Two-Band Electronic Reconstruction Induced via Correlation and CDW Order Effects
Abstract
1. Introduction
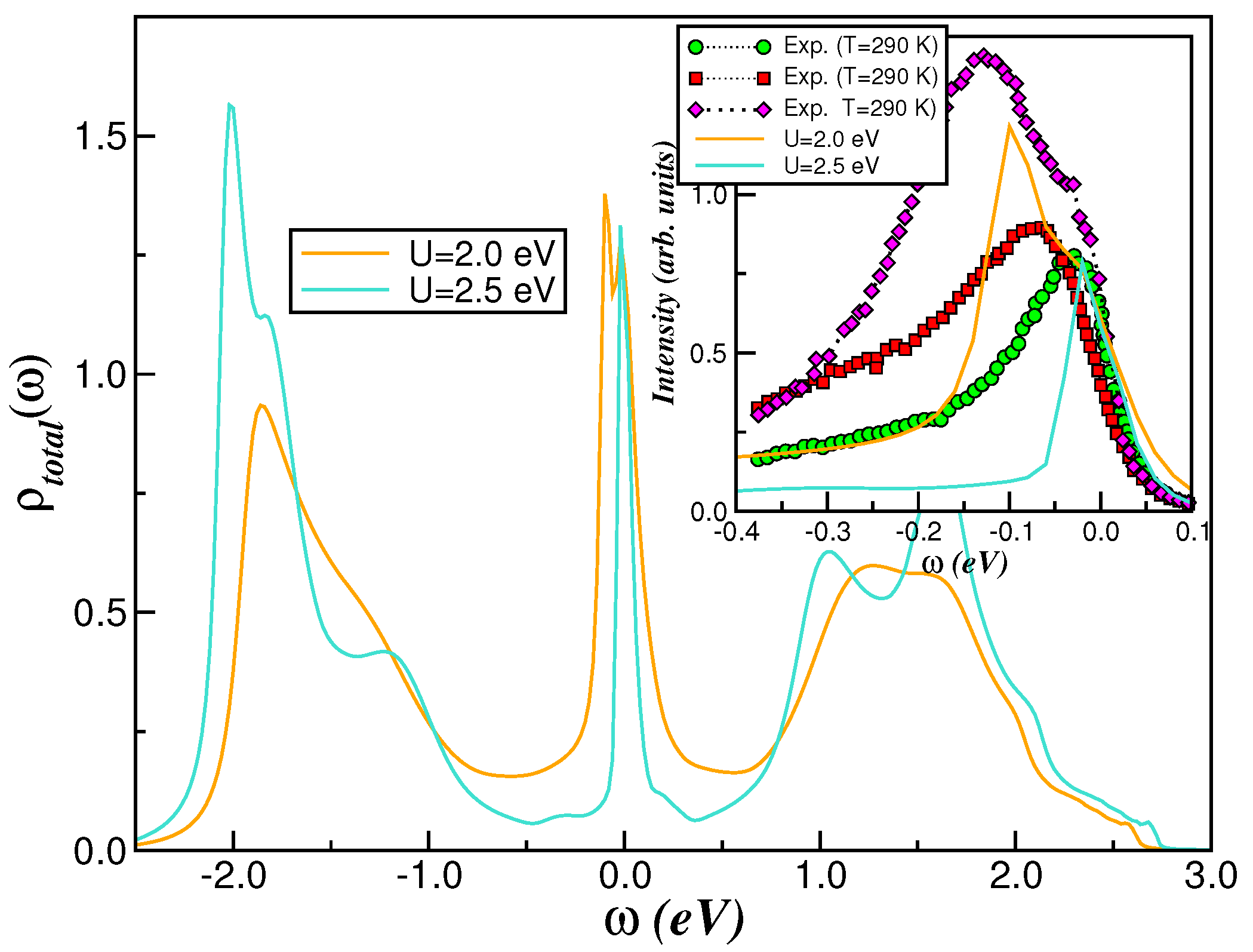
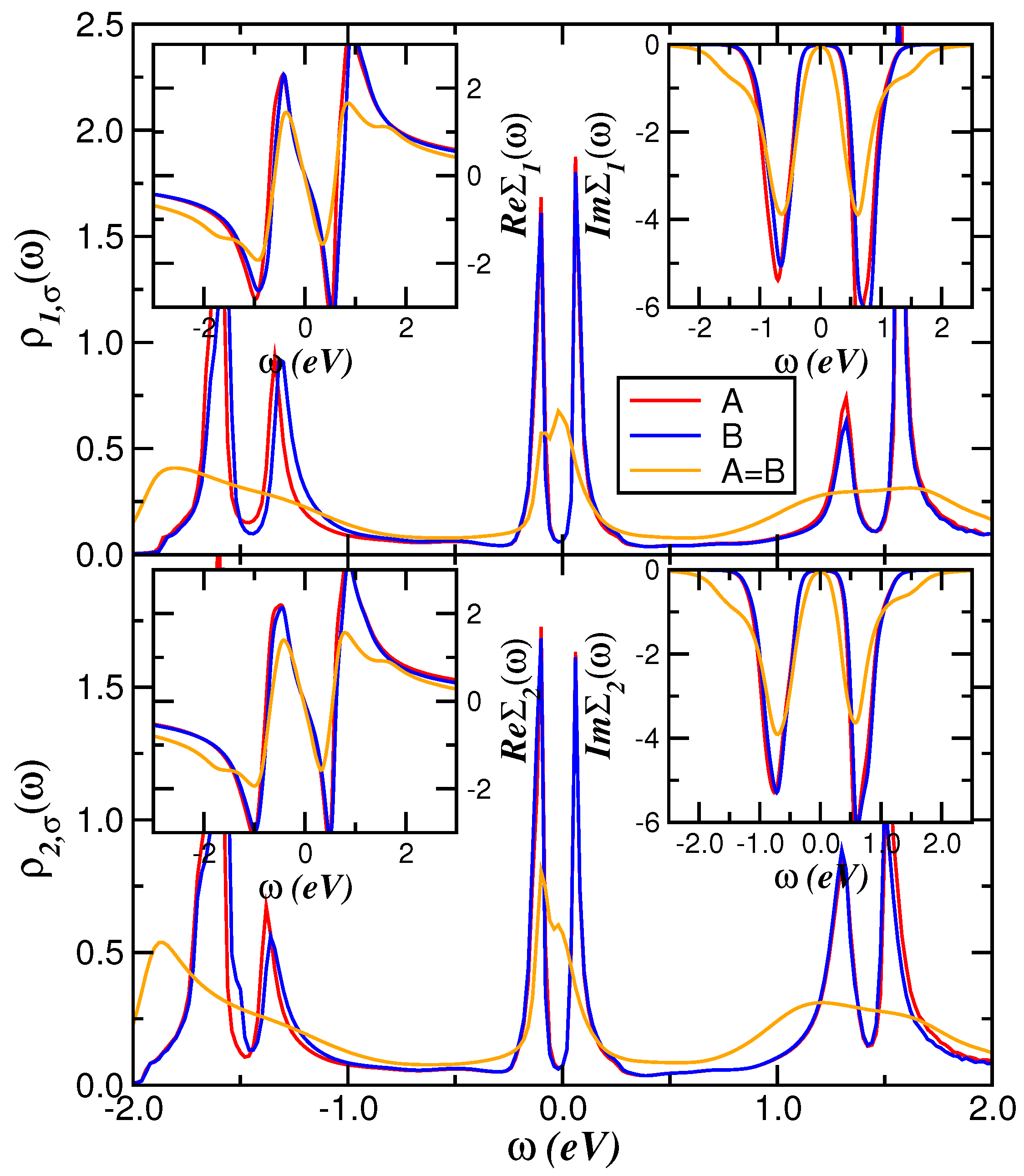
2. Theory and Results
3. Conclusions
Funding
Data Availability Statement
Acknowledgments
Conflicts of Interest
References
- Mott, N.F. Metal-insulator transition. Rev. Mod. Phys. 1968, 40, 677. [Google Scholar] [CrossRef]
- Imada, M.; Fujimori, A.; Tokura, Y. Metal-insulator transitions. Rev. Mod. Phys. 1998, 70, 1039. [Google Scholar] [CrossRef]
- Laad, M.S.; Craco, L. Mott transition: A brief review. Adv. Quantum Tecnol. 2024, 2200186. [Google Scholar] [CrossRef]
- Bao, C.; Zhong, H.; Wang, F.; Lin, T.; Zhang, H.; Sun, Z.; Duan, W.; Zhou, S. Distinguishing and controlling Mottness in 1T-TaS2 by ultrafast light. Phys. Rev. B 2023, 107, L121103. [Google Scholar] [CrossRef]
- Georges, A.; Kotliar, G.; Krauth, W.; Rozenberg, M.J. Dynamical mean-field theory of strongly correlated fermion systems and the limit of infinite dimensions. Rev. Mod. Phys. 1996, 68, 13. [Google Scholar] [CrossRef]
- Damascelli, A.; Hussain, Z.; Shen, Z.-X. Angle-resolved photoemission studies of the cuprate superconductors. Rev. Mod. Phys. 2003, 75, 473. [Google Scholar] [CrossRef]
- Lee, P.A.; Nagaosa, N.; Wen, X.-G. Doping a Mott insulator: Physics of high-temperature superconductivity. Rev. Mod. Phys. 2006, 78, 17. [Google Scholar] [CrossRef]
- Gamble, F.R.; Osiecki, J.H.; Cais, M.; Pisharody, R.; DiSalvo, F.J.; Geballe, T.H. Intercalation complexes of Lewis bases and layered sulfides: A large class of new superconductors. Science 1971, 174, 493. [Google Scholar] [CrossRef]
- Morosan, E.; Zandbergen, H.W.; Dennis, B.S.; Bos, J.W.G.; Onose, Y.; Klimczuk, T.; Ramirez, A.P.; Ong, N.P.; Cava, R.J. Superconductivity in CuxTiSe2. Nature Phys. 2006, 2, 544. [Google Scholar] [CrossRef]
- Wagner, K.E.; Morosan, E.; Hor, Y.S.; Tao, J.; Zhu, Y.; Sanders, T.; McQueen, T.M.; Zandbergen, H.W.; Williams, A.J.; West, D.V.; et al. Tuning the charge density wave and superconductivity in CuxTaS2. Phys. Rev. B 2008, 78, 104520. [Google Scholar] [CrossRef]
- Kusmartseva, A.F.; Sipos, B.; Berger, H.; Forró, L.; Tutis, E. Pressure induced superconductivity in pristine 1T-TiSe2. Phys. Rev. Lett. 2009, 103, 236401. [Google Scholar] [CrossRef]
- Sipos, B.; Kusmartseva, A.F.; Akrap, A.; Berger, H.; Forró, L.; Tutiš, E. From Mott state to superconductivity in 1T-TaS2. Nat. Mater. 2008, 7, 960. [Google Scholar] [CrossRef]
- Yu, Y.; Yang, F.; Lu, X.F.; Yan, Y.J.; Cho, Y.-H.; Ma, L.; Niu, X.; Kim, S.; Son, Y.-W.; Feng, D.; et al. Gate-tunable phase transitions in thin flakes of 1T-TaS2. Nat. Nanotech. 2015, 10, 270. [Google Scholar] [CrossRef]
- Smith, N.V.; Kevan, S.D.; DiSalvo, F.J. Band structures of the layer compounds 1T-TaS2 and 2H-TaSe2 in the presence of commensurate charge-density waves. J. Phys. C 1985, 18, 3175. [Google Scholar] [CrossRef]
- Kim, J.-J.; Yamaguchi, W.; Hasegawa, T.; Kitazawa, K. Observation of Mott localization gap using low temperature scanning tunneling spectroscopy in commensurate 1T-TaS2. Phys. Rev. Lett. 1994, 73, 2103. [Google Scholar] [CrossRef]
- Perfetti, L.; Gloor, T.A.; Mila, F.; Berger, H.; Grioni, M. Unexpected periodicity in the quasi-two-dimensional Mott insulator 1T-TaS2 revealed by angle-resolved photoemission. Phys. Rev. B 2005, 71, 153101. [Google Scholar] [CrossRef]
- Nakata, Y.; Sugawara, K.; Chainani, A.; Oka, H.; Bao, C.; Zhou, S.; Chuang, P.-Y.; Cheng, C.-M.; Kawakami, T.; Saruta, Y.; et al. Robust charge-density wave strengthened by electron correlations in monolayer 1T-TaSe2 and 1T-NbSe2. Nat. Commun. 2021, 12, 5873. [Google Scholar] [CrossRef]
- Wilson, J.A.; Di Salvo, F.; Mahajan, S. Charge-density waves and superlattices in the metallic layered transition metal dichalcogenides. Adv. Phys. 1975, 24, 117. [Google Scholar] [CrossRef]
- Scruby, C.; Williams, P.; Parry, G. The role of charge density waves in structural transformations of 1T-TaS2. Philos. Mag. 1975, 31, 255. [Google Scholar] [CrossRef]
- Valla, T.; Fedorov, A.V.; Johnson, P.D.; Xue, J.; Smith, K.E.; DiSalvo, F.J. Charge-density-wave-induced modifications to the quasiparticle self-energy in 2H-TaSe2. Phys. Rev. Lett. 2000, 85, 4759. [Google Scholar] [CrossRef]
- Baek, S.-H.; Sur, Y.; Kim, K.K.; Vojta, M.; Büchner, B. Interplay of charge density waves, disorder, and superconductivity in 2H-TaSe2 elucidated by NMR. New J. Phys. 2022, 24, 043008. [Google Scholar] [CrossRef]
- Bhoi, D.; Khim, S.; Nam, W.; Lee, B.S.; Kim, C.; Jeon, B.-G.; Min, B.H.; Park, S.; Kim, K.H. Interplay of charge density wave and multiband superconductivity in 2H-PdxTaSe2. Sci. Rep. 2016, 6, 24068. [Google Scholar] [CrossRef]
- Xu, S.; Liu, Z.; Yang, P.; Chen, K.; Sun, J.; Dai, J.; Yin, Y.; Hong, F.; Yu, X.; Xue, M.; et al. Superconducting phase diagrams of S-doped 2H-TaSe2 under hydrostatic pressure. Phys. Rev. B 2020, 102, 184511. [Google Scholar] [CrossRef]
- Zhong, A.; Shen, X.; Kogar, A.; Ye, L.; Marks, C.; Chowdhury, D.; Rohwer, T.; Freelon, B.; Weathersby, S.; Li, R.; et al. Ultrafast manipulation of mirror domain walls in a charge density wave. Sci. Adv. 2018, 4, eaau5501. [Google Scholar] [CrossRef]
- Petkov, V.; Peralta, J.E.; Aoun, B. Ren, Y. Atomic structure and Mott nature of the insulating charge density wave phase of 1T-TaS2. J. Phys. Condens. Matter. 2022, 34, 345401. [Google Scholar] [CrossRef]
- Zwick, F.; Berger, H.; Vobornik, I.; Margaritondo, G.; Forra, F.; Beeli, C.; Onellion, M.; Panaccione, G.; Taleb-Ibrahimi, A.; Grioni, M. Spectral Consequences of Broken Phase Coherence in 1T-TaS2. Phys. Rev. Lett. 1998, 81, 1058. [Google Scholar] [CrossRef]
- Law, K.T.; Lee, P.A. 1T-TaS2 as a quantum spin liquid. Proc. Natl. Acad. Sci. USA 2017, 114, 6996. [Google Scholar] [CrossRef]
- Tosatti, E.; Fazekas, P. On the nature of the low-temperature phase of 1T-TaS2. J. Phys. Colloq. 1976, 37, 165. [Google Scholar] [CrossRef]
- Tosatti, E.; Fazekas, P. Electrical, structural and magnetic properties of pure and doped 1T-TaS2. Phil. Mag. B 1979, 39, 4. [Google Scholar]
- Crippa, L.; Bae, H.; Wunderlich, P.; Mazin, I.I.; Yan, B.; Sangiovanni, G.; Wehling, T.; Valenti, R. Heavy fermions vs doped Mott physics in heterogeneous Ta-dichalcogenide bilayers. Nat. Commun. 2024, 15, 1357. [Google Scholar] [CrossRef]
- Zhao, J.; Wijayaratne, K.; Butler, A.; Yang, J.; Malliakas, C.D.; Chung, D.Y.; Louca, D.; Kanatzidis, M.G.; van Wezel, J.; Chatterjee, U. Orbital selectivity causing anisotropy and particle-hole asymmetry in the charge density wave gap of 2H-TaS2. Phys. Rev. B 2017, 96, 125103. [Google Scholar] [CrossRef]
- Borisenko, S.V.; Kordyuk, A.A.; Yaresko, A.N.; Zabolotnyy, V.B.; Inosov, D.S.; Schuster, R.; Büchner, B.; Weber, R.; Follath, R.; Patthey, L.; et al. Pseudogap and charge density waves in two dimensions. Phys. Rev. Lett. 2008, 100, 196402. [Google Scholar] [CrossRef]
- Galvis, J.A.; Rodière, P.; Guillamon, I.; Osorio, M.R.; Rodrigo, J.G.; Cario, L.; Navarro-Moratalla, E.; Coronado, E.; Vieira, S.; Suderow, H. Scanning tunneling measurements of layers of superconducting 2H-TaSe2: Evidence for a zero-bias anomaly in single layers. Phys. Rev. B 2013, 87, 094502. [Google Scholar] [CrossRef]
- Klemm, R.A. Striking similarities between the pseudogap phenomena in cuprates and in layered organic and dichalcogenide superconductors. Phys. C Supercond. 2000, 341–348, 839. [Google Scholar] [CrossRef]
- Vescoli, V.; Degiorgi, L.; Berger, H.; Forró, L. Dynamics of correlated two-dimensional materials: The 2H-TaSe2 case. Phys. Rev. Lett. 1998, 81, 453. [Google Scholar] [CrossRef]
- Ruzicka, B.; Degiorgi, L.; Berger, H.; Gaál, R.; Forró, L. Charge dynamics of 2H-TaSe2 along the less-conducting c-axis. Phys. Rev. Lett. 2001, 86, 4136. [Google Scholar] [CrossRef]
- Rossnage, K. On the origin of charge-density waves in select layered transition-metal dichalcogenides. J. Phys. Condens. Matter 2011, 23, 213001. [Google Scholar] [CrossRef]
- Zhang, K.; Si, C.; Lian, C.-S.; Zhou, J.; Sun, Z. Mottness collapse in monolayer 1T-TaSe2 with persisting charge density wave order. J. Mater. Chem. C 2020, 8, 9742. [Google Scholar] [CrossRef]
- Luckin, W.R.B.; Li, Y.; Jiang, J.; Gunasekera, S.M.; Wen, C.; Zhang, Y.; Prabhakaran, D.; Flicker, F.; Chen, Y.; Mucha-Kruczynski, M. Controlling charge density order in 2H-TaSe2 using a van Hove singularity. Phys. Rev. Res. 2024, 6, 013088. [Google Scholar] [CrossRef]
- Suzuki, M.-T.; Harima, H. Electronic band structures and charge density wave of 2H-MX2 (M = Nb, Ta, X = S, Se). Phys. B Condens. Matter 2005, 359, 1180. [Google Scholar] [CrossRef]
- Inosov, D.S.; Evtushinsky, D.V.; Zabolotnyy, V.B.; Kordyuk, A.A.; Büchner, B.; Follath, R.; Berger, H.; Borisenko, S.V. Temperature-dependent Fermi surface of 2H-TaSe2 driven by competing density wave order fluctuations. Phys. Rev. B 2009, 79, 125112. [Google Scholar] [CrossRef]
- Darancet, P.; Millis, A.J.; Marianetti, C.A. Three-dimensional metallic and two-dimensional insulating behavior in octahedral tantalum dichalcogenides. Phys. Rev. B 2014, 90, 045134. [Google Scholar] [CrossRef]
- Yu, X.-L.; Liu, D.-Y.; Quan, Y.-M.; Wu, J.; Lin, H.-Q.; Chang, K.; Zou, L.-J. Electronic correlation effects and orbital density wave in the layered compound 1T-TaS2. Phys. Rev. B 2017, 96, 125138. [Google Scholar] [CrossRef]
- Yi, S.; Zhang, Z.; Cho, J.-H. Coupling of charge, lattice, orbital and spin degrees of freedom in charge density waves in 1T-Tas2. Phys. Rev. B 2018, 97, 041413. [Google Scholar] [CrossRef]
- Chen, Y.; Ruan, W.; Wu, M.; Tang, S.; Ryu, H.; Tsai, H.-Z.; Lee, R.L.; Kahn, S.; Liou, F.; Jia, C.; et al. Strong correlations and orbital texture in single-layer 1T-TaSe2. Nat. Phys. 2020, 16, 218. [Google Scholar] [CrossRef]
- Chen, Y.; Ruan, W.; Cain, J.D.; Lee, R.L.; Kahn, S.; Jia, C.; Zettl, A.; Crommie, M.F. Observation of a multitude of correlated states at the surface of bulk 1T-TaSe2 crystals. Phys. Rev. B 2022, 106, 075153. [Google Scholar] [CrossRef]
- Ramezani, H.R.; Şaşıoğlu, E.; Hadipour, H.; Soleimani, H.R.; Friedrich, C.; Blügel, S.; Mertig, I. Nonconventional screening of Coulomb interaction in two-dimensional semiconductors and metals: A comprehensive constrained random phase approximation study of MX2 (M = Mo, W, Nb, Ta; X = S, Se, Te). Phys. Rev. B 2024, 109, 125108. [Google Scholar] [CrossRef]
- Hwang, J.; Ruan, W.; Chen, Y.; Tang, S.; Crommie, M.F.; Shen, Z.-X.; Mo, S.-K. Charge density waves in two-dimensional transition metal dichalcogenides. Rep. Prog. Phys. 2024, 87, 044502. [Google Scholar] [CrossRef] [PubMed]
- Moncton, D.E.; Axe, J.D.; DiSalvo, F.J. Study of superlattice formation in 2H-NbSe2 and 2H-TaSe2 by neutron scattering. Phys. Rev. Lett. 1975, 34, 734. [Google Scholar] [CrossRef]
- Moncton, D.E.; Axe, J.D.; DiSalvo, F.J. Neutron scattering study of the charge-density wave transitions in 2H-TaSe2 and 2H-NbSe2. Phys. Rev. B 1977, 16, 801. [Google Scholar] [CrossRef]
- Craco, L.; Leoni, S. Strange metal and coherence-incoherence crossover in pressurized La3Ni2O7. Phys. Rev. B 2024, 109, 165116. [Google Scholar] [CrossRef]
- Van Loon, E.G.C.P.; Schüler, M.; Springer, D.; Sangiovanni, G.; Tomczak, J.M.; Wehling, T.O. Coulomb engineering of two-dimensional Mott materials. NPJ 2D Mater. Appl. 2023, 7, 47. [Google Scholar] [CrossRef]
- Mahajan, M.; Kallatt, S.; Dandu, M.; Sharma, N.; Gupta, S.; Majumdar, K. Light emission from the layered metal 2H-TaSe2 and its potential applications. Commun. Phys. 2019, 2, 88. [Google Scholar] [CrossRef]
- Craco, L. Electronic properties of normal and extended Hubbard model for bilayer cuprates. Eur. Phys. J. B 2022, 95, 125. [Google Scholar] [CrossRef]
- Liechtenstein, A.I.; Gunnarsson, O.; Andersen, O.K.; Martin, R.M. Quasiparticle bands and superconductivity in bilayer cuprates. Phys. Rev. B 1996, 54, 12505. [Google Scholar] [CrossRef]
- Hofmann, F.; Potthoff, M. Time-dependent Mott transition in the periodic Anderson model with nonlocal hybridization. Eur. Phys. J. B 2016, 89, 178. [Google Scholar] [CrossRef][Green Version]
- Segal, D.; Millis, A.J.; Reichman, D.R. Nonequilibrium transport in quantum impurity models: Exact path integral simulations. Phys. Chem. Chem. Phys. 2011, 13, 14378. [Google Scholar] [CrossRef] [PubMed][Green Version]
- Craco, L.; Ladd, M.S.; Müller-Hartmann, E. Verwey transition in Fe3O4 investigated using LDA+DMFT. Phys. Rev. B 2006, 74, 064425. [Google Scholar] [CrossRef]
- Craco, L.; Laad, M.S.; Leoni, S.; de Arruda, A.S. Kondoesque origin of resistivity anisotropy in graphite. Phys. Rev. B 2013, 87, 155109. [Google Scholar] [CrossRef]
- Chakravarty, S.; Sudbo, A.; Anderson, P.W.; Strong, S. Interlayer tunneling and gap anisotropy in high-temperature superconductors. Science 1993, 261, 337. [Google Scholar] [CrossRef]
- Kordyuk, A.A.; Borisenko, S.V.; Knupfer, M.; Fink, J. Measuring the gap in angle-resolved photoemission experiments on cuprates. Phys. Rev. B 2003, 67, 064504. [Google Scholar] [CrossRef]
- Craco, L. Quantum orbital entanglement: A view from the extended periodic Anderson model. Phys. Rev. B 2008, 77, 125122. [Google Scholar] [CrossRef]
- Laad, M.S.; Craco, L.; Müller-Hartmann, E. Orbital switching and the first-order insulator-metal transition in paramagnetic V2O3. Phys. Rev. Lett. 2003, 91, 156402. [Google Scholar] [CrossRef] [PubMed]
- Craco, L.; Laad, M.S.; Müller-Hartmann, E. Orbital Kondo effect in CrO2: A combined local-spin-density-approximation dynamical-mean-field-theory study. Phys. Rev. Lett. 2003, 90, 237203. [Google Scholar] [CrossRef] [PubMed]
- Craco, L. Correlated nature of hybrid s-wave superconducting and Rashba lattices. Phys. Rev. B 2021, 104, 064509. [Google Scholar] [CrossRef]
- Fulterer, A.M.; Arrigoni, E. Correlation-induced suppression of bilayer splitting in high-Tc cuprates: A variational cluster approach. J. Supercond. Nov. Magn. 2012, 25, 1769. [Google Scholar] [CrossRef][Green Version]
- Sha, T.; Li, W.; Chen, S.; Jiang, K.; Zhu, J.; Hu, Z.; Huang, Z.; Chu, J.; Kokh, K.A.; Andreev, Y.M. Effects of S-doping on the electronic transition, band gap, and optical absorption of GaSe1−xSx single crystals. J. Alloys Compd. 2017, 721, 164. [Google Scholar] [CrossRef]
- Attaccalite, C.; Prete, M.S.; Palummo, M.; Pulci, O. Interlayer and intralayer excitons in AlN/WS2 heterostructure. Materials 2022, 15, 8318. [Google Scholar] [CrossRef]
- Craco, L. Theoretical investigation into the possibility of multiorbital magnetically ordered states in isotropically superstrained graphene. Phys. Rev. 2017, 96, 165412. [Google Scholar] [CrossRef]
- Craco, L.; Gusmão, M.A. Tight-binding treatment of the Hubbard model in infinite dimensions. Phys. Rev. B 1996, 54, 1629. [Google Scholar] [CrossRef]
- Sugawara, K.; Nakata, Y.; Fujii, K.; Nakayama, K.; Souma, S.; Takahashi, T.; Sato, T. Monolayer VTe2: Incommensurate Fermi surface nesting and suppression of charge density waves. Phys. Rev. B 2019, 99, 241404. [Google Scholar] [CrossRef]
- Wu, Q.; Wang, Z.; Guo, Y.; Yang, F.; Gao, C. Orbital-collaborative charge density waves in monolayer VTe2. Phys. Rev. B 2020, 101, 205105. [Google Scholar] [CrossRef]
- Van Efferen, C.; Berges, J.; Hall, J.; van Loon, E.; Kraus, S.; Schobert, A.; Wekking, T.; Huttmann, F.; Plaar, E.; Rothenbach, N.; et al. A full gap above the Fermi level: The charge density wave of monolayer VS2. Nat. Commun. 2021, 12, 6837. [Google Scholar] [CrossRef]
- Knispel, T.; Berges, J.; Schobert, A.; van Loon, E.G.C.P.; Jolie, W.; Wehling, T.; Michely, T.; Fischer, J. Unconventional charge-density-wave gap in monolayer NbS2. Nano Lett. 2024, 24, 1045. [Google Scholar] [CrossRef] [PubMed]
- Vandelli, M.; Kaufmann, J.; Harkov, V.; Lichtenstein, A.I.; Held, K.; Stepanov, E.A. Extended regime of coexisting metallic and insulating phases in a two-orbital electronic system. Phys. Rev. Res. 2023, 5, L022016. [Google Scholar] [CrossRef]
- Song, Z.-Y.; Jiang, X.-C.; Zhang, Y.-Z. Orbitally selective breakdown of the Fermi liquid and simultaneous enhancement of metallic and insulating states in correlated multiband systems with spin-orbit coupling. Phys. Rev. B 2020, 102, 245124. [Google Scholar] [CrossRef]
- Senthil, T. Theory of a continuous Mott transition in two dimensions. Phys. Rev. B 2008, 78, 045109. [Google Scholar] [CrossRef]
- Li, T.; Jiang, S.; Li, L.; Zhang, Y.; Kang, K.; Zhu, J.; Watanabe, K.; Taniguchi, T.; Chowdhury, D.; Fu, L.; et al. Continuous Mott transition in semiconductor moiré superlattices. Nature 2021, 597, 350. [Google Scholar] [CrossRef]
- Abanov, A.; Wu, Y.-M.; Wang, Y.; Chubukov, A.A. Superconductivity above a quantum critical point in a metal: Gap closing versus gap filling, Fermi arcs, and pseudogap behavior. Phys. Rev. B 2019, 99, 180506. [Google Scholar] [CrossRef]
- Tian, N.; Huang, Z.; Jang, B.G.; Guo, S.; Yan, Y.-J.; Gao, J.; Yu, Y.; Hwang, J.; Tang, C.; Wang, M.; et al. Dimensionality-driven metal to Mott insulator transition in two-dimensional 1T-TaSe2. Natl. Sci. Rev. 2024, 1, nwad144. [Google Scholar] [CrossRef]





Disclaimer/Publisher’s Note: The statements, opinions and data contained in all publications are solely those of the individual author(s) and contributor(s) and not of MDPI and/or the editor(s). MDPI and/or the editor(s) disclaim responsibility for any injury to people or property resulting from any ideas, methods, instructions or products referred to in the content. |
© 2024 by the author. Licensee MDPI, Basel, Switzerland. This article is an open access article distributed under the terms and conditions of the Creative Commons Attribution (CC BY) license (https://creativecommons.org/licenses/by/4.0/).
Share and Cite
Craco, L. Two-Band Electronic Reconstruction Induced via Correlation and CDW Order Effects. Condens. Matter 2024, 9, 42. https://doi.org/10.3390/condmat9040042
Craco L. Two-Band Electronic Reconstruction Induced via Correlation and CDW Order Effects. Condensed Matter. 2024; 9(4):42. https://doi.org/10.3390/condmat9040042
Chicago/Turabian StyleCraco, L. 2024. "Two-Band Electronic Reconstruction Induced via Correlation and CDW Order Effects" Condensed Matter 9, no. 4: 42. https://doi.org/10.3390/condmat9040042
APA StyleCraco, L. (2024). Two-Band Electronic Reconstruction Induced via Correlation and CDW Order Effects. Condensed Matter, 9(4), 42. https://doi.org/10.3390/condmat9040042
