Undamped Higgs Modes in Strongly Interacting Superconductors
Abstract
1. Introduction
2. Model and BCS Approximation
3. Collective Modes beyond Weak-Coupling BCS Theory
3.1. Correlation Functions and RPA Resummation
3.2. Amplitude and Phase Correlations
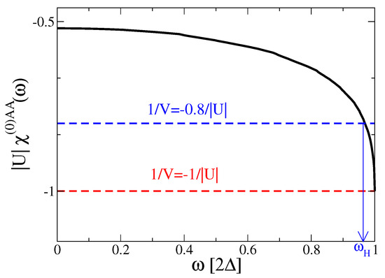
3.3. The ph-Symmetric Case in the Limit q = 0
4. TDGA
4.1. Ground State for the Half-Filled Case
4.2. TDGA for the SC Half-Filled Case
5. Conclusions
Author Contributions
Funding
Data Availability Statement
Acknowledgments
Conflicts of Interest
Appendix A. BCS Correlation Functions
References
- Weinberg, S. The Quantum Theory of Fields—Vol. 2: Modern Applications; Cambridge University Press: Cambridge, UK, 1996. [Google Scholar]
- Higgs, P.W. Broken symmetries, massless particles and gauge fields. Phys. Lett. 1964, 12, 132–133. [Google Scholar] [CrossRef]
- Nagaosa, N. Quantum Field Theory in Condensed Matter Physics; Springer: Berlin/Heidelberg, Germany, 1999. [Google Scholar]
- Pekker, D.; Varma, C.M. Amplitude/Higgs Modes in Condensed Matter Physics. Annu. Rev. Condens. Matter Phys. 2015, 6, 269–297. [Google Scholar] [CrossRef]
- Anderson, P.W. Coherent Excited States in the Theory of Superconductivity: Gauge Invariance and the Meissner Effect. Phys. Rev. 1958, 110, 827–835. [Google Scholar] [CrossRef]
- Papenkort, T.; Axt, V.M.; Kuhn, T. Coherent dynamics and pump-probe spectra of BCS superconductors. Phys. Rev. B 2007, 76, 224522. [Google Scholar] [CrossRef]
- Matsunaga, R.; Hamada, Y.I.; Makise, K.; Uzawa, Y.; Terai, H.; Wang, Z.; Shimano, R. Higgs Amplitude Mode in the BCS Superconductors Nb1-xTixN Induced by Terahertz Pulse Excitation. Phys. Rev. Lett. 2013, 111, 057002. [Google Scholar] [CrossRef] [PubMed]
- Matsunaga, R.; Tsuji, N.; Fujita, H.; Sugioka, A.; Makise, K.; Uzawa, Y.; Terai, H.; Wang, Z.; Aoki, H.; Shimano, R. Light-induced collective pseudospin precession resonating with Higgs mode in a superconductor. Science 2014, 345, 1145–1149. [Google Scholar] [CrossRef]
- Mansart, B.; Lorenzana, J.; Mann, A.; Odeh, A.; Scarongella, M.; Chergui, M.; Carbone, F. Coupling of a high-energy excitation to superconducting quasiparticles in a cuprate from coherent charge fluctuation spectroscopy. Proc. Natl. Acad. Sci. USA 2013, 110, 4539–4544. [Google Scholar] [CrossRef]
- Krull, H.; Bittner, N.; Uhrig, G.S.; Manske, D.; Schnyder, A.P. Coupling of Higgs and Leggett modes in non-equilibrium superconductors. Nat. Commun. 2016, 7, 11921. [Google Scholar] [CrossRef]
- Shimano, R.; Tsuji, N. Higgs Mode in Superconductors. Annu. Rev. Condens. Matter Phys. 2020, 11, 103–124. [Google Scholar] [CrossRef]
- Kemper, A.F.; Sentef, M.A.; Moritz, B.; Freericks, J.K.; Devereaux, T.P. Direct observation of Higgs mode oscillations in the pump-probe photoemission spectra of electron-phonon mediated superconductors. Phys. Rev. B 2015, 92, 224517. [Google Scholar] [CrossRef]
- Doniach, S.; Inui, M. Long-range Coulomb interactions and the onset of superconductivity in the high-Tc materials. Phys. Rev. B 1990, 41, 6668. [Google Scholar] [CrossRef] [PubMed]
- Damle, K.; Sachdev, S. Nonzero-temperature transport near quantum critical points. Phys. Rev. B 1997, 56, 8714. [Google Scholar] [CrossRef]
- Podolsky, D.; Auerbach, A.; Arovas, D.P. Visibility of the amplitude (Higgs) mode in condensed matter. Phys. Rev. B 2011, 84, 174522. [Google Scholar] [CrossRef]
- Sherman, D.; Pracht, U.S.; Gorshunov, B.; Poran, S.; Jesudasan, J.; Chand, M.; Raychaudhuri, P.; Swanson, M.; Trivedi, N.; Auerbach, A.; et al. The Higgs mode in disordered superconductors close to a quantum phase transition. Nat. Phys. 2015, 11, 188. [Google Scholar] [CrossRef]
- Cea, T.; Castellani, C.; Seibold, G.; Benfatto, L. Nonrelativistic Dynamics of the Amplitude (Higgs) Mode in Superconductors. Phys. Rev. Lett. 2015, 115, 157002. [Google Scholar] [CrossRef] [PubMed]
- Cheng, B.; Wu, L.; Laurita, N.J.; Singh, H.; Chand, M.; Raychaudhuri, P.; Armitage, N.P. Anomalous gap-edge dissipation in disordered superconductors on the brink of localization. Phys. Rev. B 2016, 93, 180511. [Google Scholar] [CrossRef]
- Lorenzana, J.; Seibold, G. Long-Lived Higgs Modes in Strongly Correlated Condensates. Phys. Rev. Lett. 2024, 132, 026501. [Google Scholar] [CrossRef]
- Cabrera, C.R.; Henke, R.; Broers, L.; Skulte, J.; Collado, H.P.O.; Biss, H.; Mathey, L.; Moritz, H. Effect of strong confinement on the order parameter dynamics in fermionic superfluids. arXiv 2024, arXiv:2407.12645. [Google Scholar]
- Seibold, G.; Lorenzana, J. Time-Dependent Gutzwiller Approximation for the Hubbard Model. Phys. Rev. Lett. 2001, 86, 2605. [Google Scholar] [CrossRef]
- Seibold, G.; Becca, F.; Lorenzana, J. Inhomogeneous Gutzwiller approximation with random phase fluctuations for the Hubbard model. Phys. Rev. B 2003, 67, 085108. [Google Scholar] [CrossRef]
- Seibold, G.; Becca, F.; Rubin, P.; Lorenzana, J. Time-dependent Gutzwiller theory of magnetic excitations in the Hubbard model. Phys. Rev. B 2004, 69, 155113. [Google Scholar] [CrossRef]
- Seibold, G.; Becca, F.; Lorenzana, J. Theory of Antibound States in Partially Filled Narrow Band Systems. Phys. Rev. Lett. 2008, 100, 016405. [Google Scholar] [CrossRef]
- Seibold, G.; Becca, F.; Lorenzana, J. Time-dependent Gutzwiller theory of pairing fluctuations in the Hubbard model. Phys. Rev. B 2008, 78, 045114. [Google Scholar] [CrossRef]
- Ugenti, S.; Cini, M.; Seibold, G.; Lorenzana, J.; Perfetto, E.; Stefanucci, G. Particle-particle response function as a probe for electronic correlations in the p-d Hubbard model. Phys. Rev. B 2010, 82, 075137. [Google Scholar] [CrossRef]
- Schiró, M.; Fabrizio, M. Time-Dependent Mean Field Theory for Quench Dynamics in Correlated Electron Systems. Phys. Rev. Lett. 2010, 105, 076401. [Google Scholar] [CrossRef]
- Schiró, M.; Fabrizio, M. Quantum quenches in the Hubbard model: Time-dependent mean-field theory and the role of quantum fluctuations. Phys. Rev. B 2011, 83, 165105. [Google Scholar] [CrossRef]
- Bünemann, J.; Capone, M.; Lorenzana, J.; Seibold, G. Linear-response dynamics from the time-dependent Gutzwiller approximation. New J. Phys. 2013, 15, 053050. [Google Scholar] [CrossRef]
- Schrieffer, J.R.; Wen, X.G.; Zhang, S.C. Dynamic spin fluctuations and the bag mechanism of high-Tc superconductivity. Phys. Rev. B 1989, 16, 11663. [Google Scholar] [CrossRef]
- Vilk, Y.M.; Tremblay, A.M.S. Non-perturbative many-body approach to the Hubbard model and single-particle pseudogap. J. Phys. I 1997, 7, 1309–1368. [Google Scholar] [CrossRef]
- Seibold, G.; Lorenzana, J. Nonequilibrium dynamics from BCS to the bosonic limit. Phys. Rev. B 2020, 102, 144502. [Google Scholar] [CrossRef]
- Verresen, R.; Moessner, R.; Pollmann, F. Avoided quasiparticle decay from strong quantum interactions. Nat. Phys. 2019, 15, 750–753. [Google Scholar] [CrossRef]



Disclaimer/Publisher’s Note: The statements, opinions and data contained in all publications are solely those of the individual author(s) and contributor(s) and not of MDPI and/or the editor(s). MDPI and/or the editor(s) disclaim responsibility for any injury to people or property resulting from any ideas, methods, instructions or products referred to in the content. |
© 2024 by the authors. Licensee MDPI, Basel, Switzerland. This article is an open access article distributed under the terms and conditions of the Creative Commons Attribution (CC BY) license (https://creativecommons.org/licenses/by/4.0/).
Share and Cite
Lorenzana, J.; Seibold, G. Undamped Higgs Modes in Strongly Interacting Superconductors. Condens. Matter 2024, 9, 38. https://doi.org/10.3390/condmat9040038
Lorenzana J, Seibold G. Undamped Higgs Modes in Strongly Interacting Superconductors. Condensed Matter. 2024; 9(4):38. https://doi.org/10.3390/condmat9040038
Chicago/Turabian StyleLorenzana, José, and Götz Seibold. 2024. "Undamped Higgs Modes in Strongly Interacting Superconductors" Condensed Matter 9, no. 4: 38. https://doi.org/10.3390/condmat9040038
APA StyleLorenzana, J., & Seibold, G. (2024). Undamped Higgs Modes in Strongly Interacting Superconductors. Condensed Matter, 9(4), 38. https://doi.org/10.3390/condmat9040038

