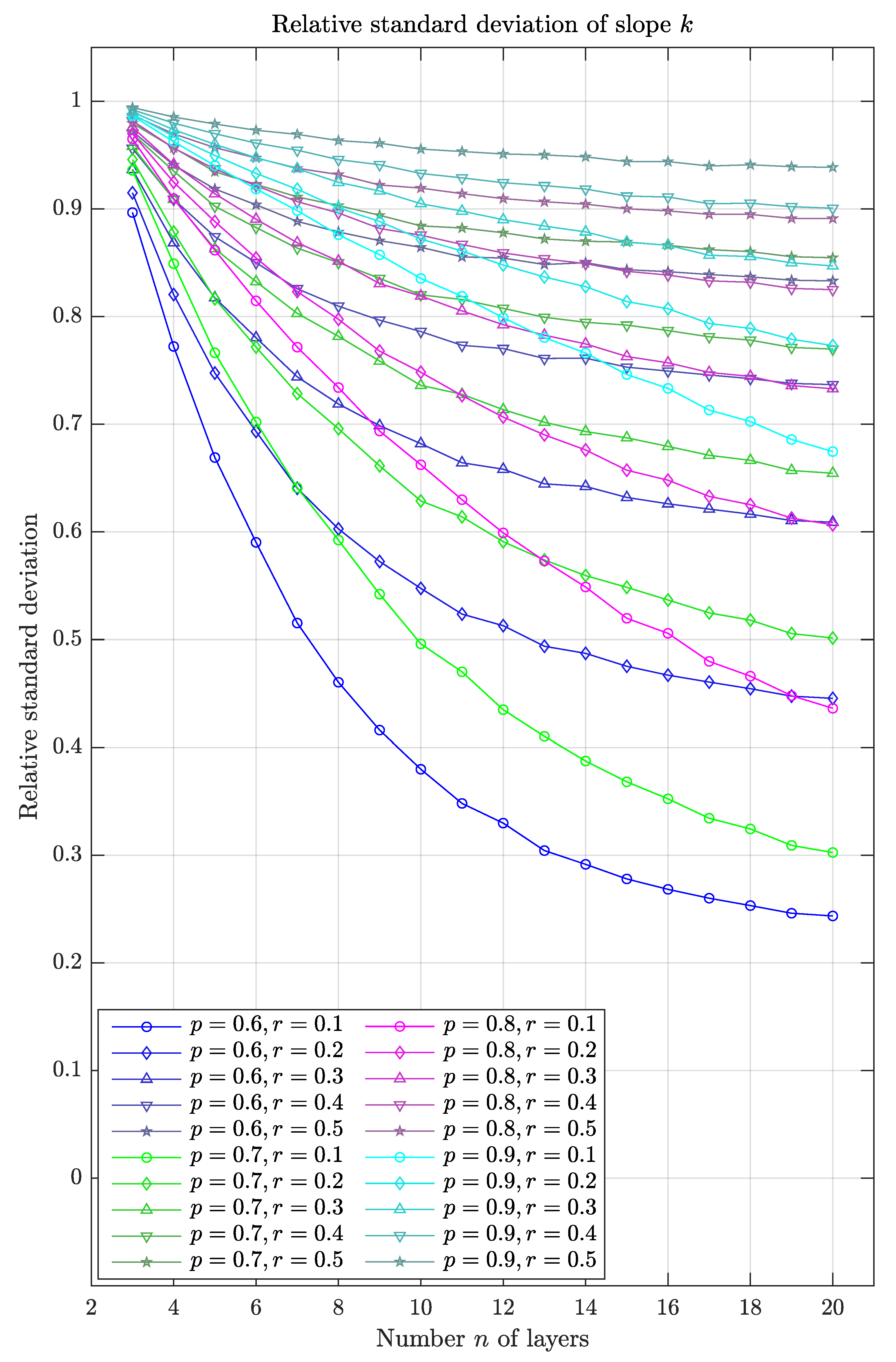
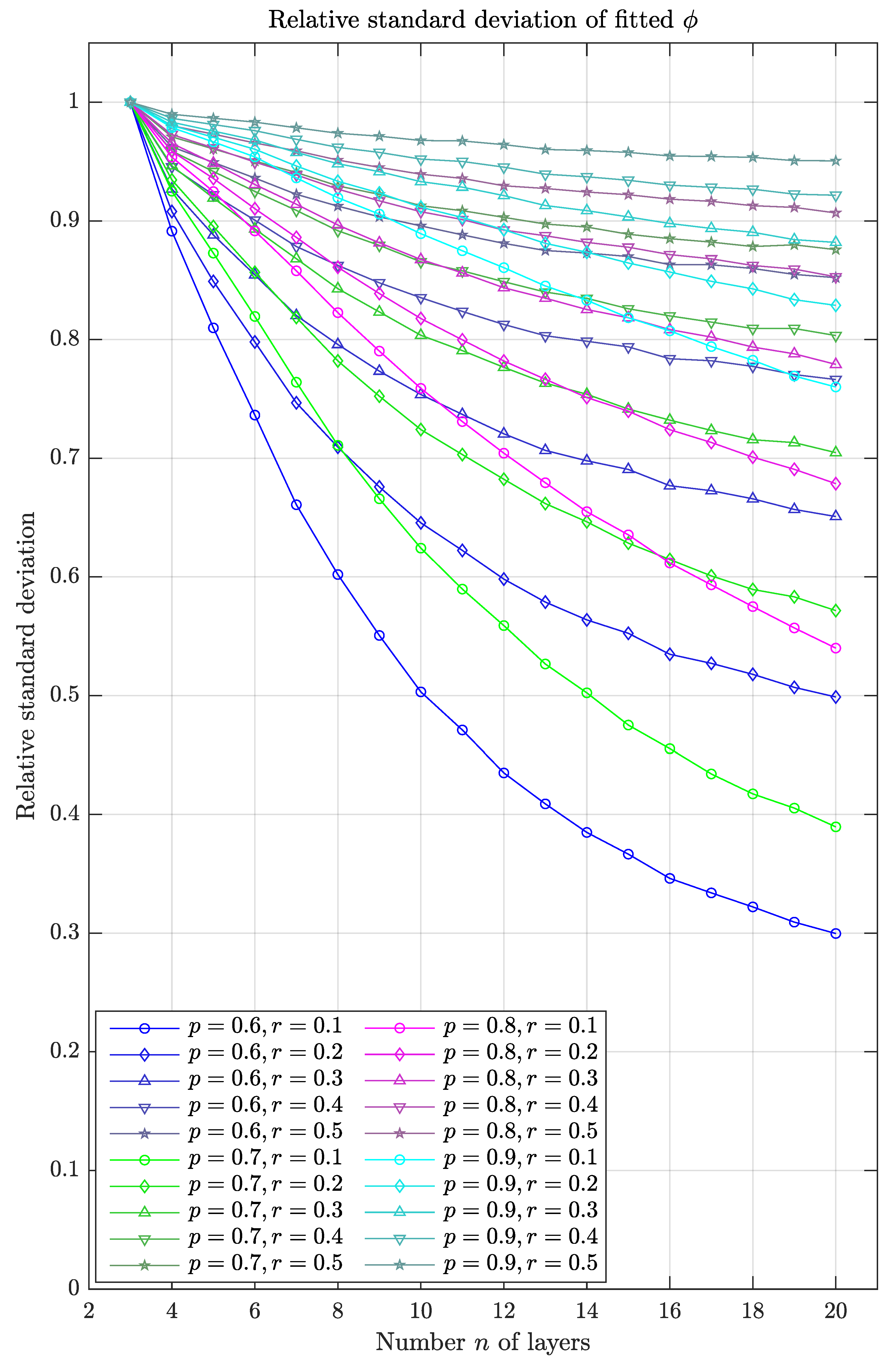
4.1. Simulation Study with Straight Tracks
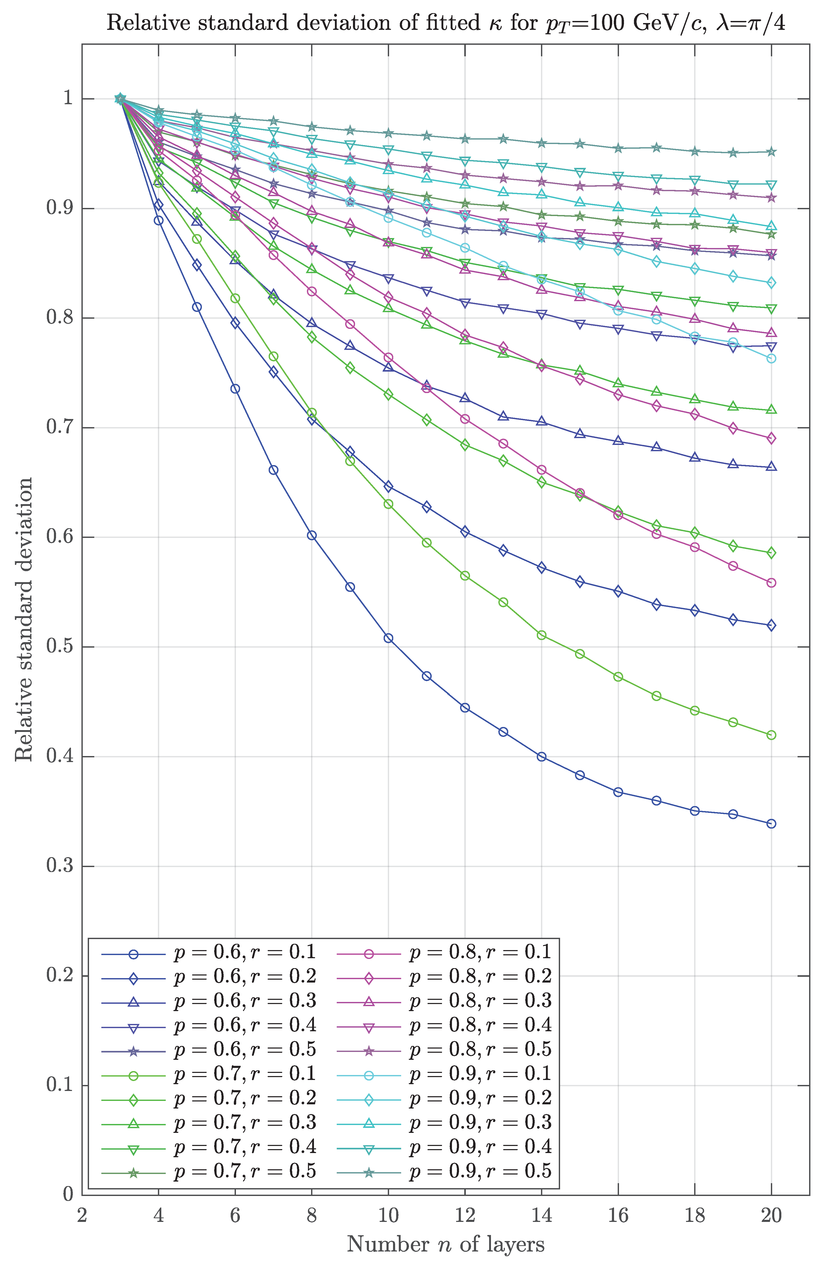
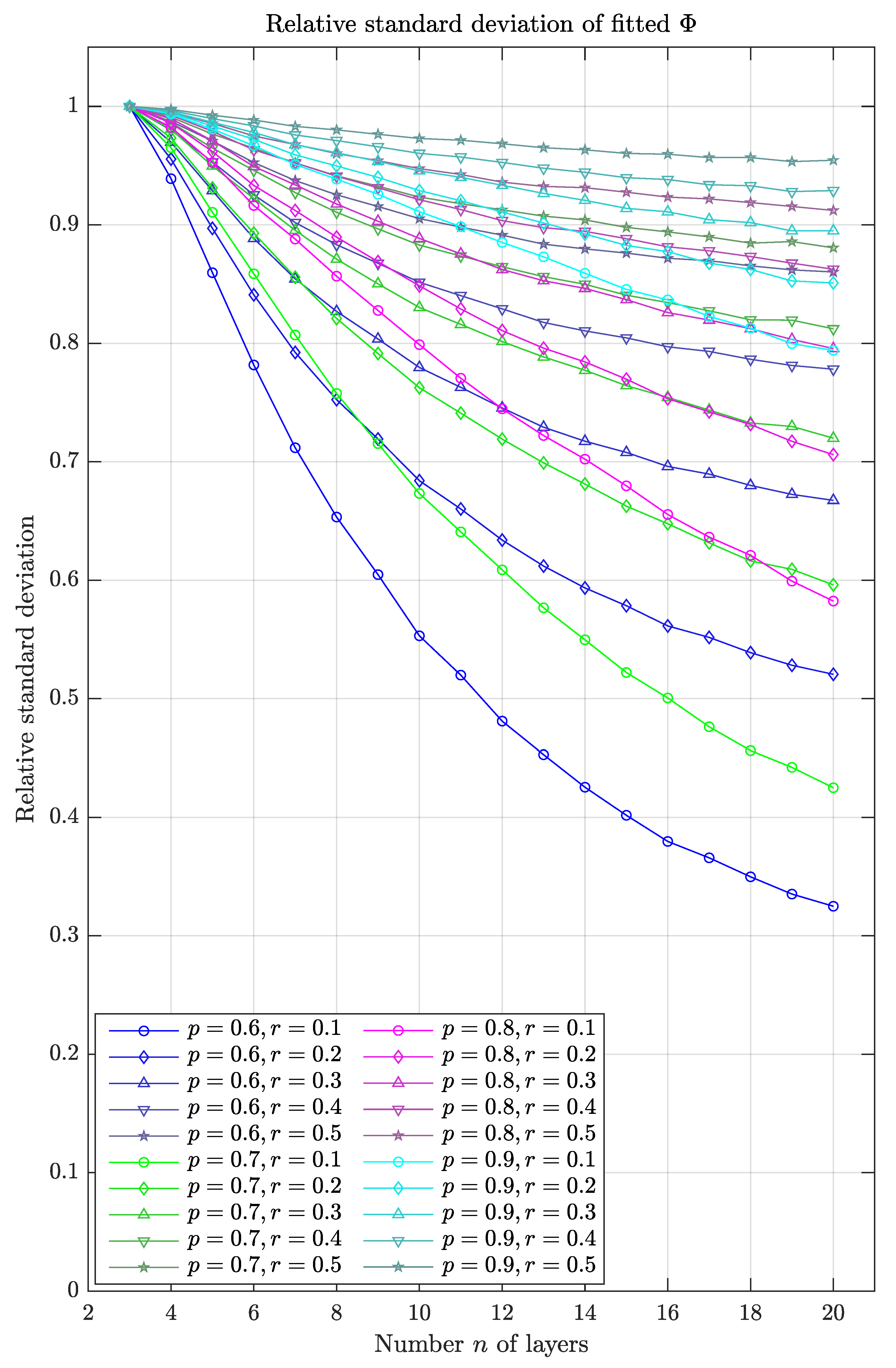
4.2. Simulation Study with Circular Tracks
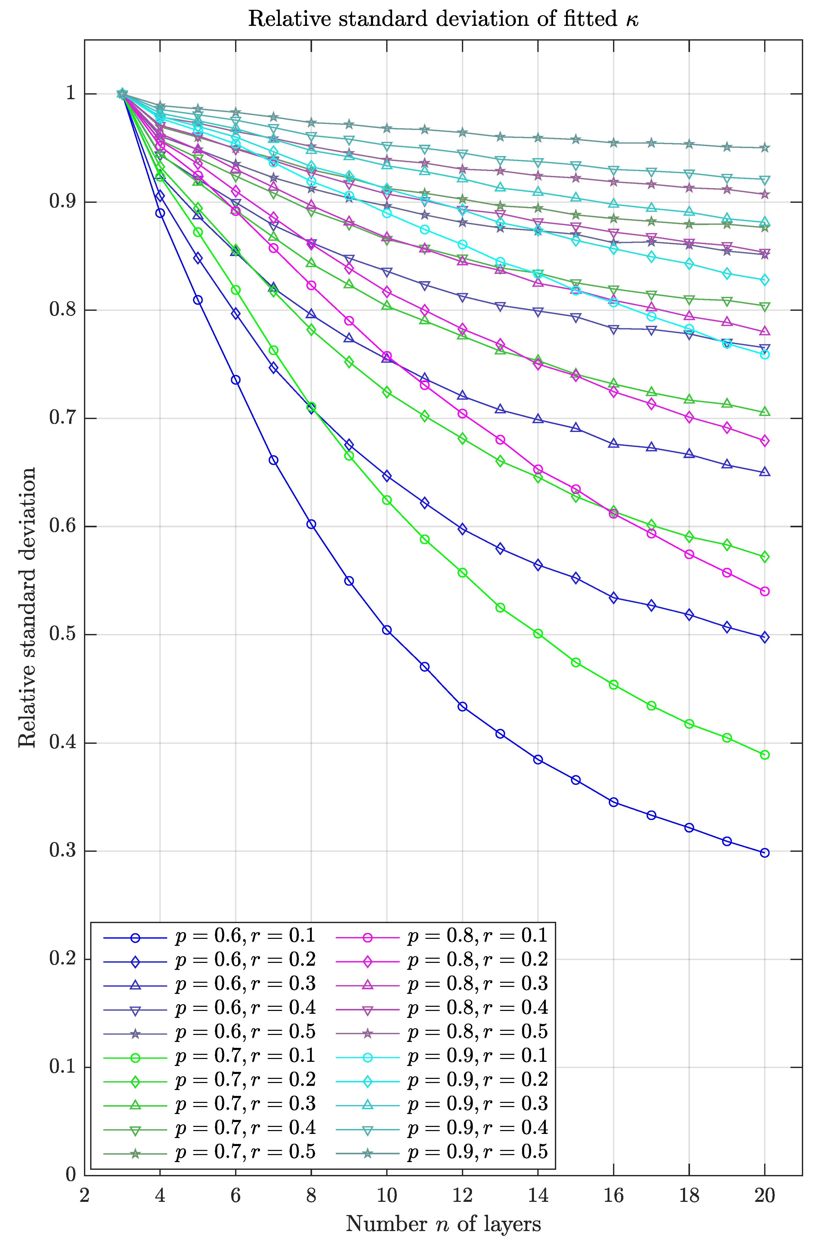
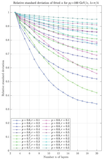
4.3. Simulation Study with Circular Tracks and Multiple Scattering
5. Summary and Conclusions
Funding
Acknowledgments
Conflicts of Interest
Abbreviations
| GM | Gaussian Mixture |
| GMM | Gaussian Mixture Model |
| GMR | Gaussian Mixture Regression |
| LGRM | Linear Gaussian Regression Model |
| LS | Least-Squares |
| MCS | Multiple Coulomb Scattering |
| Probability Density Function |
References
- Frühwirth, R. Track fitting with non-Gaussian noise. Comput. Phys. Commun. 1997, 100, 1. [Google Scholar] [CrossRef]
- Frühwirth, R.; Strandlie, A. Track fitting with ambiguities and noise: A study of elastic tracking and nonlinear filters. Comput. Phys. Commun. 1999, 120, 197. [Google Scholar] [CrossRef]
- Frühwirth, R.; Regler, M. On the quantitative modelling of core and tails of multiple scattering by Gaussian mixtures. Nucl. Instrum. Meth. Phys. Res. A 2001, 456, 369. [Google Scholar] [CrossRef]
- Frühwirth, R.; Liendl, M. Mixture models of multiple scattering: Computation and simulation. Comput. Phys. Commun. 2001, 141, 230. [Google Scholar] [CrossRef]
- Frühwirth, R. A Gaussian-mixture approximation of the Bethe-Heitler model of electron energy loss by bremsstrahlung. Comput. Phys. Commun. 2003, 154, 131. [Google Scholar] [CrossRef]
- Adam, W.; Frühwirth, R.; Strandlie, A.; Todorov, T. Reconstruction of electrons with the Gaussian-sum filter in the CMS tracker at the LHC. J. Phys. G Nucl. Part. Phys. 2005, 31, N9. [Google Scholar] [CrossRef]
- Strandlie, A.; Frühwirth, R. Reconstruction of charged tracks in the presence of large amounts of background and noise. Nucl. Instrum. Meth. Phys. Res. A 2006, 566, 157. [Google Scholar] [CrossRef]
- The ATLAS Collaboration. Improved Electron Reconstruction in ATLAS Using the Gaussian Sum Filter-Based Model for Bremsstrahlung; Technical Report ATLAS-CONF-2012-047; CERN: Geneva, Switzerland, 2012. [Google Scholar]
- Strandlie, A.; Frühwirth, R. Track and vertex reconstruction: From classical to adaptive methods. Rev. Mod. Phys. 2010, 82, 1419. [Google Scholar] [CrossRef]
- Dempster, A.P.; Laird, N.M.; Rubin, D.B. Maximum likelihood from incomplete data via the EM algorithm. J. Royal Stat. Soc. Ser. B 1977, 39, 1. [Google Scholar]
- Borman, S. The Expectation Maximization Algorithm—A Short Tutorial; Technical Report; University of Utah: Salt Lake City, UT, USA, 2004; Available online: tinyurl.com/BormanEM (accessed on 30 August 2020).
- Landi, G.; Landi, G. Optimizing Momentum Resolution with a New Fitting Method for Silicon-Strip Detectors. Instruments 2018, 2, 22. [Google Scholar] [CrossRef]
- Landi, G.; Landi, G. Beyond the Limit of the Least Squares Resolution and the Lucky Model. 2018. Available online: http://xxx.lanl.gov/abs/1808.06708 (accessed on 20 August 2020).
- Landi, G.; Landi, G. The Cramer–Rao Inequality to Improve the Resolution of the Least-Squares Method in Track Fitting. Instruments 2020, 4, 2. [Google Scholar] [CrossRef]
- Kendall, M.; Stuart, A. The Advanced Theory of Statistics, 3rd ed.; Charles Griffin: London, UK, 1973; Volume 2. [Google Scholar]
- Pearson, K. Contributions to the mathematical theory of evolution. Phils. Trans. R. Soc. Lond. A 1894, 185. [Google Scholar]
- Brondolin, E.; Frühwirth, R.; Strandlie, A. Pattern recognition and reconstruction. In Particle Physics Reference Library Volume 2: Detectors for Particles and Radiation; Fabjan, C., Schopper, H., Eds.; Springer International Publishing: Cham, Switzerland, 2020. [Google Scholar]











| p = 0.6 | p = 0.7 | p = 0.8 | p = 0.9 | |||||
|---|---|---|---|---|---|---|---|---|
| r = 0.1 | 64.3 | 6.4 | 59.6 | 6.0 | 55.8 | 5.6 | 52.7 | 5.3 |
| r = 0.2 | 63.7 | 12.7 | 59.3 | 11.9 | 55.6 | 11.1 | 52.6 | 10.5 |
| r = 0.3 | 62.7 | 18.8 | 58.6 | 17.6 | 55.3 | 16.6 | 52.4 | 15.7 |
| r = 0.4 | 61.4 | 24.5 | 57.8 | 23.1 | 54.8 | 21.9 | 52.2 | 20.9 |
| r = 0.5 | 59.7 | 29.9 | 56.8 | 28.4 | 54.2 | 27.1 | 52.0 | 26.0 |
© 2020 by the author. Licensee MDPI, Basel, Switzerland. This article is an open access article distributed under the terms and conditions of the Creative Commons Attribution (CC BY) license (http://creativecommons.org/licenses/by/4.0/).
Share and Cite
Frühwirth, R. Regression with Gaussian Mixture ModelsApplied to Track Fitting. Instruments 2020, 4, 25. https://doi.org/10.3390/instruments4030025
Frühwirth R. Regression with Gaussian Mixture ModelsApplied to Track Fitting. Instruments. 2020; 4(3):25. https://doi.org/10.3390/instruments4030025
Chicago/Turabian StyleFrühwirth, Rudolf. 2020. "Regression with Gaussian Mixture ModelsApplied to Track Fitting" Instruments 4, no. 3: 25. https://doi.org/10.3390/instruments4030025
APA StyleFrühwirth, R. (2020). Regression with Gaussian Mixture ModelsApplied to Track Fitting. Instruments, 4(3), 25. https://doi.org/10.3390/instruments4030025

